Номер 4, страница 17, часть 2 - гдз по математике 3 класс учебное пособие - тетрадь Петерсон
 
                                                Авторы: Петерсон Л. Г.
Тип: учебное пособие - тетрадь
Серия: учусь учиться
Издательство: Просвещение
Год издания: 2024 - 2025
Часть: 2
Цвет обложки: зелёный, голубой с кораблём
ISBN: 978-5-09-117673-5
Непрерывный курс математики
Популярные ГДЗ в 3 классе
Часть 2. Урок 7. Деление на однозначное число - номер 4, страница 17.
№4 (с. 17)
Условие 2024. №4 (с. 17)
скриншот условия
 
                                4. Найди значения выражений:
$318 : 3$
$4963 : 7$
$27576 : 9$
$504 : 6$
$3225 : 5$
$47614 : 7$
$972 : 4$
$1648 : 8$
$318624 : 6$
Решение 2 (2024). №4 (с. 17)
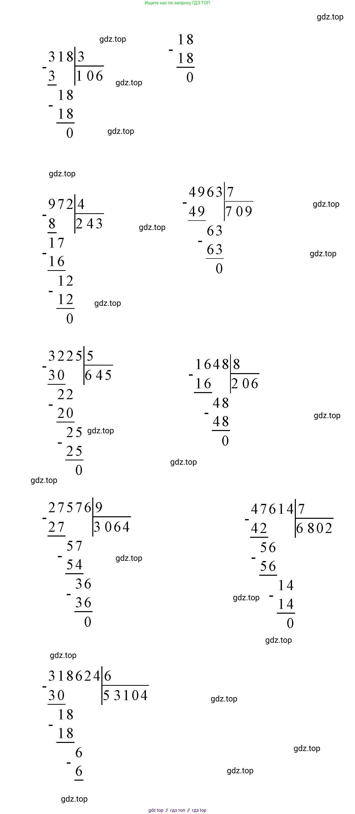
318 : 3
Решим это выражение методом деления в столбик.
1. Первое неполное делимое — 3 сотни. Делим $3$ на $3$, получаем $1$. В частное записываем $1$. Остаток $0$.
2. Сносим следующую цифру — $1$ (десятки). $1$ нельзя разделить на $3$ так, чтобы в частном получились десятки, поэтому в частное записываем $0$. Остаток $1$.
3. Сносим следующую цифру — $8$. К остатку $1$ десяток добавляем $8$ единиц, получаем $18$ единиц. Делим $18$ на $3$, получаем $6$. В частное записываем $6$. Остаток $0$.
Таким образом, $318 : 3 = 106$.
Ответ: 106
504 : 6
Решим это выражение методом деления в столбик.
1. Первое неполное делимое — $50$ десятков. Делим $50$ на $6$. Ближайшее число к $50$, которое делится на $6$ без остатка — это $48$. $48 : 6 = 8$. В частное записываем $8$. Находим остаток: $50 - 48 = 2$.
2. Сносим следующую цифру — $4$. К остатку $2$ десятка добавляем $4$ единицы, получаем $24$ единицы. Делим $24$ на $6$, получаем $4$. В частное записываем $4$. Остаток $0$.
Таким образом, $504 : 6 = 84$.
Ответ: 84
972 : 4
Решим это выражение методом деления в столбик.
1. Первое неполное делимое — $9$ сотен. Делим $9$ на $4$. Ближайшее число к $9$, которое делится на $4$ без остатка — это $8$. $8 : 4 = 2$. В частное записываем $2$. Находим остаток: $9 - 8 = 1$.
2. Сносим следующую цифру — $7$. К остатку $1$ сотня добавляем $7$ десятков, получаем $17$ десятков. Делим $17$ на $4$. Ближайшее число — $16$. $16 : 4 = 4$. В частное записываем $4$. Находим остаток: $17 - 16 = 1$.
3. Сносим следующую цифру — $2$. К остатку $1$ десяток добавляем $2$ единицы, получаем $12$ единиц. Делим $12$ на $4$, получаем $3$. В частное записываем $3$. Остаток $0$.
Таким образом, $972 : 4 = 243$.
Ответ: 243
4963 : 7
Решим это выражение методом деления в столбик.
1. Первое неполное делимое — $49$ сотен. Делим $49$ на $7$, получаем $7$. В частное записываем $7$. Остаток $0$.
2. Сносим следующую цифру — $6$ (десятки). $6$ нельзя разделить на $7$ так, чтобы в частном получились десятки, поэтому в частное записываем $0$. Остаток $6$.
3. Сносим следующую цифру — $3$. К остатку $6$ десятков добавляем $3$ единицы, получаем $63$ единицы. Делим $63$ на $7$, получаем $9$. В частное записываем $9$. Остаток $0$.
Таким образом, $4963 : 7 = 709$.
Ответ: 709
3225 : 5
Решим это выражение методом деления в столбик.
1. Первое неполное делимое — $32$ сотни. Делим $32$ на $5$. Ближайшее число — $30$. $30 : 5 = 6$. В частное записываем $6$. Находим остаток: $32 - 30 = 2$.
2. Сносим следующую цифру — $2$. К остатку $2$ сотни добавляем $2$ десятка, получаем $22$ десятка. Делим $22$ на $5$. Ближайшее число — $20$. $20 : 5 = 4$. В частное записываем $4$. Находим остаток: $22 - 20 = 2$.
3. Сносим следующую цифру — $5$. К остатку $2$ десятка добавляем $5$ единиц, получаем $25$ единиц. Делим $25$ на $5$, получаем $5$. В частное записываем $5$. Остаток $0$.
Таким образом, $3225 : 5 = 645$.
Ответ: 645
1648 : 8
Решим это выражение методом деления в столбик.
1. Первое неполное делимое — $16$ сотен. Делим $16$ на $8$, получаем $2$. В частное записываем $2$. Остаток $0$.
2. Сносим следующую цифру — $4$ (десятки). $4$ нельзя разделить на $8$ так, чтобы в частном получились десятки, поэтому в частное записываем $0$. Остаток $4$.
3. Сносим следующую цифру — $8$. К остатку $4$ десятка добавляем $8$ единиц, получаем $48$ единиц. Делим $48$ на $8$, получаем $6$. В частное записываем $6$. Остаток $0$.
Таким образом, $1648 : 8 = 206$.
Ответ: 206
27 576 : 9
Решим это выражение методом деления в столбик.
1. Первое неполное делимое — $27$ тысяч. Делим $27$ на $9$, получаем $3$. В частное записываем $3$. Остаток $0$.
2. Сносим следующую цифру — $5$ (сотни). $5$ нельзя разделить на $9$ так, чтобы в частном получились сотни, поэтому в частное записываем $0$. Остаток $5$.
3. Сносим следующую цифру — $7$. К остатку $5$ сотен добавляем $7$ десятков, получаем $57$ десятков. Делим $57$ на $9$. Ближайшее число — $54$. $54 : 9 = 6$. В частное записываем $6$. Находим остаток: $57 - 54 = 3$.
4. Сносим следующую цифру — $6$. К остатку $3$ десятка добавляем $6$ единиц, получаем $36$ единиц. Делим $36$ на $9$, получаем $4$. В частное записываем $4$. Остаток $0$.
Таким образом, $27576 : 9 = 3064$.
Ответ: 3064
47 614 : 7
Решим это выражение методом деления в столбик.
1. Первое неполное делимое — $47$ тысяч. Делим $47$ на $7$. Ближайшее число — $42$. $42 : 7 = 6$. В частное записываем $6$. Находим остаток: $47 - 42 = 5$.
2. Сносим следующую цифру — $6$. К остатку $5$ тысяч добавляем $6$ сотен, получаем $56$ сотен. Делим $56$ на $7$, получаем $8$. В частное записываем $8$. Остаток $0$.
3. Сносим следующую цифру — $1$ (десяток). $1$ нельзя разделить на $7$ так, чтобы в частном получились десятки, поэтому в частное записываем $0$. Остаток $1$.
4. Сносим следующую цифру — $4$. К остатку $1$ десяток добавляем $4$ единицы, получаем $14$ единиц. Делим $14$ на $7$, получаем $2$. В частное записываем $2$. Остаток $0$.
Таким образом, $47614 : 7 = 6802$.
Ответ: 6802
318 624 : 6
Решим это выражение методом деления в столбик.
1. Первое неполное делимое — $31$ десяток тысяч. Делим $31$ на $6$. Ближайшее число — $30$. $30 : 6 = 5$. В частное записываем $5$. Находим остаток: $31 - 30 = 1$.
2. Сносим следующую цифру — $8$. К остатку $1$ десяток тысяч добавляем $8$ тысяч, получаем $18$ тысяч. Делим $18$ на $6$, получаем $3$. В частное записываем $3$. Остаток $0$.
3. Сносим следующую цифру — $6$ (сотни). Делим $6$ на $6$, получаем $1$. В частное записываем $1$. Остаток $0$.
4. Сносим следующую цифру — $2$ (десятки). $2$ нельзя разделить на $6$ так, чтобы в частном получились десятки, поэтому в частное записываем $0$. Остаток $2$.
5. Сносим следующую цифру — $4$. К остатку $2$ десятка добавляем $4$ единицы, получаем $24$ единицы. Делим $24$ на $6$, получаем $4$. В частное записываем $4$. Остаток $0$.
Таким образом, $318624 : 6 = 53104$.
Ответ: 53104
Условие 2020-2022. №4 (с. 17)
скриншот условия
 
                                4 Найди значения выражений:
$318 : 3$
$4963 : 7$
$27 576 : 9$
$504 : 6$
$3225 : 5$
$47 614 : 7$
$972 : 4$
$1648 : 8$
$318 624 : 6$
Решение 2020-2022. №4 (с. 17)
 
             
             
                            Другие задания:
Помогло решение? Оставьте отзыв в комментариях ниже.
Присоединяйтесь к Телеграм-группе @top_gdz
ПрисоединитьсяМы подготовили для вас ответ c подробным объяснением домашего задания по математике за 3 класс, для упражнения номер 4 расположенного на странице 17 для 2-й части к учебному пособию - тетради серии учусь учиться 2024 года издания для учащихся школ и гимназий.
Теперь на нашем сайте ГДЗ.ТОП вы всегда легко и бесплатно найдёте условие с правильным ответом на вопрос «Как решить ДЗ» и «Как сделать» задание по математике к упражнению №4 (с. 17), автора: Петерсон (Людмила Георгиевна), 2-й части учебного пособия издательства Просвещение.
 
                     
                     
                     
                     
                     
                     
                     
                     
                     
                     
                     
                     
                     
                     
                     
                     
                     
                     
                    