Номер 209, страница 67, часть 2 - гдз по информатике 8 класс рабочая тетрадь Босова, Босова

Авторы: Босова Л. Л., Босова А. Ю.
Тип: рабочая тетрадь
Издательство: Просвещение
Год издания: 2023 - 2025
Уровень обучения: базовый
Часть: 2
Цвет обложки: синий, голубой с котом
ISBN: 978-5-09-104297-9 (2023)
Популярные ГДЗ в 8 классе
Задания к § 4.4 (5.4). Программирование разветвляющихся алгоритмов. Главы 4-5. Начала программирования. Часть 2 - номер 209, страница 67.
№209 (с. 67)
Условие. №209 (с. 67)
скриншот условия


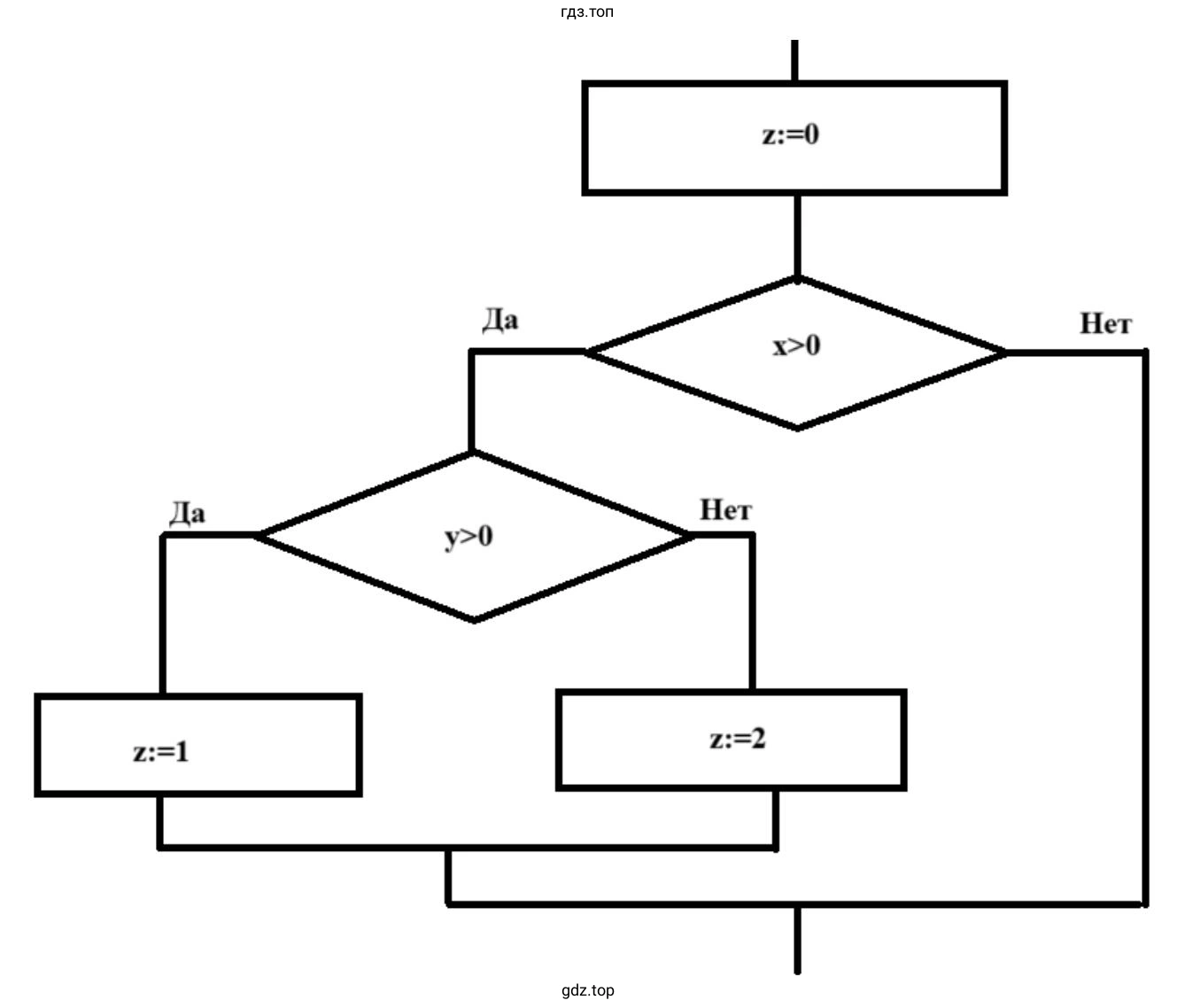
209. Составьте блок-схему, соответствующую фрагменту программы, приведённому на двух языках программирования.
Паскаль |
z := 0; if x > 0 then if y > 0 then z := 1 else z := 2 |
Python |
z = 0 if x > 0: if y > 0: z = 1 else: z = 2 |
Блок-схема
Определите значение переменной z при следующих значениях х и у:
x | y | x > 0 | y > 0 | z |
1 | 1 | |||
1 | -1 | |||
-1 | 1 | |||
-1 | -1 |
Решение. №209 (с. 67)
скриншот решения



x | y | x > 0 | y > 0 | z |
1 | 1 | 1>0 Да | 1>0 Да | 1 |
1 | -1 | 1>0 Да | -1>0 Нет | 2 |
-1 | 1 | -1>0 Нет | 0 | |
-1 | -1 | -1>0 Нет | 0 |
var
x, y, z: integer;
begin
writeln ('vv x y');
readln (x, y);
z := 0;
if x>0 then
if y>0 then
z := 2;
writeln (z);
end.
vv x y
-1
0
vv x y
-1
-1
0
Другие задания:
Помогло решение? Оставьте отзыв в комментариях ниже.
Присоединяйтесь к Телеграм-группе @top_gdz
ПрисоединитьсяМы подготовили для вас ответ c подробным объяснением домашего задания по информатике за 8 класс, для упражнения номер 209 расположенного на странице 67 для 2-й части к рабочей тетради 2023 года издания для учащихся школ и гимназий.
Теперь на нашем сайте ГДЗ.ТОП вы всегда легко и бесплатно найдёте условие с правильным ответом на вопрос «Как решить ДЗ» и «Как сделать» задание по информатике к упражнению №209 (с. 67), авторов: Босова (Людмила Леонидовна), Босова (Анна Юрьевна), 2-й части ФГОС (новый, красный) базовый уровень обучения учебного пособия издательства Просвещение.