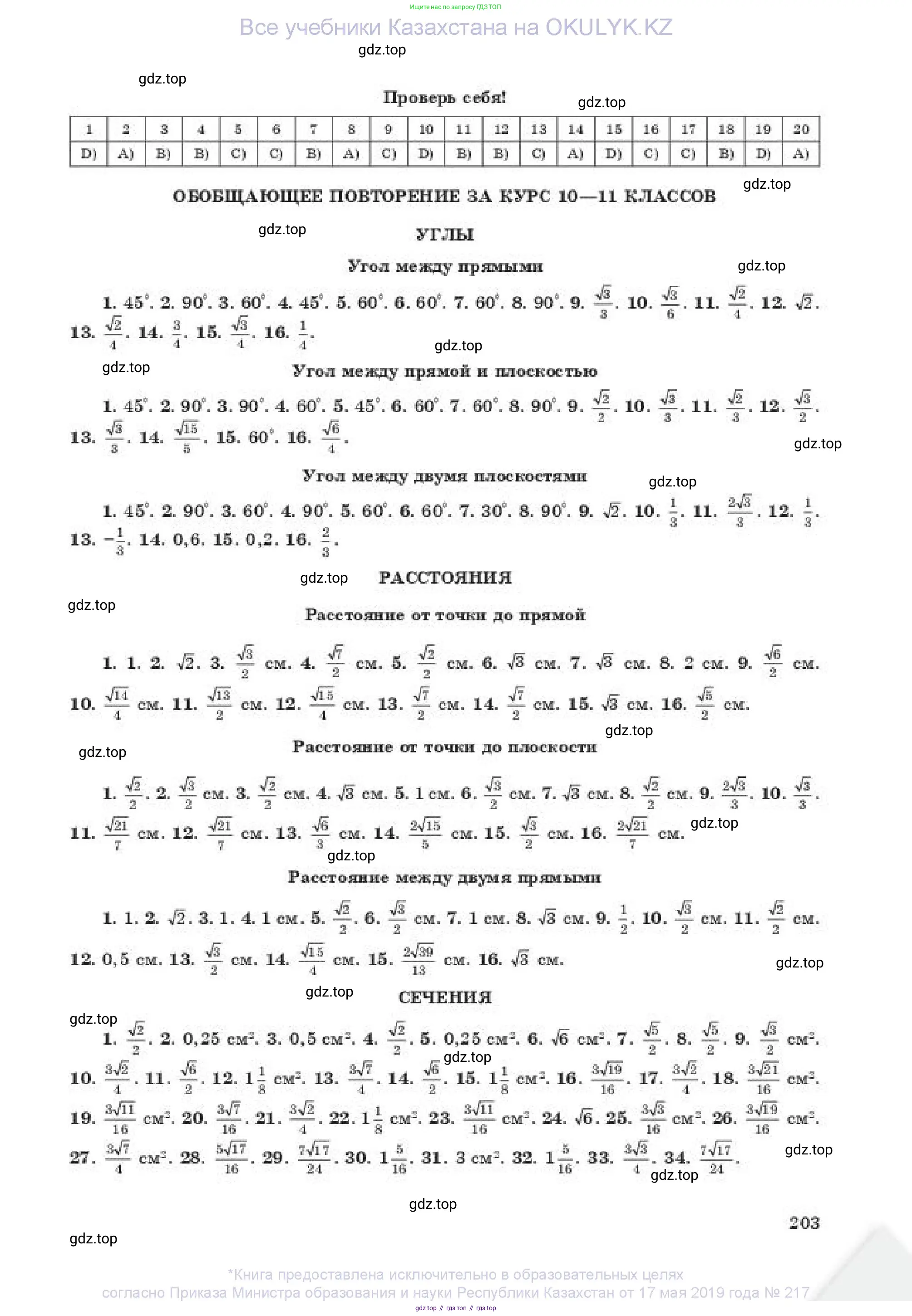
Страница 203 - гдз по геометрии 11 класс учебник Смирнов, Туяков

Авторы: Смирнов В. А., Туяков Е. А.
Тип: Учебник
Издательство: Мектеп
Год издания: 2019 - 2025
Цвет обложки:
Популярные ГДЗ в 11 классе
Cтраница 203

Ваш номер не отображается здесь?
Такое бывает: задание могло начаться на
предыдущей
или
следующей
странице.
Другие страницы:
Помогло решение? Оставьте отзыв в комментариях ниже.