Страница 55 - гдз по химии 7 класс учебник Еремин, Дроздов

Авторы: Еремин В. В., Дроздов А. А., Лунин В. В.
Тип: Учебник
Издательство: Просвещение, Дрофа
Год издания: 2021 - 2025
Цвет обложки: белый с молекулами
ISBN: 978-5-09-103669-5
Допущено Министерством просвещения Российской Федерации
Популярные ГДЗ в 7 классе
Cтраница 55

💡 вопрос (с. 55)
Условие. 💡 вопрос (с. 55)
скриншот условия

Почему некоторые атомы объединяются в молекулы? Почему не все вещества состоят из молекул?
Решение. 💡 вопрос (с. 55)

Решение 2. 💡 вопрос (с. 55)
Почему некоторые атомы объединяются в молекулы?
Атомы объединяются в молекулы, стремясь достичь более стабильного состояния. Это фундаментальный принцип в химии, основанный на энергетической выгодности.
Ключевую роль играют электроны на внешней электронной оболочке атома, называемые валентными электронами. Атомы большинства элементов наиболее стабильны, когда их внешняя электронная оболочка заполнена. Для большинства элементов это означает наличие восьми электронов (правило октета), а для водорода и гелия — двух электронов (правило дуплета).
Когда у атомов внешняя оболочка не заполнена, они являются химически активными и нестабильными. Чтобы достичь стабильности, они могут взаимодействовать с другими атомами одним из следующих способов:
- Отдавать или принимать электроны: это приводит к образованию ионов и ионной связи, в результате которой образуются не молекулы, а ионные кристаллы.
- Обобществлять (делить) электроны: атомы могут "делиться" одним или несколькими валентными электронами с соседними атомами. В результате образуются общие электронные пары, которые удерживают атомы вместе. Такая связь называется ковалентной, а образовавшаяся устойчивая группа связанных атомов — молекулой.
Процесс образования молекулы из отдельных атомов является энергетически выгодным. Это означает, что полная энергия молекулы меньше, чем сумма энергий составляющих ее отдельных атомов. Система переходит в состояние с меньшей потенциальной энергией, что и означает большую стабильность. Например, два атома водорода ($H$), каждый с одним электроном, объединяются, образуя общую электронную пару в молекуле водорода ($H_2$), где у каждого атома эффективно заполняется внешняя оболочка.
Ответ: Атомы объединяются в молекулы для достижения более стабильного состояния путем завершения своей внешней электронной оболочки за счет образования общих электронных пар (ковалентных связей), что является энергетически выгодным процессом.
Почему не все вещества состоят из молекул?
Вещества могут состоять не только из молекул, потому что существуют и другие способы, которыми атомы могут связываться друг с другом, образуя стабильные структуры. Тип строения вещества зависит от вида химической связи между его частицами. Помимо молекулярного строения, существуют и другие типы:
- Ионное строение: в веществах с ионной связью, таких как поваренная соль ($NaCl$), атомы не делят электроны, а полностью передают их от одного к другому. Например, атом натрия ($Na$) отдает один электрон атому хлора ($Cl$). В результате натрий становится положительно заряженным ионом ($Na^+$), а хлор — отрицательно заряженным ионом ($Cl^−$). Эти разноименно заряженные ионы притягиваются друг к другу, образуя упорядоченную трехмерную структуру — ионную кристаллическую решетку. В такой решетке нет отдельных молекул $NaCl$, а есть огромное количество чередующихся ионов.
- Атомное строение: в веществах с атомной кристаллической решеткой, таких как алмаз или кварц ($SiO_2$), все атомы соединены между собой прочными ковалентными связями, образуя единую гигантскую структуру (макромолекулу). Весь кристалл можно рассматривать как одну огромную молекулу. Отдельных, независимых молекул в таких веществах нет.
- Металлическое строение: в металлах (например, железо, медь, алюминий) атомы удерживаются вместе за счет металлической связи. Валентные электроны отрываются от своих атомов и свободно перемещаются по всему объему кристалла, образуя так называемый "электронный газ". Этот "газ" связывает положительно заряженные ионы металла в металлическую кристаллическую решетку. Таким образом, металлы состоят из атомов-ионов, а не из молекул.
- Инертные газы: атомы инертных (благородных) газов (гелий, неон, аргон и др.) уже имеют завершенную, стабильную внешнюю электронную оболочку. Поэтому они химически неактивны и не нуждаются в образовании связей с другими атомами. Такие вещества состоят из отдельных, не связанных друг с другом атомов.
Ответ: Не все вещества состоят из молекул, потому что кроме образования дискретных молекул с помощью ковалентных связей, атомы могут достигать стабильности, образуя другие типы структур: ионные кристаллические решетки (за счет передачи электронов и ионной связи), атомные кристаллические решетки (гигантские ковалентные структуры) или металлические решетки (за счет металлической связи). Кроме того, атомы инертных газов уже стабильны и существуют поодиночке.
№1 (с. 55)
Условие. №1 (с. 55)
скриншот условия

1. Определите, какие из приведённых веществ состоят из молекул: азот, сернистый газ, стекло, фарфор, ванилин, мел, перекись водорода, железо, известняк. По каким признакам вы это определили?
Решение. №1 (с. 55)

Решение 2. №1 (с. 55)
Решение
Для определения, состоит ли вещество из молекул, необходимо проанализировать тип его внутреннего строения. Все вещества можно разделить на две большие группы: вещества молекулярного строения и вещества немолекулярного строения.
Из предложенного списка веществами, состоящими из молекул, являются: азот (при обычных условиях газ, состоящий из двухатомных молекул $N_2$), сернистый газ (газ, состоящий из молекул диоксида серы $SO_2$), ванилин (органическое вещество с формулой $C_8H_8O_3$, которое в твердом состоянии образует молекулярную кристаллическую решетку, состоящую из отдельных молекул), и перекись водорода (жидкость, состоящая из молекул $H_2O_2$).
Остальные вещества – стекло, фарфор, мел, железо, известняк – имеют немолекулярное строение. Железо ($Fe$) имеет металлическую решетку. Мел и известняк (основа – карбонат кальция $CaCO_3$) имеют ионную решетку. Стекло и фарфор (основа – оксид кремния $SiO_2$) имеют атомную решетку.
Определение было сделано по следующим признакам:
Основным признаком, позволяющим отличить вещества молекулярного строения от немолекулярного, является тип их строения, который определяется видом химической связи между частицами.
1. Вещества молекулярного строения состоят из отдельных, дискретных молекул. Внутри этих молекул атомы соединены прочными ковалентными связями, а сами молекулы в твердом или жидком состоянии связаны между собой слабыми межмолекулярными силами (силами Ван-дер-Ваальса, водородными связями). Как следствие, такие вещества обычно имеют низкие температуры плавления и кипения. Большинство веществ, являющихся газами или жидкостями при комнатной температуре, а также легкоплавкие твердые вещества (особенно органические) имеют молекулярное строение.
2. Вещества немолекулярного строения не содержат отдельных молекул, а образуют единую структуру из атомов или ионов, прочно связанных друг с другом. К ним относятся вещества с ионной (мел, известняк), атомной (стекло) или металлической (железо) кристаллической решеткой. Такие вещества, как правило, являются твердыми при обычных условиях и имеют высокие температуры плавления.
Ответ: Из молекул состоят: азот, сернистый газ, ванилин, перекись водорода. Это было определено на основе типа строения вещества. Вещества молекулярного строения состоят из отдельных молекул, связанных слабыми межмолекулярными силами, что обуславливает их характерные физические свойства (например, агрегатное состояние при обычных условиях, низкие температуры плавления и кипения). Вещества немолекулярного строения (ионные, атомные, металлические) состоят из ионов или атомов, образующих единую прочную структуру (кристаллическую решетку).
№2 (с. 55)
Условие. №2 (с. 55)
скриншот условия

2. Приведите по два примера веществ молекулярного строения, состоящих из одного, двух и трёх элементов.
Решение. №2 (с. 55)

Решение 2. №2 (с. 55)
Вещества молекулярного строения — это вещества, которые в твердом состоянии образуют молекулярные кристаллические решетки. В узлах таких решеток располагаются отдельные молекулы, которые связаны между собой слабыми межмолекулярными силами (силами Ван-дер-Ваальса). Такие вещества обычно являются летучими, имеют низкие температуры плавления и кипения. Ниже приведены примеры таких веществ в соответствии с количеством элементов, из которых они состоят.
веществ, состоящих из одного элемента:
Это простые вещества-неметаллы, молекулы которых состоят из атомов одного химического элемента. Атомы в молекулах связаны ковалентной связью.
1. Кислород. Молекула кислорода состоит из двух атомов кислорода. Химическая формула — $O_2$.
2. Белый фосфор. Молекула белого фосфора состоит из четырех атомов фосфора, образующих тетраэдр. Химическая формула — $P_4$.
Другие примеры: азот ($N_2$), озон ($O_3$), сера ($S_8$), йод ($I_2$).
Ответ: Кислород ($O_2$), белый фосфор ($P_4$).
веществ, состоящих из двух элементов:
Это сложные вещества, молекулы которых образованы атомами двух различных химических элементов. К ним относится большинство соединений неметаллов между собой.
1. Вода. Молекула воды состоит из двух атомов водорода и одного атома кислорода. Химическая формула — $H_2O$.
2. Метан. Молекула метана, основного компонента природного газа, состоит из одного атома углерода и четырех атомов водорода. Химическая формула — $CH_4$.
Другие примеры: углекислый газ ($CO_2$), аммиак ($NH_3$), сероводород ($H_2S$).
Ответ: Вода ($H_2O$), метан ($CH_4$).
веществ, состоящих из трёх элементов:
Это сложные вещества, в состав молекул которых входят атомы трёх разных химических элементов. Примерами могут служить многие кислородсодержащие кислоты и органические соединения.
1. Серная кислота. Молекула серной кислоты состоит из атомов водорода, серы и кислорода. Химическая формула — $H_2SO_4$.
2. Уксусная кислота. Молекула уксусной кислоты является органическим соединением и состоит из атомов углерода, водорода и кислорода. Химическая формула — $CH_3COOH$.
Другие примеры: азотная кислота ($HNO_3$), этанол ($C_2H_5OH$), глюкоза ($C_6H_{12}O_6$).
Ответ: Серная кислота ($H_2SO_4$), уксусная кислота ($CH_3COOH$).
№3 (с. 55)
Условие. №3 (с. 55)
скриншот условия

3. Из веществ, приведённых в задании 1, выберите газы; жидкости; твёрдые вещества. Составьте и заполните таблицу.
Решение. №3 (с. 55)

Решение 2. №3 (с. 55)
Для выполнения данного задания необходим перечень веществ из задания 1, который не был предоставлен. В качестве примера для демонстрации решения будет использован следующий гипотетический список веществ: вода, кислород, железо, ртуть, азот, поваренная соль, сахар, углекислый газ, этиловый спирт, медь.
Решение:
Чтобы классифицировать вещества по их агрегатному состоянию (газ, жидкость, твёрдое вещество), необходимо определить, в каком состоянии каждое из них находится при стандартных условиях (комнатная температура около 20–25 °C и нормальное атмосферное давление).
газы
Газы — это вещества, частицы которых слабо связаны между собой и движутся хаотично. Газы не имеют постоянного объёма и формы, они полностью занимают весь предоставленный им объём. Из нашего списка к газам при стандартных условиях относятся:
Кислород (O₂), Азот (N₂), Углекислый газ (CO₂).
Ответ: Кислород, азот, углекислый газ.
жидкости
Жидкости — это вещества, которые сохраняют свой объём, но не имеют постоянной формы, принимая форму сосуда, в котором находятся. Частицы в жидкостях расположены близко друг к другу, но могут перемещаться. Из нашего списка к жидкостям при стандартных условиях относятся:
Вода (H₂O), Ртуть (Hg), Этиловый спирт (C₂H₅OH).
Ответ: Вода, ртуть, этиловый спирт.
твёрдые вещества
Твёрдые вещества — это вещества, которые имеют постоянную форму и объём. Их частицы (атомы, молекулы, ионы) плотно упакованы и могут совершать лишь колебательные движения около фиксированных положений. Из нашего списка к твёрдым веществам при стандартных условиях относятся:
Железо (Fe), Поваренная соль (NaCl), Сахар (C₁₂H₂₂O₁₁), Медь (Cu).
Ответ: Железо, поваренная соль, сахар, медь.
В соответствии с требованием задания, составим и заполним итоговую таблицу.
Газы | Жидкости | Твёрдые вещества |
---|---|---|
Кислород | Вода | Железо |
Азот | Ртуть | Поваренная соль |
Углекислый газ | Этиловый спирт | Сахар |
Медь |
№4 (с. 55)
Условие. №4 (с. 55)
скриншот условия

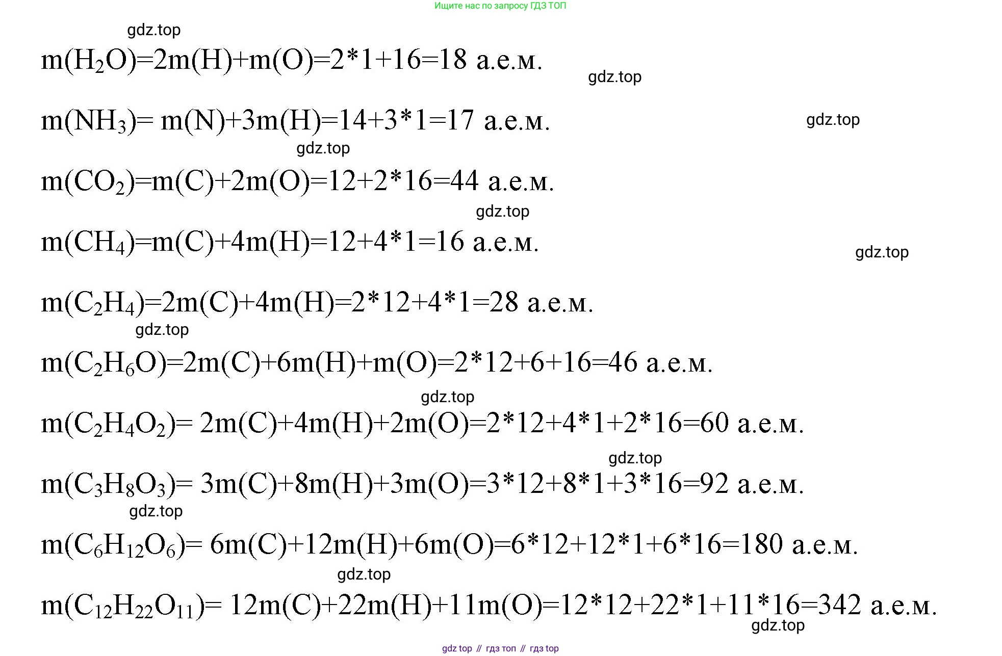
4. Найдите массу (в а. е. м.) всех молекул веществ, перечисленных в таблице 4.
Решение. №4 (с. 55)


Решение 2. №4 (с. 55)
Поскольку в вопросе отсутствует таблица 4, для ответа на вопрос необходимо знать перечень веществ из этой таблицы. Решение будет продемонстрировано на примере нескольких распространенных химических веществ. Масса молекулы в атомных единицах массы (а. е. м.) численно равна ее относительной молекулярной массе ($M_r$).
Относительная молекулярная масса вычисляется как сумма относительных атомных масс ($A_r$) всех атомов, входящих в состав молекулы, с учетом их количества. Для расчетов будем использовать округленные значения относительных атомных масс:
- $A_r(H) \approx 1$ (Водород)
- $A_r(C) \approx 12$ (Углерод)
- $A_r(N) \approx 14$ (Азот)
- $A_r(O) \approx 16$ (Кислород)
- $A_r(S) \approx 32$ (Сера)
Вода (H₂O)
Дано:
Формула воды: $H_2O$
$A_r(H) = 1$ а. е. м.
$A_r(O) = 16$ а. е. м.
Найти:
Массу молекулы воды $m(H_2O)$.
Решение:
Масса молекулы в а. е. м. численно равна относительной молекулярной массе $M_r$.
$M_r(H_2O) = 2 \cdot A_r(H) + 1 \cdot A_r(O)$
$M_r(H_2O) = 2 \cdot 1 + 1 \cdot 16 = 18$
Следовательно, масса одной молекулы воды составляет 18 а. е. м.
Ответ: 18 а. е. м.
Углекислый газ (CO₂)
Дано:
Формула углекислого газа: $CO_2$
$A_r(C) = 12$ а. е. м.
$A_r(O) = 16$ а. е. м.
Найти:
Массу молекулы углекислого газа $m(CO_2)$.
Решение:
Масса молекулы в а. е. м. численно равна относительной молекулярной массе $M_r$.
$M_r(CO_2) = 1 \cdot A_r(C) + 2 \cdot A_r(O)$
$M_r(CO_2) = 1 \cdot 12 + 2 \cdot 16 = 12 + 32 = 44$
Следовательно, масса одной молекулы углекислого газа составляет 44 а. е. м.
Ответ: 44 а. е. м.
Серная кислота (H₂SO₄)
Дано:
Формула серной кислоты: $H_2SO_4$
$A_r(H) = 1$ а. е. м.
$A_r(S) = 32$ а. е. м.
$A_r(O) = 16$ а. е. м.
Найти:
Массу молекулы серной кислоты $m(H_2SO_4)$.
Решение:
Масса молекулы в а. е. м. численно равна относительной молекулярной массе $M_r$.
$M_r(H_2SO_4) = 2 \cdot A_r(H) + 1 \cdot A_r(S) + 4 \cdot A_r(O)$
$M_r(H_2SO_4) = 2 \cdot 1 + 1 \cdot 32 + 4 \cdot 16 = 2 + 32 + 64 = 98$
Следовательно, масса одной молекулы серной кислоты составляет 98 а. е. м.
Ответ: 98 а. е. м.
Аммиак (NH₃)
Дано:
Формула аммиака: $NH_3$
$A_r(N) = 14$ а. е. м.
$A_r(H) = 1$ а. е. м.
Найти:
Массу молекулы аммиака $m(NH_3)$.
Решение:
Масса молекулы в а. е. м. численно равна относительной молекулярной массе $M_r$.
$M_r(NH_3) = 1 \cdot A_r(N) + 3 \cdot A_r(H)$
$M_r(NH_3) = 1 \cdot 14 + 3 \cdot 1 = 14 + 3 = 17$
Следовательно, масса одной молекулы аммиака составляет 17 а. е. м.
Ответ: 17 а. е. м.
№5 (с. 55)
Условие. №5 (с. 55)
скриншот условия


5. Определите формулы веществ, молекулярные модели которых изображены на рисунке 38.
$O_2$
$NH_3$
$C_2H_5OH$
Рис. 38. Модели некоторых молекул
Решение. №5 (с. 55)

Решение 2. №5 (с. 55)
Для определения формул веществ необходимо проанализировать каждую модель, учитывая общепринятые цветовые обозначения атомов (модель CPK) и типы химических связей.
Модель 1 (слева)
На модели изображена двухатомная молекула, состоящая из двух одинаковых атомов (оранжевые шары), соединенных тройной связью (обозначена тремя линиями). Среди распространенных простых веществ такая структура ($N \equiv N$) характерна для молекулы азота. Хотя по цветовой схеме CPK оранжевым или красным цветом обычно обозначают кислород, молекула кислорода ($O_2$) имеет двойную, а не тройную связь. Следовательно, исходя из типа связи, наиболее вероятным веществом является азот.
Ответ: $N_2$ (азот).
Модель 2 (в центре)
Модель представляет собой молекулу, состоящую из одного центрального атома (синий шар) и трех одинаковых атомов, присоединенных к нему (белые шары). В соответствии с цветовой моделью атомов CPK, синий цвет соответствует азоту (N), а белый — водороду (H). Таким образом, молекула состоит из одного атома азота и трех атомов водорода, что соответствует аммиаку. Пространственное строение (тригональная пирамида) также соответствует молекуле аммиака.
Ответ: $NH_3$ (аммиак).
Модель 3 (справа)
На модели изображена молекула органического соединения. По цветовой схеме CPK черные шары — это атомы углерода (C), белые — атомы водорода (H), а оранжевый шар — атом кислорода (O). Подсчитав атомы, получаем: 2 атома углерода, 6 атомов водорода и 1 атом кислорода. Общая формула вещества — $C_2H_6O$. Структура показывает, что атомы соединены в следующем порядке: метильная группа ($CH_3$) связана с метиленовой группой ($CH_2$), которая, в свою очередь, связана с гидроксильной группой ($OH$). Такая структурная формула ($CH_3CH_2OH$) соответствует этиловому спирту (этанолу).
Ответ: $C_2H_5OH$ (этанол).
№6 (с. 55)
Условие. №6 (с. 55)
скриншот условия

6. При гниении мяса белки, входящие в его состав, разлагаются. При этом выделяется газ с неприятным запахом, молекула которого состоит из атомов серы и водорода. Всего в молекуле три атома. Массовое соотношение серы к водороду — $16:1$. Найдите формулу газа.
Решение. №6 (с. 55)

Решение 2. №6 (с. 55)
Дано:
Состав газа: атомы серы (S) и водорода (H)
Общее число атомов в молекуле: 3
Массовое соотношение $m(S) : m(H) = 16 : 1$
Найти:
Формулу газа.
Решение:
Пусть искомая формула газа будет $H_xS_y$, где $x$ — это количество атомов водорода, а $y$ — количество атомов серы.
Из условия задачи известно, что всего в молекуле три атома. Это можно записать в виде уравнения:
$x + y = 3$
Также нам дано массовое соотношение серы к водороду — 16:1. Это соотношение можно выразить через относительные атомные массы ($Ar$) элементов и их количество ($x$ и $y$) в молекуле. Относительная атомная масса водорода $Ar(H) \approx 1$ а.е.м., а относительная атомная масса серы $Ar(S) \approx 32$ а.е.м.
Массовое соотношение можно записать так:
$\frac{m(S)}{m(H)} = \frac{y \cdot Ar(S)}{x \cdot Ar(H)}$
Подставим известные значения в это выражение:
$\frac{16}{1} = \frac{y \cdot 32}{x \cdot 1}$
Из этого уравнения выразим соотношение между $x$ и $y$:
$16x = 32y$
Разделим обе части уравнения на 16:
$x = 2y$
Теперь у нас есть система из двух уравнений:
1) $x + y = 3$
2) $x = 2y$
Подставим выражение для $x$ из второго уравнения в первое:
$(2y) + y = 3$
$3y = 3$
$y = 1$
Теперь, зная $y$, найдем $x$ из второго уравнения:
$x = 2 \cdot 1 = 2$
Следовательно, в молекуле газа содержится 2 атома водорода и 1 атом серы. Химическая формула газа — $H_2S$. Этот газ — сероводород, известный своим неприятным запахом тухлых яиц, который образуется при гниении серосодержащих белков.
Ответ: $H_2S$.
№7 (с. 55)
Условие. №7 (с. 55)
скриншот условия

7. Молекула вещества, входящего в состав природного газа, состоит из атомов углерода и водорода. Всего в молекуле 8 атомов. Общая масса атомов углерода в 4 раза превосходит общую массу атомов водорода. Определите формулу вещества.
Решение. №7 (с. 55)

Решение 2. №7 (с. 55)
Дано:
Вещество — углеводород ($C_xH_y$)
Общее число атомов в молекуле: $x + y = 8$
Соотношение масс: $m_{общ}(C) = 4 \cdot m_{общ}(H)$
Относительная атомная масса углерода: $A_r(C) \approx 12$
Относительная атомная масса водорода: $A_r(H) \approx 1$
Найти:
Химическую формулу вещества ($C_xH_y$).
Решение:
Пусть формула искомого вещества будет $C_xH_y$, где $x$ — это количество атомов углерода, а $y$ — количество атомов водорода.
Исходя из условия, что всего в молекуле 8 атомов, мы можем составить первое уравнение:
$x + y = 8$
Масса всех атомов углерода в молекуле вычисляется как произведение количества атомов углерода на его относительную атомную массу: $m_{общ}(C) = x \cdot A_r(C) = 12x$.
Аналогично, масса всех атомов водорода в молекуле: $m_{общ}(H) = y \cdot A_r(H) = 1y = y$.
По условию, общая масса атомов углерода в 4 раза больше общей массы атомов водорода. На основе этого составим второе уравнение:
$12x = 4y$
Таким образом, мы получили систему из двух уравнений:
$\begin{cases} x + y = 8 \\ 12x = 4y \end{cases}$
Для решения системы упростим второе уравнение, разделив обе его части на 4:
$3x = y$
Теперь подставим полученное выражение для $y$ в первое уравнение системы:
$x + (3x) = 8$
$4x = 8$
$x = \frac{8}{4}$
$x = 2$
Мы определили, что в молекуле содержится 2 атома углерода. Теперь найдем количество атомов водорода, подставив значение $x$ в выражение $y = 3x$:
$y = 3 \cdot 2$
$y = 6$
Следовательно, в молекуле вещества 2 атома углерода и 6 атомов водорода. Химическая формула вещества — $C_2H_6$. Это вещество — этан, который действительно входит в состав природного газа.
Ответ: $C_2H_6$.
Помогло решение? Оставьте отзыв в комментариях ниже.