Номер 143, страница 7, часть 2 - гдз по информатике 8 класс рабочая тетрадь Босова, Босова

Авторы: Босова Л. Л., Босова А. Ю.
Тип: рабочая тетрадь
Издательство: Просвещение
Год издания: 2023 - 2025
Уровень обучения: базовый
Часть: 2
Цвет обложки: синий, голубой с котом
ISBN: 978-5-09-104297-9 (2023)
Популярные ГДЗ в 8 классе
Задания к § 3.3. Объекты алгоритмов. Глава 3. Основы алгоритмизации. Часть 2 - номер 143, страница 7.
№143 (с. 7)
Условие. №143 (с. 7)
скриншот условия

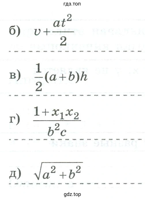
143. Запишите на Школьном алгоритмическом языке:
а) ax² + bx + c

Решение. №143 (с. 7)
скриншот решения

а) a * sqr (x) + b * x + c
б) v + a * sqr (t) / 2
в) ((a + b) / 2) * h
г) (1+x1*x2)/(sqr(b)*c)
д) sqrt(sqr(a)+sqr(b))
Другие задания:
Помогло решение? Оставьте отзыв в комментариях ниже.
Присоединяйтесь к Телеграм-группе @top_gdz
ПрисоединитьсяМы подготовили для вас ответ c подробным объяснением домашего задания по информатике за 8 класс, для упражнения номер 143 расположенного на странице 7 для 2-й части к рабочей тетради 2023 года издания для учащихся школ и гимназий.
Теперь на нашем сайте ГДЗ.ТОП вы всегда легко и бесплатно найдёте условие с правильным ответом на вопрос «Как решить ДЗ» и «Как сделать» задание по информатике к упражнению №143 (с. 7), авторов: Босова (Людмила Леонидовна), Босова (Анна Юрьевна), 2-й части ФГОС (новый, красный) базовый уровень обучения учебного пособия издательства Просвещение.