Вопрос, страница 57 - гдз по химии 11 класс учебник Кузнецова, Левкин

Авторы: Кузнецова Н. Е., Левкин А. Н., Шаталов М. А.
Тип: Учебник
Издательство: Просвещение
Год издания: 2021 - 2025
Уровень обучения: базовый
Цвет обложки: фиолетовый
ISBN: 978-5-09-081214-6
Допущено Министерством просвещения Российской Федерации
Популярные ГДЗ в 11 классе
Задания в параграфе. Параграф 7. Многообразие веществ и его причины. Глава 2. Строение вещества. Периодический закон и Периодическая система химических элементов Д. И. Менделеева - страница 57.
Вопрос (с. 57)
Условие. Вопрос (с. 57)
скриншот условия

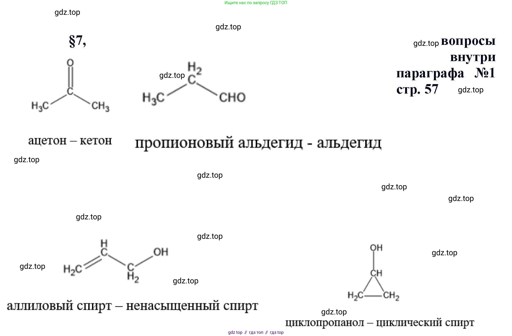
Напишите структурные формулы перечисленных веществ и охарактеризуйте их как представителей определённых классов органических соединений.
Решение. Вопрос (с. 57)

Решение 2. Вопрос (с. 57)
Поскольку в вопросе не предоставлен список веществ, приведем примеры для нескольких основных классов органических соединений.
а) Пропан
Структурная формула пропана:
$$ \text{CH}_3-\text{CH}_2-\text{CH}_3 $$
или в более развернутом виде:
$$\begin{array}{ccccc}& \text{H} & \text{H} & \text{H} & \\& | & | & | & \\\text{H} & - \text{C} - & \text{C} - & \text{C} - & \text{H} \\& | & | & | & \\& \text{H} & \text{H} & \text{H} & \\\end{array}$$
Характеристика: Пропан ($C_3H_8$) является представителем класса алканов (предельных или насыщенных углеводородов). Его молекула состоит только из атомов углерода и водорода, которые соединены между собой только одинарными (сигма-) связями. Все атомы углерода в молекуле пропана находятся в состоянии $sp^3$-гибридизации.
Ответ: Пропан — алкан (насыщенный углеводород).
б) Этен (этилен)
Структурная формула этена:
$$ \text{CH}_2=\text{CH}_2 $$
или в более развернутом виде:
$$\begin{array}{ccc}\text{H} & & \text{H} \\\diagdown & & \diagup \\& \text{C}=\text{C} & \\\diagup & & \diagdown \\\text{H} & & \text{H} \\\end{array}$$
Характеристика: Этен ($C_2H_4$) — представитель класса алкенов (этиленовых углеводородов). Это непредельный углеводород, в молекуле которого содержится одна двойная связь ($C=C$) между атомами углерода. Двойная связь состоит из одной прочной сигма-связи и одной менее прочной пи-связи. Наличие пи-связи обуславливает высокую реакционную способность алкенов, для них характерны реакции присоединения. Атомы углерода при двойной связи находятся в состоянии $sp^2$-гибридизации.
Ответ: Этен — алкен (непредельный углеводород).
в) Этанол (этиловый спирт)
Структурная формула этанола:
$$ \text{CH}_3-\text{CH}_2-\text{OH} $$
Характеристика: Этанол ($C_2H_5OH$) относится к классу одноатомных предельных спиртов. Спирты — это органические соединения, содержащие одну или несколько функциональных гидроксильных групп ($-OH$), связанных с углеводородным радикалом. Так как в молекуле этанола одна гидроксильная группа, он является одноатомным. Группа $-OH$ связана с первичным атомом углерода, поэтому этанол — первичный спирт. Наличие гидроксильной группы определяет характерные химические свойства спиртов.
Ответ: Этанол — одноатомный предельный первичный спирт.
г) Уксусная (этановая) кислота
Структурная формула уксусной кислоты:
$$\begin{array}{c}\quad \text{O} \\\quad // \\\text{CH}_3 - \text{C} \\\quad \diagdown \\\quad \text{OH}\end{array}\quad \text{или} \quad \text{CH}_3\text{COOH}$$
Характеристика: Уксусная кислота ($CH_3COOH$) является представителем класса карбоновых кислот. Её отличительной чертой является наличие функциональной карбоксильной группы ($-COOH$). Эта группа состоит из карбонильной ($>C=O$) и гидроксильной ($-OH$) групп, связанных с одним атомом углерода. Карбоксильная группа обуславливает кислотные свойства соединения, так как атом водорода в гидроксильной группе способен отщепляться в виде протона ($H^+$).
Ответ: Уксусная кислота — одноосновная предельная карбоновая кислота.
д) Метаналь (формальдегид)
Структурная формула метаналя:
$$\begin{array}{c}\text{O} \\// \\\text{H} - \text{C} - \text{H}\end{array}\quad \text{или} \quad \text{HCHO}$$
Характеристика: Метаналь ($HCHO$) — простейший представитель класса альдегидов. Альдегиды — это органические соединения, в молекулах которых атом углерода карбонильной группы ($>C=O$) связан с атомом водорода и углеводородным радикалом (или, как в случае формальдегида, с еще одним атомом водорода). Функциональная группа альдегидов — альдегидная группа ($-CHO$).
Ответ: Метаналь — альдегид.
е) Аминоуксусная кислота (глицин)
Структурная формула аминоуксусной кислоты:
$$\begin{array}{c}\quad \text{O} \\\quad // \\\text{NH}_2 - \text{CH}_2 - \text{C} \\\quad \diagdown \\\quad \text{OH}\end{array}\quad \text{или} \quad \text{H}_2\text{N}-\text{CH}_2-\text{COOH}$$
Характеристика: Аминоуксусная кислота является представителем класса аминокислот. Аминокислоты — это органические амфотерные соединения, в состав молекул которых одновременно входят карбоксильная группа ($-COOH$) с кислотными свойствами и аминогруппа ($-NH_2$) с основными свойствами. Так как обе группы связаны с одним и тем же атомом углерода, глицин относится к $\alpha$-аминокислотам.
Ответ: Аминоуксусная кислота — аминокислота (амфотерное органическое соединение).
Другие задания:
Помогло решение? Оставьте отзыв в комментариях ниже.
Присоединяйтесь к Телеграм-группе @top_gdz
ПрисоединитьсяМы подготовили для вас ответ c подробным объяснением домашего задания по химии за 11 класс, для упражнения Вопрос расположенного на странице 57 к учебнику 2021 года издания для учащихся школ и гимназий.
Теперь на нашем сайте ГДЗ.ТОП вы всегда легко и бесплатно найдёте условие с правильным ответом на вопрос «Как решить ДЗ» и «Как сделать» задание по химии к упражнению Вопрос (с. 57), авторов: Кузнецова (Нинель Евгеньевна), Левкин (Антон Николаевич), Шаталов (М А), ФГОС (старый) базовый уровень обучения учебного пособия издательства Просвещение.