Номер 1.131, страница 29, часть 1 - гдз по математике 5 класс учебник Виленкин, Жохов

Авторы: Виленкин Н. Я., Жохов В. И., Чесноков А. С., Александрова Л. А., Шварцбурд С. И.
Тип: Учебник
Издательство: Просвещение
Год издания: 2023 - 2025
Уровень обучения: базовый
Часть: 1
Цвет обложки: белый, красный, синий с пазлами
Допущено Министерством просвещения Российской Федерации
Популярные ГДЗ в 5 классе
5. Шкалы и координатная прямая. § 1. Натуральные числа и нуль. Шкалы. Глава 1. Натуральные числа. ч. 1 - номер 1.131, страница 29.
№1.131 (с. 29)
Условие. №1.131 (с. 29)
скриншот условия

1.131 Выразите в граммах:
а) 7 кг 350 г;
б) 12 кг 30 г;
в) 5 кг 43 г;
г) 102 кг;
д) 2 ц 20 кг 500 г;
с) 3 ц 3 кг 70 г.
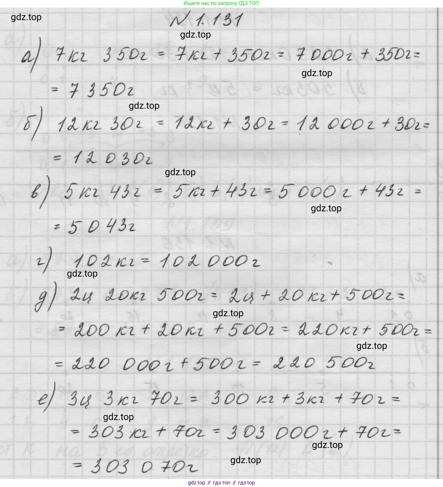
Решение 1. №1.131 (с. 29)
а) 7 кг 350 г = 7 кг + 350 г = 7000 г + 350 г = 7350 г;
б) 12 кг 30 г = 12 кг + 30 г = 12000 г + 30 г = 12030 г;
в) 5 кг 43 г = 5 кг + 43 г = 5000 г + 43 г = 5043 г;
г) 102 кг = 102000 г;
д) 2 ц 20 кг 500 г = 2 ц + 20 кг + 500 г = 200 кг + 20 кг 500 г = 220 кг + 500 г = 222000 г + 500 г = 220500 г;
е) 3 ц 3 кг 70 г = 300 кг + 3 кг + 70 г = 303 кг + 70 г = 303000 г + 70 г = 303070 г.
Решение 2. №1.131 (с. 29)
Для решения этой задачи необходимо выразить все указанные величины в граммах. Для этого будем использовать следующие соотношения единиц массы:
$1 \text{ килограмм (кг)} = 1000 \text{ грамм (г)}$
$1 \text{ центнер (ц)} = 100 \text{ килограмм (кг)}$
а) Чтобы выразить 7 кг 350 г в граммах, нужно перевести килограммы в граммы и прибавить к ним указанное количество граммов.
$7 \text{ кг } 350 \text{ г} = 7 \times 1000 \text{ г} + 350 \text{ г} = 7000 \text{ г} + 350 \text{ г} = 7350 \text{ г}$.
Ответ: 7350 г.
б) Чтобы выразить 12 кг 30 г в граммах, выполним аналогичные действия.
$12 \text{ кг } 30 \text{ г} = 12 \times 1000 \text{ г} + 30 \text{ г} = 12000 \text{ г} + 30 \text{ г} = 12030 \text{ г}$.
Ответ: 12030 г.
в) Выразим 5 кг 43 г в граммах.
$5 \text{ кг } 43 \text{ г} = 5 \times 1000 \text{ г} + 43 \text{ г} = 5000 \text{ г} + 43 \text{ г} = 5043 \text{ г}$.
Ответ: 5043 г.
г) Выразим 102 кг в граммах.
$102 \text{ кг} = 102 \times 1000 \text{ г} = 102000 \text{ г}$.
Ответ: 102000 г.
д) Чтобы выразить 2 ц 20 кг 500 г в граммах, сначала переведем центнеры в килограммы, сложим их, а затем общую массу в килограммах переведем в граммы, прибавив остаток.
Общая масса в килограммах: $2 \text{ ц} + 20 \text{ кг} = 2 \times 100 \text{ кг} + 20 \text{ кг} = 220 \text{ кг}$.
Теперь переведем в граммы: $220 \text{ кг} + 500 \text{ г} = 220 \times 1000 \text{ г} + 500 \text{ г} = 220000 \text{ г} + 500 \text{ г} = 220500 \text{ г}$.
Ответ: 220500 г.
е) Выразим 3 ц 3 кг 70 г в граммах, действуя аналогично предыдущему пункту.
Общая масса в килограммах: $3 \text{ ц} + 3 \text{ кг} = 3 \times 100 \text{ кг} + 3 \text{ кг} = 303 \text{ кг}$.
Переводим в граммы: $303 \text{ кг} + 70 \text{ г} = 303 \times 1000 \text{ г} + 70 \text{ г} = 303000 \text{ г} + 70 \text{ г} = 303070 \text{ г}$.
Ответ: 303070 г.
Решение 3. №1.131 (с. 29)

Решение 4. №1.131 (с. 29)

Другие задания:
Помогло решение? Оставьте отзыв в комментариях ниже.
Мы подготовили для вас ответ c подробным объяснением домашего задания по математике за 5 класс, для упражнения номер 1.131 расположенного на странице 29 для 1-й части к учебнику 2023 года издания для учащихся школ и гимназий.
Теперь на нашем сайте ГДЗ.ТОП вы всегда легко и бесплатно найдёте условие с правильным ответом на вопрос «Как решить ДЗ» и «Как сделать» задание по математике к упражнению №1.131 (с. 29), авторов: Виленкин (Наум Яковлевич), Жохов (Владимир Иванович), Чесноков (Александр Семёнович), Александрова (Лилия Александровна), Шварцбурд (Семён Исаакович), 1-й части ФГОС (новый, красный) базовый уровень обучения учебного пособия издательства Просвещение.