Номер 206, страница 61, часть 2 - гдз по информатике 8 класс рабочая тетрадь Босова, Босова

Авторы: Босова Л. Л., Босова А. Ю.
Тип: рабочая тетрадь
Издательство: Просвещение
Год издания: 2023 - 2025
Уровень обучения: базовый
Часть: 2
Цвет обложки: синий, голубой с котом
ISBN: 978-5-09-104297-9 (2023)
Популярные ГДЗ в 8 классе
Задания к § 4.4 (5.4). Программирование разветвляющихся алгоритмов. Главы 4-5. Начала программирования. Часть 2 - номер 206, страница 61.
№206 (с. 61)
Условие. №206 (с. 61)
скриншот условия


206. Текст программы приведён на двух языках программирования:
Паскаль |
var а, b, с, х: real; begin writeln ('Введите три числа'); readln(а, b, с); х := а; if b ‹ min then х := b; if с ‹ min then x := с; writeln (x=' , x) end. |
Python |
print ('Введите три числа: ') a, b, с = map (float, input () .split ()) x = a if b ‹ x: x = b if с ‹ x: x = с print ('x=', x) |
Что будет результатом работы программы при следующих исходных данных?
a | b | c | x |
10 | 5 | 1 | |
10 | 5 | 7 | |
2 | 10 | 5 |
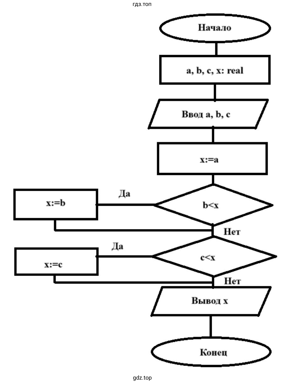
Постройте блок-схему, соответствующую программе.
Решение. №206 (с. 61)
скриншот решения



Данная программа на языке Паскаль написана с ошибками. 1. Переменная min не прописана. 2. В команде вывода пропущена ‘ (writeln(‘x=’,x)).
Если исправить данные ошибки, программа будет выводить первоначально присвоенное значение для х, так как переменной min нигде не присваивается значение.
var а, b, с, х, min: real;
begin
writeln ('Введите три числа');
readln (а, b, с);
х := а;
if b‹min then х := b;
if с‹min then x := с;
writeln ('x=' , x);
end.
Введите три числа
10
5
1
x=10
Введите три числа
10
5
7
x=10
Введите три числа
2
10
5
x=2
Переменную min необходимо заменить переменной х, тогда программа будет находить наименьшее значение из трех чисел.
var а, b, с, х: real;
begin
writeln ('Введите три числа');
readln (а, b, с);
х := а;
if b‹x then х := b;
if с‹x then x := с;
writeln ('x=' , x);
end.
Введите три числа
10
5
1
x=1
Введите три числа
10
5
7
x=5
Введите три числа
2
10
5
x=2
a | b | c | x |
10 | 5 | 1 | 1 |
10 | 5 | 7 | 5 |
2 | 10 | 5 | 2 |

Другие задания:
Помогло решение? Оставьте отзыв в комментариях ниже.
Присоединяйтесь к Телеграм-группе @top_gdz
ПрисоединитьсяМы подготовили для вас ответ c подробным объяснением домашего задания по информатике за 8 класс, для упражнения номер 206 расположенного на странице 61 для 2-й части к рабочей тетради 2023 года издания для учащихся школ и гимназий.
Теперь на нашем сайте ГДЗ.ТОП вы всегда легко и бесплатно найдёте условие с правильным ответом на вопрос «Как решить ДЗ» и «Как сделать» задание по информатике к упражнению №206 (с. 61), авторов: Босова (Людмила Леонидовна), Босова (Анна Юрьевна), 2-й части ФГОС (новый, красный) базовый уровень обучения учебного пособия издательства Просвещение.