Номер 12, страница 12, часть 2 - гдз по геометрии 11 класс учебник Солтан, Солтан
Авторы: Солтан Г. Н., Солтан А. Е., Жумадилова А. Ж.
Тип: Учебник
Издательство: Кокшетау
Год издания: 2020 - 2025
Часть: 2
Цвет обложки:
ISBN: 978-601-317-518-8. 978-601-317-520-1
Рекомендовано Министерством образования и науки Республики Казахстан
Популярные ГДЗ в 11 классе
Повторение курса геометрии 10 класса. Часть 2 - номер 12, страница 12.
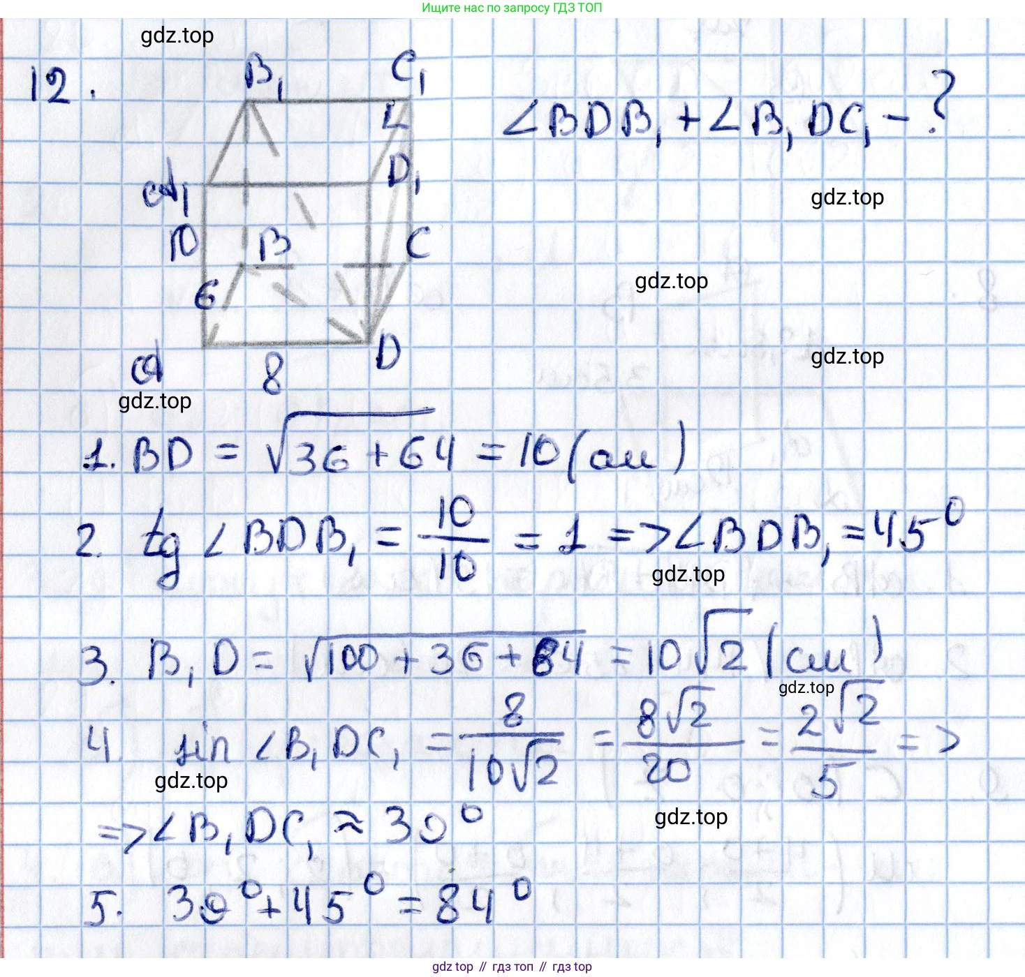
№12 (с. 12)
Условия. №12 (с. 12)

Решение. №12 (с. 12)

Другие задания:
Помогло решение? Оставьте отзыв в комментариях ниже.
Присоединяйтесь к Телеграм-группе @top_gdz
ПрисоединитьсяМы подготовили для вас ответ c подробным объяснением домашего задания по геометрии за 11 класс, для упражнения номер 12 расположенного на странице 12 для 2-й части к учебнику 2020 года издания для учащихся школ и гимназий.
Теперь на нашем сайте ГДЗ.ТОП вы всегда легко и бесплатно найдёте условие с правильным ответом на вопрос «Как решить ДЗ» и «Как сделать» задание по геометрии к упражнению №12 (с. 12), авторов: Солтан (Г Н), Солтан (Алла Евгеньевна), Жумадилова (Аманбала Жумадиловна), 2-й части учебного пособия издательства Кокшетау.