Номер 2.118, страница 61, часть 1 - гдз по математике 5 класс учебник Виленкин, Жохов

Авторы: Виленкин Н. Я., Жохов В. И., Чесноков А. С., Александрова Л. А., Шварцбурд С. И.
Тип: Учебник
Издательство: Просвещение
Год издания: 2023 - 2025
Уровень обучения: базовый
Часть: 1
Цвет обложки: белый, красный, синий с пазлами
Допущено Министерством просвещения Российской Федерации
Популярные ГДЗ в 5 классе
10. Числовые и буквенные выражения. § 2. Сложение и вычитание натуральных чисел. Глава 1. Натуральные числа. ч. 1 - номер 2.118, страница 61.
№2.118 (с. 61)
Условие. №2.118 (с. 61)
скриншот условия

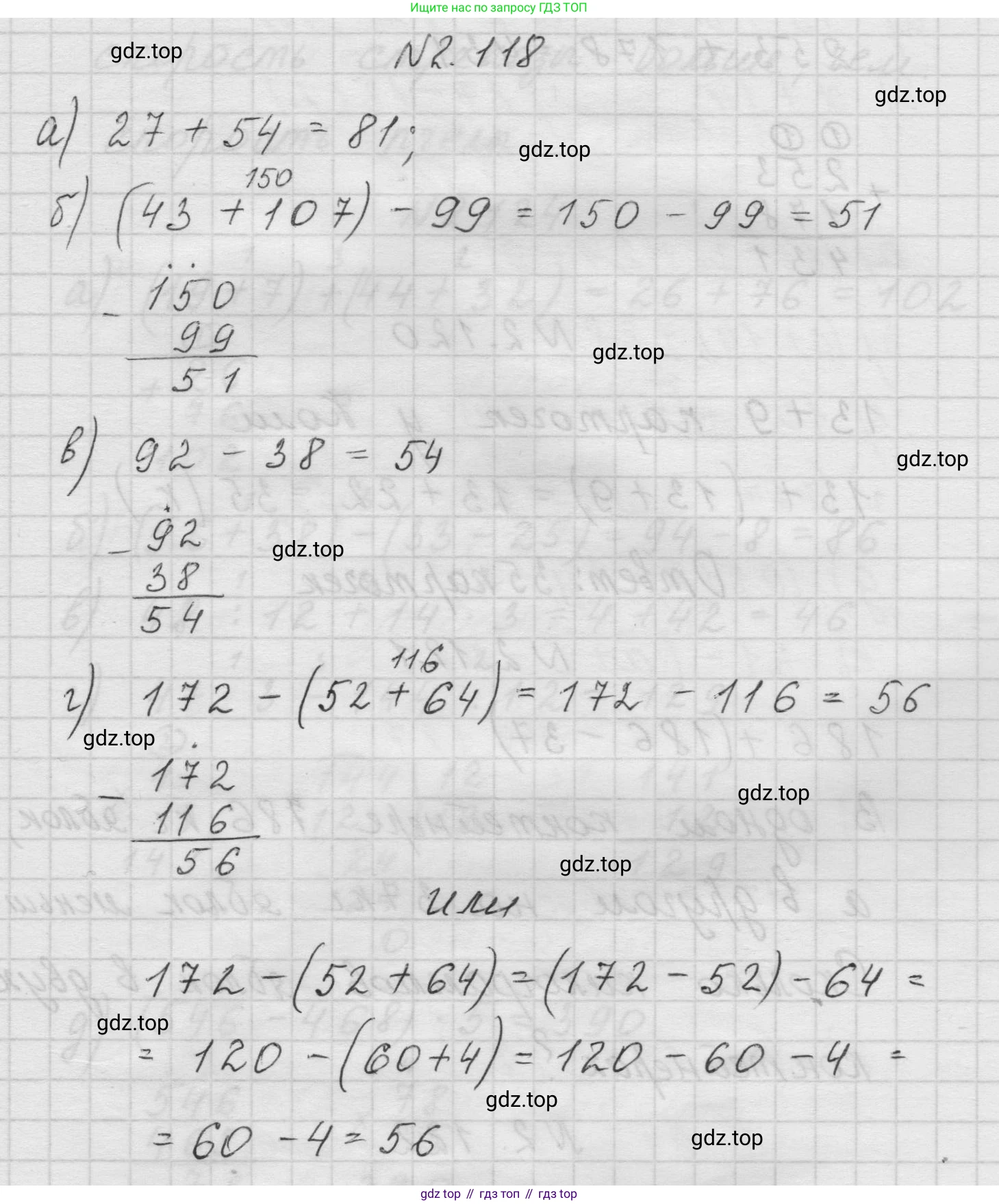
2.118 Запишите выражение и найдите его значение:
а) сумма чисел 27 и 54;
б) сумму чисел 43 и 107 уменьшить на 99;
в) разность чисел 92 и 38;
г) из числа 172 вычесть сумму чисел 52 и 64.
Решение 1. №2.118 (с. 61)
а) 27 + 54 = 81;
150 - 99 = 51;

в) 92 - 38 = 54;

172 - 116 = 56

или
172 - (54 + 64) = (172 - 52) - 64= 120 - (60 + 4) = 120 - 60 - 4 = 60 - 4 = 56.
Решение 2. №2.118 (с. 61)
а) Сумма чисел 27 и 54. Чтобы найти сумму, нужно сложить эти числа. Запишем выражение:
$27 + 54$
Вычислим его значение:
$27 + 54 = 81$
Ответ: 81
б) Сумму чисел 43 и 107 уменьшить на 99. Сначала найдем сумму чисел 43 и 107, а затем отнимем от результата 99. Запишем выражение:
$(43 + 107) - 99$
Вычислим его значение:
$(43 + 107) - 99 = 150 - 99 = 51$
Ответ: 51
в) Разность чисел 92 и 38. Чтобы найти разность, нужно из первого числа вычесть второе. Запишем выражение:
$92 - 38$
Вычислим его значение:
$92 - 38 = 54$
Ответ: 54
г) Из числа 172 вычесть сумму чисел 52 и 64. Сначала найдем сумму чисел 52 и 64, а затем вычтем ее из 172. Запишем выражение:
$172 - (52 + 64)$
Вычислим его значение:
$172 - (52 + 64) = 172 - 116 = 56$
Ответ: 56
Решение 3. №2.118 (с. 61)

Решение 4. №2.118 (с. 61)

Другие задания:
Помогло решение? Оставьте отзыв в комментариях ниже.
Мы подготовили для вас ответ c подробным объяснением домашего задания по математике за 5 класс, для упражнения номер 2.118 расположенного на странице 61 для 1-й части к учебнику 2023 года издания для учащихся школ и гимназий.
Теперь на нашем сайте ГДЗ.ТОП вы всегда легко и бесплатно найдёте условие с правильным ответом на вопрос «Как решить ДЗ» и «Как сделать» задание по математике к упражнению №2.118 (с. 61), авторов: Виленкин (Наум Яковлевич), Жохов (Владимир Иванович), Чесноков (Александр Семёнович), Александрова (Лилия Александровна), Шварцбурд (Семён Исаакович), 1-й части ФГОС (новый, красный) базовый уровень обучения учебного пособия издательства Просвещение.