Номер 1.91, страница 21, часть 1 - гдз по математике 5 класс учебник Виленкин, Жохов

Авторы: Виленкин Н. Я., Жохов В. И., Чесноков А. С., Александрова Л. А., Шварцбурд С. И.
Тип: Учебник
Издательство: Просвещение
Год издания: 2023 - 2025
Уровень обучения: базовый
Часть: 1
Цвет обложки: белый, красный, синий с пазлами
Допущено Министерством просвещения Российской Федерации
Популярные ГДЗ в 5 классе
3. Отрезок и его длина. Ломаная. Многоугольник. § 1. Натуральные числа и нуль. Шкалы. Глава 1. Натуральные числа. ч. 1 - номер 1.91, страница 21.
№1.91 (с. 21)
Условие. №1.91 (с. 21)
скриншот условия

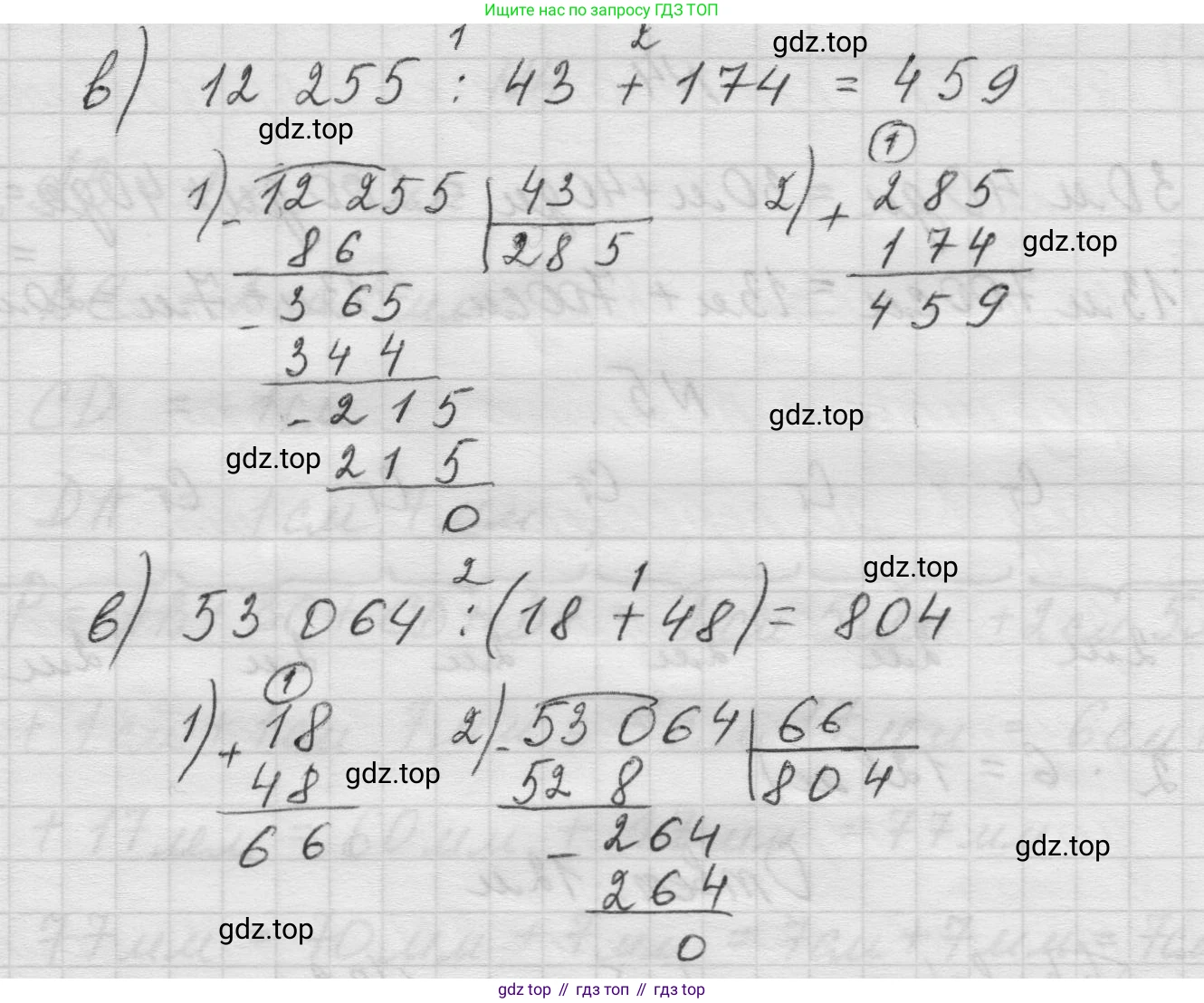
1.91 Выполните действия:
а) 43 • 13 + 316;
б) (63 + 59) • 75;
в) 12 255 : 43 + 174;
г) 53 064 : (18 + 48).
Решение 1. №1.91 (с. 21)








Решение 3. №1.91 (с. 21)

Решение 4. №1.91 (с. 21)

Другие задания:
Помогло решение? Оставьте отзыв в комментариях ниже.
Мы подготовили для вас ответ c подробным объяснением домашего задания по математике за 5 класс, для упражнения номер 1.91 расположенного на странице 21 для 1-й части к учебнику 2023 года издания для учащихся школ и гимназий.
Теперь на нашем сайте ГДЗ.ТОП вы всегда легко и бесплатно найдёте условие с правильным ответом на вопрос «Как решить ДЗ» и «Как сделать» задание по математике к упражнению №1.91 (с. 21), авторов: Виленкин (Наум Яковлевич), Жохов (Владимир Иванович), Чесноков (Александр Семёнович), Александрова (Лилия Александровна), Шварцбурд (Семён Исаакович), 1-й части ФГОС (новый, красный) базовый уровень обучения учебного пособия издательства Просвещение.