Страница 147 - гдз по химии 8 класс учебник Габриелян, Остроумов

Авторы: Габриелян О. С., Остроумов И. Г., Сладков С. А.
Тип: Учебник
Издательство: Просвещение
Год издания: 2023 - 2025
Уровень обучения: базовый
Цвет обложки: белый, синий
ISBN: 978-5-09-110813-2
Допущено Министерством просвещения Российской Федерации
Популярные ГДЗ в 8 классе
Cтраница 147

№6 (с. 147)
Условие. №6 (с. 147)
скриншот условия

6. Напишите формулы высших оксидов и соответствующих им гидроксидов для элементов-металлов: алюминия, магния, меди, лития.
Решение. №6 (с. 147)

Решение 2. №6 (с. 147)
Для определения формул высших оксидов и соответствующих им гидроксидов необходимо знать высшую степень окисления элемента. Высшая степень окисления для элементов главных подгрупп, как правило, равна номеру группы, в которой они находятся в Периодической системе. Для металлов побочных подгрупп это правило не всегда работает, и нужно учитывать их характерные степени окисления.
Алюминий (Al)
Алюминий — это элемент 13-й группы (или IIIА группы) Периодической системы. Его высшая степень окисления равна +3.
Формула высшего оксида составляется с учётом степени окисления кислорода (-2): $Al_2^{+3}O_3^{-2}$, или просто $Al_2O_3$ (оксид алюминия).
Соответствующий гидроксид будет содержать алюминий в той же степени окисления +3 и гидроксогруппы $OH^-$ (степень окисления -1). Формула гидроксида: $Al(OH)_3$ (гидроксид алюминия).
Ответ: Высший оксид: $Al_2O_3$, гидроксид: $Al(OH)_3$.
Магний (Mg)
Магний — это элемент 2-й группы (IIA группы). Его высшая и постоянная степень окисления равна +2.
Формула высшего оксида: $Mg^{+2}O^{-2}$, или $MgO$ (оксид магния).
Соответствующий гидроксид: $Mg(OH)_2$ (гидроксид магния).
Ответ: Высший оксид: $MgO$, гидроксид: $Mg(OH)_2$.
Медь (Cu)
Медь — элемент побочной подгруппы (11-я или IБ группа). Для меди характерны степени окисления +1 и +2. Более высокой и устойчивой является степень окисления +2.
Формула высшего оксида (оксид меди(II)): $Cu^{+2}O^{-2}$, или $CuO$.
Соответствующий ему гидроксид (гидроксид меди(II)): $Cu(OH)_2$.
Ответ: Высший оксид: $CuO$, гидроксид: $Cu(OH)_2$.
Литий (Li)
Литий — это элемент 1-й группы (IА группы). Его высшая и постоянная степень окисления равна +1.
Формула высшего оксида: $Li_2^{+1}O^{-2}$, или $Li_2O$ (оксид лития).
Соответствующий гидроксид: $LiOH$ (гидроксид лития).
Ответ: Высший оксид: $Li_2O$, гидроксид: $LiOH$.
№7 (с. 147)
Условие. №7 (с. 147)
скриншот условия

7. Запишите формулы двух высших оксидов, если их состав $ЭO_3$ и $Э_2O_3$, а также три уравнения реакций, характеризующие химические свойства этих оксидов.
Решение. №7 (с. 147)

Решение 2. №7 (с. 147)
Решение
Заданные общие формулы высших оксидов — $ЭО_3$ и $Э_2О_5$. Чтобы определить элементы (Э), найдем их степени окисления в этих соединениях. Высшая степень окисления элемента, как правило, совпадает с номером группы в периодической системе, в которой он находится.
1. Анализ формулы $ЭО_3$
Степень окисления кислорода в оксидах равна -2. Молекула электронейтральна, поэтому сумма степеней окисления всех атомов равна нулю. Пусть степень окисления элемента Э равна $x$.
$x + 3 \cdot (-2) = 0$
$x - 6 = 0$
$x = +6$
Следовательно, элемент Э находится в 16-й группе (VIA). Типичным представителем является сера (S). Формула её высшего оксида — $SO_3$ (оксид серы(VI)).
2. Анализ формулы $Э_2О_5$
Аналогично, степень окисления кислорода равна -2. Пусть степень окисления элемента Э равна $y$.
$2 \cdot y + 5 \cdot (-2) = 0$
$2y - 10 = 0$
$2y = 10$
$y = +5$
Следовательно, элемент Э находится в 15-й группе (VA). Типичным представителем является фосфор (P). Формула его высшего оксида — $P_2O_5$ (оксид фосфора(V)).
Таким образом, мы определили два высших оксида: $SO_3$ и $P_2O_5$. Оба являются кислотными оксидами.
3. Химические свойства
Кислотные оксиды реагируют с водой, основаниями и основными оксидами. Запишем три уравнения реакций, характеризующие эти свойства:
а) Взаимодействие с водой с образованием кислоты. На примере оксида серы(VI):
$SO_3 + H_2O \rightarrow H_2SO_4$
б) Взаимодействие с основанием (щелочью) с образованием соли и воды. На примере оксида фосфора(V):
$P_2O_5 + 6NaOH \rightarrow 2Na_3PO_4 + 3H_2O$
в) Взаимодействие с основным оксидом с образованием соли. На примере оксида серы(VI):
$SO_3 + CaO \rightarrow CaSO_4$
Ответ:формулы двух высших оксидов: $SO_3$ и $P_2O_5$.
Три уравнения реакций, характеризующие их химические свойства:
1. $SO_3 + H_2O \rightarrow H_2SO_4$
2. $P_2O_5 + 6NaOH \rightarrow 2Na_3PO_4 + 3H_2O$
3. $SO_3 + CaO \rightarrow CaSO_4$
№8 (с. 147)
Условие. №8 (с. 147)
скриншот условия

8. Напишите уравнения химических реакций кальция:
а) с кислородом;
б) с серой;
в) с водой.
Решение. №8 (с. 147)

Решение 2. №8 (с. 147)
а) с кислородом
Кальций – это активный щелочноземельный металл, который реагирует с кислородом воздуха при нагревании. В результате этой реакции образуется основный оксид – оксид кальция. В этом соединении кальций проявляет свою постоянную степень окисления +2, а кислород -2. Реакция является окислительно-восстановительной, где кальций – восстановитель, а кислород – окислитель.
Уравнение реакции горения кальция в кислороде:
$$2Ca + O_2 \xrightarrow{t} 2CaO$$
Ответ: $2Ca + O_2 \xrightarrow{t} 2CaO$
б) с серой
Кальций реагирует с неметаллами при нагревании. При взаимодействии с серой образуется соль – сульфид кальция. Реакция происходит при сплавлении реагентов. Кальций отдает два электрона, являясь восстановителем, а сера принимает два электрона, являясь окислителем.
Уравнение реакции кальция с серой:
$$Ca + S \xrightarrow{t} CaS$$
Ответ: $Ca + S \xrightarrow{t} CaS$
в) с водой
Кальций является достаточно активным металлом, чтобы реагировать с водой при обычных условиях (без нагревания). Эта реакция приводит к образованию растворимого основания – гидроксида кальция (известного также как гашёная известь) и выделению газообразного водорода. Реакция протекает бурно.
Уравнение реакции кальция с водой:
$$Ca + 2H_2O \rightarrow Ca(OH)_2 + H_2\uparrow$$
Ответ: $Ca + 2H_2O \rightarrow Ca(OH)_2 + H_2\uparrow$
№9 (с. 147)
Условие. №9 (с. 147)
скриншот условия

9. Используя приведённый в параграфе план, найдите сходство и различия пар химических элементов:
a) лития и натрия;
б) углерода и азота.
Решение. №9 (с. 147)



Решение 2. №9 (с. 147)
а) лития и натрия;
Сравнение химических элементов литий ($Li$) и натрий ($Na$) проводится на основе их положения в Периодической системе Д.И. Менделеева, строения атомов и свойств образуемых ими веществ.
Сходство:
1. Литий и натрий находятся в одной группе (I) и одной подгруппе (главной). Оба являются щелочными металлами.
2. Атомы обоих элементов имеют одинаковое строение внешнего энергетического уровня — на нем находится один электрон ($1e^-$). Электронные конфигурации внешнего слоя: у лития $2s^1$, у натрия $3s^1$.
3. В химических реакциях проявляют одинаковую валентность I и степень окисления +1, являются сильными восстановителями.
4. Простые вещества — литий и натрий — являются типичными металлами с высокой химической активностью.
5. Оба элемента образуют оксиды основного характера с общей формулой $R_2O$ ($Li_2O$, $Na_2O$) и соответствующие им гидроксиды — сильные основания (щелочи) с общей формулой $ROH$ ($LiOH$, $NaOH$).
Различие:
1. Литий и натрий расположены в разных периодах: литий во 2-м, натрий в 3-м.
2. Атомы имеют разный заряд ядра (у лития +3, у натрия +11) и, соответственно, разное число электронов и электронных слоев (у $Li$ — 2, у $Na$ — 3).
3. Радиус атома натрия больше, чем радиус атома лития.
4. Металлические и восстановительные свойства у натрия выражены сильнее, так как его валентный электрон находится дальше от ядра и слабее с ним связан.
5. Химическая активность простого вещества натрия выше, чем у лития.
6. Основные свойства оксида и гидроксида натрия ($Na_2O$, $NaOH$) сильнее, чем у соответствующих соединений лития ($Li_2O$, $LiOH$).
Ответ: Сходство лития и натрия определяется их положением в одной группе (щелочные металлы) и одинаковым строением внешнего электронного слоя (1 электрон), что обуславливает схожие химические свойства (степень окисления +1, образование основных оксидов и щелочей). Различия обусловлены разным числом электронных слоев, что приводит к увеличению атомного радиуса, усилению металлических свойств и химической активности при переходе от лития к натрию.
б) углерода и азота.
Сравнение химических элементов углерод ($C$) и азот ($N$) проводится на основе их положения в Периодической системе, строения атомов и свойств образуемых ими веществ.
Сходство:
1. Углерод и азот расположены в одном периоде — 2-м.
2. Атомы обоих элементов имеют одинаковое число электронных слоев — два.
3. Углерод и азот являются типичными неметаллами.
4. Оба элемента образуют высшие оксиды кислотного характера ($CO_2$ и $N_2O_5$) и соответствующие им кислоты ($H_2CO_3$ и $HNO_3$).
5. Оба элемента образуют летучие водородные соединения ($CH_4$ и $NH_3$).
Различие:
1. Углерод и азот находятся в разных группах: углерод в IV группе, азот — в V.
2. Атомы имеют разный заряд ядра (у углерода +6, у азота +7) и разное количество электронов на внешнем уровне (углерод — 4, азот — 5).
3. Радиус атома азота меньше, чем у углерода, а его электроотрицательность выше. В связи с этим неметаллические свойства у азота выражены сильнее.
4. Простые вещества при стандартных условиях находятся в разном агрегатном состоянии: углерод — твердое вещество, азот — газ.
5. Высшие степени окисления элементов различны: у углерода +4, у азота +5.
6. Формулы и свойства их соединений различаются. Высшие оксиды: $CO_2$ и $N_2O_5$. Кислоты: азотная ($HNO_3$) — сильная, угольная ($H_2CO_3$) — слабая. Водородные соединения: аммиак ($NH_3$) проявляет основные свойства, а метан ($CH_4$) — нет.
Ответ: Сходство углерода и азота определяется их положением в одном периоде, что обуславливает одинаковое число электронных слоев в их атомах и проявление неметаллических свойств. Различия обусловлены разным числом валентных электронов, что ведет к разным степеням окисления, разным формам и свойствам их соединений, а также к усилению неметаллических свойств от углерода к азоту.
№10 (с. 147)
Условие. №10 (с. 147)
скриншот условия

10. Определите положение химических элементов в Периодической системе по следующим данным:
а) ядро атома содержит 5 протонов;
б) массовое число атома равно 35, причём в ядре атома 18 нейтронов;
в) в электронной оболочке атома содержится 13 электронов;
г) электронная оболочка атома состоит из трёх энергетических уровней, на внешнем уровне находится 4 электрона.
Решение. №10 (с. 147)

Решение 2. №10 (с. 147)
а) ядро атома содержит 5 протонов;
Порядковый номер химического элемента в Периодической системе равен числу протонов в ядре атома. Поскольку ядро данного атома содержит 5 протонов, его порядковый номер $Z = 5$.
Элемент с порядковым номером 5 — это Бор (B).
Положение Бора в Периодической системе: 2-й период, 13-я группа (главная подгруппа III группы).
Ответ: Элемент – Бор (B), расположен во 2-м периоде, 13-й группе.
б) массовое число атома равно 35, причём в ядре атома 18 нейтронов;
Дано:
Массовое число $A = 35$
Число нейтронов $N = 18$
Найти:
Положение химического элемента.
Решение:
Массовое число атома ($A$) равно сумме числа протонов ($Z$) и числа нейтронов ($N$) в ядре: $A = Z + N$. Порядковый номер элемента ($Z$) определяет его положение в Периодической системе и равен числу протонов.
Найдем число протонов: $Z = A - N$.
Подставим данные из условия задачи: $Z = 35 - 18 = 17$.
Порядковый номер элемента равен 17. Элемент с таким номером — это Хлор (Cl).
Положение Хлора в Периодической системе: 3-й период, 17-я группа (главная подгруппа VII группы).
Ответ: Элемент – Хлор (Cl), расположен в 3-м периоде, 17-й группе.
в) в электронной оболочке атома содержит 13 электронов;
Атом в основном состоянии является электронейтральной частицей, поэтому число электронов ($e^-$) в его электронной оболочке равно числу протонов ($p^+$) в ядре.
Из условия известно, что число электронов равно 13. Следовательно, число протонов в ядре также равно 13, и порядковый номер элемента $Z = 13$.
Элемент с порядковым номером 13 — это Алюминий (Al).
Положение Алюминия в Периодической системе: 3-й период, 13-я группа (главная подгруппа III группы).
Ответ: Элемент – Алюминий (Al), расположен в 3-м периоде, 13-й группе.
г) электронная оболочка атома состоит из трёх энергетических уровней, на внешнем уровне находится 4 электрона.
Номер периода, в котором расположен элемент, определяется числом энергетических уровней в его атоме. Поскольку у атома три энергетических уровня, он находится в 3-м периоде.
Для элементов главных подгрупп (A-групп) номер группы равен числу электронов на внешнем энергетическом уровне (валентных электронов). Так как на внешнем уровне находится 4 электрона, элемент расположен в 14-й группе (главной подгруппе IV группы).
Элемент, находящийся в 3-м периоде и 14-й группе, — это Кремний (Si).
Ответ: Элемент – Кремний (Si), расположен в 3-м периоде, 14-й группе.
№11 (с. 147)
Условие. №11 (с. 147)
скриншот условия

11. Прочитайте фрагмент характеристики химического элемента по положению в Периодической системе и определите этот элемент:
а) его металлические свойства выражены сильнее, чем у алюминия, но слабее, чем у индия;
б) его неметаллические свойства выражены сильнее, чем у бора, но слабее, чем у азота;
в) формула летучего водородного соединения — $HE$, а электронная оболочка атома содержит четыре электронных уровня;
г) на внешнем электронном уровне содержится четыре электрона, элемент расположен в третьем периоде;
д) неметалл, максимальная валентность равна пяти, число электронных уровней в электронной оболочке атома равно четырём.
Решение. №11 (с. 147)

Решение 2. №11 (с. 147)
а)
Решение:
Металлические свойства химических элементов в группах Периодической системы усиливаются сверху вниз, а в периодах ослабевают слева направо. Алюминий (Al) и индий (In) находятся в 13-й группе (IIIA подгруппе). Алюминий находится в 3-м периоде, а индий — в 5-м.
Элемент, у которого металлические свойства выражены сильнее, чем у алюминия, но слабее, чем у индия, должен находиться в той же группе между ними. Между 3-м и 5-м периодами в 13-й группе расположен 4-й период. Элемент 4-го периода 13-й группы — это галлий (Ga).
Ряд усиления металлических свойств в 13-й группе: B < Al < Ga < In < Tl. Таким образом, свойства галлия (Ga) действительно сильнее, чем у алюминия (Al), и слабее, чем у индия (In).
Ответ: Галий (Ga).
б)
Решение:
Неметаллические свойства химических элементов в периодах усиливаются слева направо, а в группах ослабевают сверху вниз. Бор (B) и азот (N) находятся во 2-м периоде. Бор — в 13-й группе, азот — в 15-й группе.
Элемент, у которого неметаллические свойства выражены сильнее, чем у бора, но слабее, чем у азота, должен находиться во 2-м периоде между ними. Между 13-й и 15-й группами находится 14-я группа. Элемент 2-го периода 14-й группы — это углерод (C).
Ряд усиления неметаллических свойств во 2-м периоде: ...B < C < N < O... Свойства углерода (C) сильнее, чем у бора (B), и слабее, чем у азота (N).
Ответ: Углерод (C).
в)
Решение:
Условие "электронная оболочка атома содержит четыре электронных уровня" означает, что элемент находится в 4-м периоде.
Формула летучего водородного соединения $ЭН_3$ (где Э — искомый элемент) характерна для элементов 15-й группы (VA подгруппы). В таких соединениях водород проявляет степень окисления +1, а элемент (Э) — отрицательную степень окисления, равную (номер группы - 8). Для формулы $ЭН_3$ степень окисления элемента Э равна -3, что соответствует элементу 15-й группы (так как $8 - 5 = 3$).
Химический элемент, расположенный в 4-м периоде и 15-й группе, — это мышьяк (As). Его летучее водородное соединение — арсин ($AsH_3$).
Ответ: Мышьяк (As).
г)
Решение:
Условие "элемент расположен в третьем периоде" однозначно указывает на его положение в Периодической системе.
Условие "на внешнем электронном уровне содержится четыре электрона" означает, что элемент находится в 14-й группе (IVA подгруппе), так как для элементов главных подгрупп номер группы равен числу валентных электронов.
Химический элемент, расположенный в 3-м периоде и 14-й группе, — это кремний (Si).
Ответ: Кремний (Si).
д)
Решение:
Условие "число электронных уровней в электронной оболочке атома равно четырём" означает, что элемент находится в 4-м периоде.
Условие "максимальная валентность равна пяти" для элементов главных подгрупп указывает на то, что элемент находится в 15-й группе (VA подгруппе), так как высшая валентность (и высшая степень окисления) обычно равна номеру группы.
Химический элемент, расположенный в 4-м периоде и 15-й группе, — это мышьяк (As). Мышьяк является полуметаллом (металлоидом), но в контексте противопоставления металлам его часто относят к неметаллам. Он подходит под описание "неметалл".
Ответ: Мышьяк (As).
№12 (с. 147)
Условие. №12 (с. 147)
скриншот условия

12. Для реакции с хлором взяты одинаковые массы магния и кальция. Не производя химических расчётов, определите, для какой из этих двух реакций потребуется больший объём газообразного хлора.
Решение. №12 (с. 147)


Решение 2. №12 (с. 147)
Дано:
$m(Mg) = m(Ca)$
Найти:
Для какой из двух реакций (с Mg или с Ca) потребуется больший объем $V(Cl_2)$?
Решение:
Запишем уравнения химических реакций взаимодействия магния и кальция с хлором:
1. $Mg + Cl_2 \rightarrow MgCl_2$
2. $Ca + Cl_2 \rightarrow CaCl_2$
Из стехиометрических коэффициентов в обоих уравнениях видно, что металлы реагируют с хлором в мольном соотношении 1:1. Это означает, что количество вещества хлора $n(Cl_2)$, вступающего в реакцию, равно количеству вещества металла $n(металла)$.
Количество вещества ($n$) определяется по формуле:
$n = m / M$, где $m$ - масса вещества, а $M$ - его молярная масса.
Найдем молярные массы магния и кальция, используя периодическую систему химических элементов:
$M(Mg) \approx 24$ г/моль
$M(Ca) \approx 40$ г/моль
Таким образом, молярная масса магния меньше молярной массы кальция: $M(Mg) < M(Ca)$.
По условию задачи, массы магния и кальция равны ($m(Mg) = m(Ca) = m$). Сравним количество вещества для каждого металла:
$n(Mg) = m / M(Mg)$
$n(Ca) = m / M(Ca)$
Поскольку мы делим одинаковую массу $m$ на разную молярную массу, то чем меньше знаменатель ($M$), тем больше будет результат ($n$). Так как $M(Mg) < M(Ca)$, то количество вещества магния будет больше, чем количество вещества кальция: $n(Mg) > n(Ca)$.
Так как $n(Cl_2) = n(металла)$, то для реакции с магнием потребуется большее количество вещества хлора, чем для реакции с кальцием.
Согласно закону Авогадро, объем газа ($V$) прямо пропорционален количеству вещества ($n$) при одинаковых условиях. Следовательно, чем больше количество вещества хлора, тем больший объем он будет занимать.
Поскольку для реакции с магнием требуется большее количество моль хлора, то и объем хлора для этой реакции потребуется больший.
Ответ: больший объём газообразного хлора потребуется для реакции с магнием.
№13 (с. 147)
Условие. №13 (с. 147)
скриншот условия

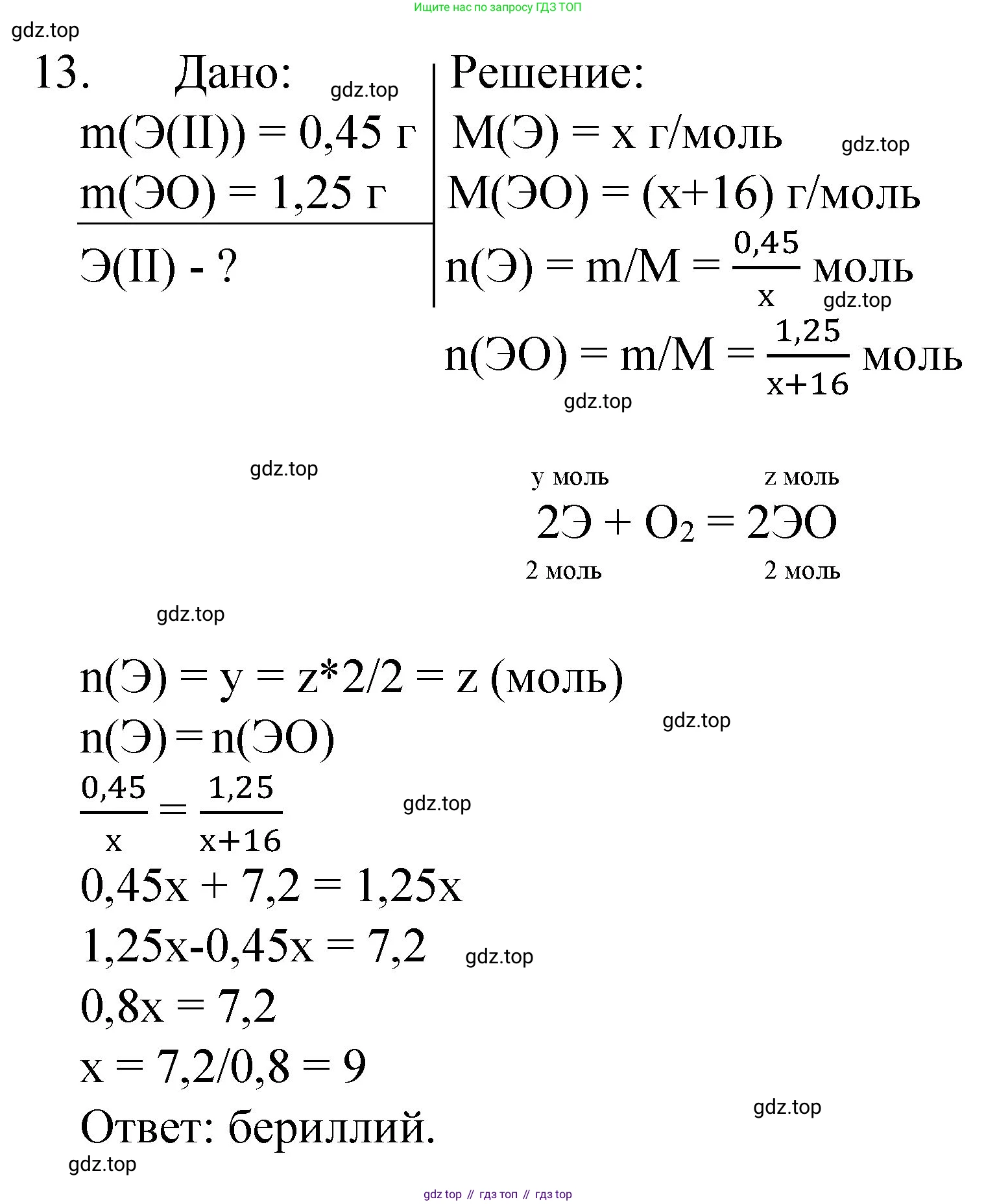
13. При сжигании 0,45 г простого вещества, образованного атомами элемента IIA-группы, образовалось 1,25 г оксида. Определите, какое вещество было взято для реакции.
Решение. №13 (с. 147)

Решение 2. №13 (с. 147)
Дано:
$m(\text{простого вещества}) = 0,45 \text{ г}$
$m(\text{оксида}) = 1,25 \text{ г}$
Элемент принадлежит IIA-группе.
Найти:
Определить, какое вещество было взято для реакции.
Решение:
Обозначим неизвестный элемент, принадлежащий ко IIA-группе, как $Me$. Элементы этой группы (щелочноземельные металлы) в соединениях с кислородом обычно проявляют степень окисления +2. Следовательно, формула оксида этого элемента будет $MeO$.
Запишем уравнение реакции сгорания этого простого вещества (металла) в кислороде:
$2Me + O_2 \rightarrow 2MeO$
Согласно закону сохранения массы, масса продуктов реакции равна массе реагентов. В данном случае, масса образовавшегося оксида складывается из массы исходного металла и массы кислорода, вступившего в реакцию. Найдем массу кислорода, содержащегося в оксиде:
$m(O) = m(MeO) - m(Me)$
$m(O) = 1,25 \text{ г} - 0,45 \text{ г} = 0,80 \text{ г}$
Зная массу кислорода, можем найти его количество вещества (в молях). Молярная масса атомарного кислорода $M(O)$ составляет 16 г/моль.
$n(O) = \frac{m(O)}{M(O)} = \frac{0,80 \text{ г}}{16 \text{ г/моль}} = 0,05 \text{ моль}$
Из формулы оксида $MeO$ следует, что на один атом металла $Me$ приходится один атом кислорода $O$. Это означает, что их количества вещества в оксиде равны:
$n(Me) = n(O) = 0,05 \text{ моль}$
Теперь мы знаем массу неизвестного металла ($m(Me) = 0,45$ г) и его количество вещества ($n(Me) = 0,05$ моль). Это позволяет нам вычислить молярную массу неизвестного элемента:
$M(Me) = \frac{m(Me)}{n(Me)} = \frac{0,45 \text{ г}}{0,05 \text{ моль}} = 9 \text{ г/моль}$
Обратимся к периодической системе химических элементов Д.И. Менделеева и найдем элемент IIA-группы с атомной массой, близкой к 9 а.е.м. (и, соответственно, молярной массой 9 г/моль). Элементом IIA-группы с молярной массой $M \approx 9,012$ г/моль является бериллий ($Be$). Другие элементы этой группы имеют значительно большие молярные массы (магний — 24,3 г/моль, кальций — 40,1 г/моль и т.д.).
Следовательно, для реакции было взято простое вещество — бериллий.
Ответ: для реакции был взят бериллий ($Be$).
№14 (с. 147)
Условие. №14 (с. 147)
скриншот условия

14. Представьте себе, что оганесон стал стабильным химическим элементом. Спрогнозируйте свойства этого элемента и соответствующего простого вещества на основании положения в Периодической системе Д. И. Менделеева.
Решение. №14 (с. 147)

Решение 2. №14 (с. 147)
Оганесон (Og) — химический элемент с атомным номером 118, расположенный в 18-й группе (группе благородных газов) и 7-м периоде Периодической системы химических элементов Д. И. Менделеева. Он завершает седьмой период и является самым тяжелым из всех известных на данный момент элементов. Прогноз его свойств основан на экстраполяции периодических закономерностей и релятивистских расчетах, так как экспериментальное изучение его химии невозможно из-за чрезвычайно короткого времени жизни его изотопов.
Свойства элемента оганесона
Анализируя положение оганесона в Периодической системе, можно спрогнозировать следующие свойства атома:
- Электронная конфигурация: Предполагаемая электронная конфигурация атома оганесона — $[Rn] 5f^{14} 6d^{10} 7s^2 7p^6$. Внешний электронный слой формально завершён, что является характерным признаком благородных газов.
- Атомный радиус: В соответствии с общей тенденцией увеличения радиуса атомов в группах сверху вниз, оганесон должен обладать самым большим атомным радиусом среди всех элементов своей группы.
- Энергия ионизации: Энергия ионизации в 18-й группе уменьшается с ростом порядкового номера. Следовательно, оганесон должен иметь самую низкую первую энергию ионизации среди всех благородных газов. Низкое значение энергии ионизации (ожидается, что оно будет сравнимо с энергией ионизации некоторых металлов) является ключевым фактором, который должен определять его химическую активность.
- Химическая активность: Из-за очень низкой энергии ионизации и сильных релятивистских эффектов, влияющих на электронную оболочку, оганесон прогнозируется как наиболее химически активный элемент 18-й группы. Он, вероятно, способен образовывать химические соединения легче, чем ксенон (Xe) и радон (Rn). Предполагается, что оганесон сможет проявлять положительные степени окисления, например, +2, +4 и, возможно, +6. Ожидается, что он будет образовывать относительно стабильные фториды (например, $OgF_2$, $OgF_4$) и оксиды. Таким образом, применение термина «инертный» или «благородный» газ к оганесону является весьма условным.
Ответ: Оганесон — p-элемент 18-й группы, 7-го периода, с завершённой электронной оболочкой. В своей группе он обладает самым большим атомным радиусом и самой низкой энергией ионизации. Эти характеристики обуславливают его прогнозируемую высокую химическую активность (наибольшую среди благородных газов) и способность образовывать химические соединения со степенями окисления +2, +4 и, возможно, +6.
Свойства простого вещества оганесона
Свойства простого вещества, образованного атомами оганесона, также будут значительно отличаться от свойств других благородных газов.
- Агрегатное состояние: В отличие от всех предыдущих элементов группы, которые при стандартных условиях (температура 25 °C или 298 К, давление 1 атм) являются газами, простое вещество оганесон прогнозируется как твёрдое вещество.
- Причина такого состояния: Атомы оганесона обладают очень большой массой и размером, что приводит к возникновению между ними значительно более сильных межмолекулярных (дисперсионных) сил притяжения, чем у других благородных газов. Этих сил достаточно, чтобы удерживать атомы в упорядоченной структуре кристаллической решётки при комнатной температуре. Прогнозируемая температура кипения оганесона составляет около 80 ± 30 °C, а температура плавления — выше комнатной.
- Структура и плотность: Простое вещество будет состоять из отдельных атомов (формула — Og). В твёрдом состоянии оно будет образовывать кристаллическую решётку. Из-за огромной атомной массы ($A \approx 294$ а.е.м.) твёрдый оганесон будет обладать очень высокой плотностью.
- Электрофизические свойства: Расчёты показывают, что твердый оганесон, в отличие от других благородных газов, являющихся в твердом виде диэлектриками, будет являться полупроводником с узкой запрещенной зоной. Это уникальное для 18-й группы свойство сближает его с металлоидами.
Ответ: Простое вещество оганесон (Og), состоящее из отдельных атомов, при стандартных условиях прогнозируется как твёрдое вещество с очень высокой плотностью. Его твердое состояние обусловлено сильными межмолекулярными силами. В отличие от других благородных газов, в твёрдом состоянии оганесон, вероятно, будет являться полупроводником.
№15 (с. 147)
Условие. №15 (с. 147)
скриншот условия

15. Подготовьте сообщение об открытии одного из химических элементов. Для под-готовки сообщения можно воспользоваться сайтом химического факультета МГУ.
Решение 2. №15 (с. 147)
В качестве примера для сообщения об открытии химического элемента был выбран Радий (Ra).
Открытие Радия (Ra)
История открытия радия — это одна из наиболее драматичных и значимых глав в истории науки, тесно связанная с именами супругов Пьера Кюри и Марии Склодовской-Кюри.
Все началось в 1896 году, когда французский ученый Анри Беккерель обнаружил, что соединения урана самопроизвольно испускают невидимое излучение, способное засвечивать фотопластинки. Мария Кюри, искавшая тему для своей докторской диссертации, заинтересовалась этим загадочным явлением. Она начала систематически исследовать различные минералы и соединения на предмет их способности испускать «лучи Беккереля». В ходе экспериментов она пришла к поразительному выводу: урановая руда, известная как урановая смолка (настуран), излучала гораздо интенсивнее, чем чистый уран, выделенный из нее. Это наблюдение противоречило идее, что излучение — свойство исключительно урана. Мария предположила, что в руде присутствует неизвестный, гораздо более активный химический элемент.
Пьер Кюри, оценив важность гипотезы своей жены, оставил собственные исследования и присоединился к ее работе. Супруги Кюри поставили перед собой амбициозную задачу — выделить этот гипотетический элемент. Они получили несколько тонн отходов переработки урановой руды и начали изнурительный труд в своей импровизированной лаборатории — старом сарае в Париже. Работа требовала огромных физических усилий и проводилась в крайне вредных условиях, так как о смертельной опасности радиации тогда еще не было известно.
Используя метод фракционной кристаллизации, они шаг за шагом разделяли компоненты руды, каждый раз проверяя радиоактивность полученных фракций с помощью электрометра. В июле 1898 года они смогли выделить вещество, химически похожее на висмут, но обладающее высокой радиоактивностью. Они назвали этот новый элемент полонием (Po) в честь родины Марии — Польши.
Однако после выделения полония оставшиеся фракции, содержащие барий, демонстрировали еще большую активность. Это указывало на присутствие второго, еще более радиоактивного элемента. 26 декабря 1898 года Пьер и Мария Кюри совместно с химиком Гюставом Бемоном объявили Французской академии наук об открытии этого второго элемента. За его способность к интенсивному излучению они назвали его радием (Ra), от латинского слова radius, что означает «луч».
Чтобы окончательно доказать мировому научному сообществу, что радий является новым элементом, его нужно было выделить в чистом виде и определить его атомный вес. Эта задача заняла у Марии Кюри еще четыре года титанического труда. В 1902 году, переработав несколько тонн руды, она наконец получила около 0.1 грамма чистого хлорида радия ($RaCl_2$). Этого было достаточно, чтобы определить его атомный вес (225) и изучить его оптический спектр, который содержал уникальные, ранее неизвестные линии, что стало неопровержимым доказательством открытия. Чистый металлический радий был выделен Марией Кюри лишь в 1910 году.
Значение открытия
Открытие радия произвело революцию в науке. Оно подтвердило существование явления радиоактивности и привело к пониманию того, что атом не является неделимым, а обладает сложной структурой. Это открытие заложило фундамент ядерной физики. Практическое значение также было огромным: радий стал первым радиоактивным элементом, нашедшим применение в медицине для лечения злокачественных опухолей (радиотерапия или кюритерапия).
За свои исследования в области радиоактивности Анри Беккерель, Пьер Кюри и Мария Кюри были удостоены Нобелевской премии по физике в 1903 году. В 1911 году Мария Кюри получила вторую Нобелевскую премию, на этот раз по химии, «за открытие элементов радия и полония, выделение радия и изучение природы и соединений этого замечательного элемента».
Ответ: В сообщении представлена история открытия химического элемента радия, описан процесс его выделения супругами Кюри из урановой руды и раскрыто фундаментальное научное и практическое значение этого открытия.
Помогло решение? Оставьте отзыв в комментариях ниже.