Номер 30, страница 90 - гдз по химии 9 класс сборник задач и упражнений Габриелян, Тригубчак
 
                                                Авторы: Габриелян О. С., Тригубчак И. В.
Тип: Сборник задач и упражнений
Издательство: Просвещение
Год издания: 2020 - 2025
Цвет обложки: белый, зелёный с кристаллом
ISBN: 978-5-09-073711-1
Популярные ГДЗ в 9 классе
9. Углерод, кремний и их соединения. Упражнения и задачи для самостоятельного решения - номер 30, страница 90.
№30 (с. 90)
Условие. №30 (с. 90)
скриншот условия
 
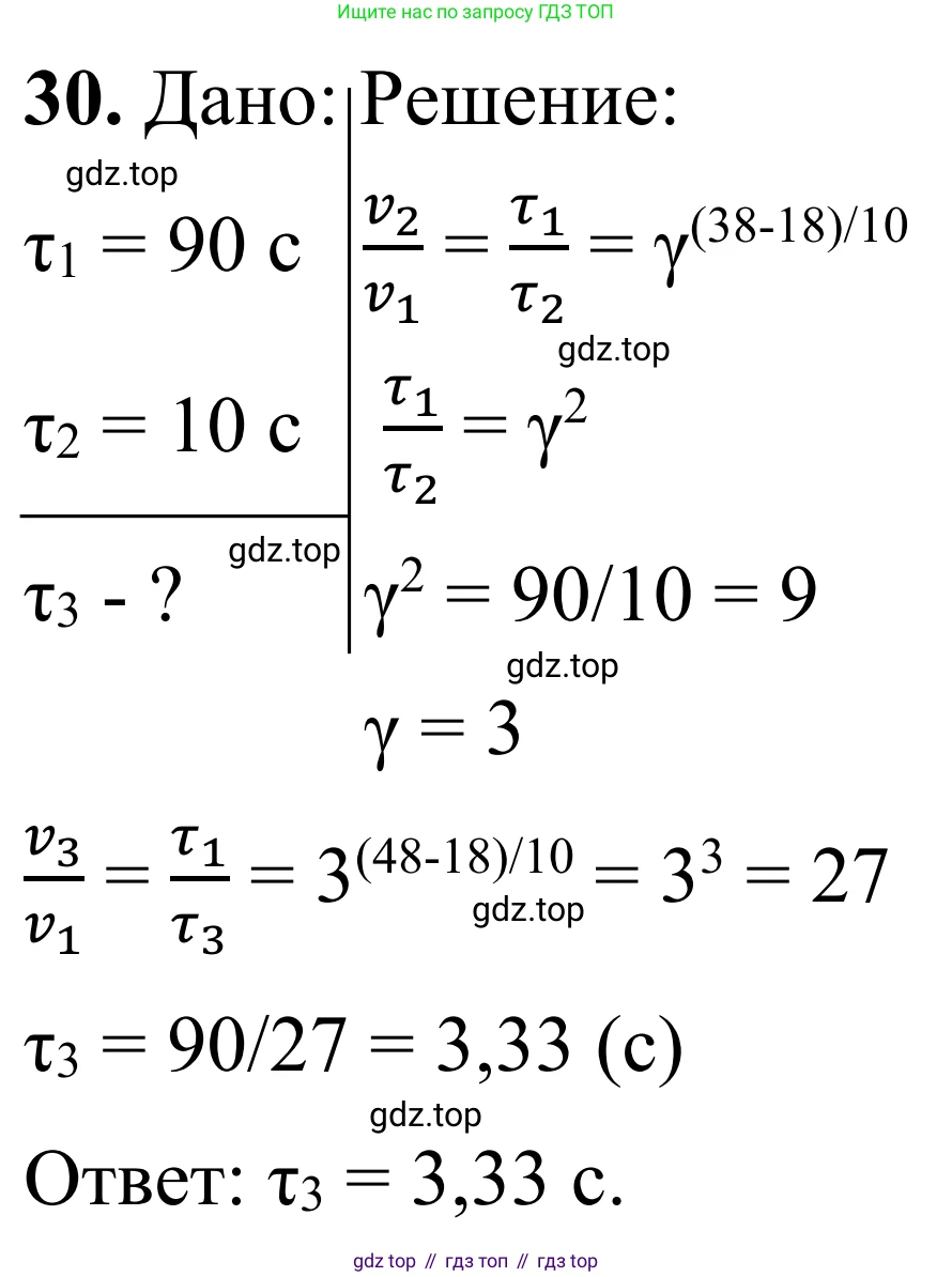
                                30. Растворение образца карбоната кальция в соляной кислоте при $18^\circ\text{C}$ заканчивается через $90\text{ с}$, а при $38^\circ\text{C}$ такой же образец соли растворяется за $10\text{ с}$. За какое время данный образец карбоната кальция растворится при $48^\circ\text{C}$?
Решение. №30 (с. 90)
 
                            Решение 2. №30 (с. 90)
Дано:
Температура 1 ($T_1$) = 18 °C
Время реакции 1 ($t_1$) = 90 с
Температура 2 ($T_2$) = 38 °C
Время реакции 2 ($t_2$) = 10 с
Температура 3 ($T_3$) = 48 °C
Все данные уже представлены в единицах, удобных для расчета (секунды и градусы Цельсия), перевод в систему СИ (Кельвины) не требуется, так как в формуле используется разность температур.
Найти:
Время реакции 3 ($t_3$) — ?
Решение:
Для решения задачи используется правило Вант-Гоффа, которое устанавливает зависимость скорости химической реакции от температуры. Формула имеет вид:
$v_2 = v_1 \cdot \gamma^{\frac{T_2 - T_1}{10}}$
где $v_1$ и $v_2$ — скорости реакции при температурах $T_1$ и $T_2$ соответственно, а $\gamma$ — температурный коэффициент, показывающий, во сколько раз изменяется скорость реакции при изменении температуры на 10 °C.
Поскольку скорость реакции ($v$) обратно пропорциональна времени ($t$), в течение которого она протекает (при условии одинакового количества реагентов), то есть $v \propto \frac{1}{t}$, мы можем переписать соотношение для времени реакции:
$\frac{t_1}{t_2} = \gamma^{\frac{T_2 - T_1}{10}}$
Решение можно разделить на два этапа.
1. Определение температурного коэффициента ($\gamma$)
Используем данные для температур 18 °C и 38 °C.
$T_1 = 18$ °C, $t_1 = 90$ с
$T_2 = 38$ °C, $t_2 = 10$ с
Подставляем эти значения в формулу:
$\frac{90}{10} = \gamma^{\frac{38 - 18}{10}}$
$9 = \gamma^{\frac{20}{10}}$
$9 = \gamma^2$
Из этого уравнения находим значение $\gamma$:
$\gamma = \sqrt{9} = 3$
Таким образом, температурный коэффициент реакции равен 3. Это означает, что скорость реакции утраивается при повышении температуры на каждые 10 °C.
2. Расчет времени реакции при 48 °C
Теперь мы можем рассчитать искомое время $t_3$ при температуре $T_3 = 48$ °C. В качестве исходных данных возьмем значения для $T_2 = 38$ °C и $t_2 = 10$ с.
$\frac{t_2}{t_3} = \gamma^{\frac{T_3 - T_2}{10}}$
Подставляем известные значения:
$\frac{10}{t_3} = 3^{\frac{48 - 38}{10}}$
$\frac{10}{t_3} = 3^{\frac{10}{10}}$
$\frac{10}{t_3} = 3^1$
$\frac{10}{t_3} = 3$
Выражаем искомое время $t_3$:
$t_3 = \frac{10}{3} \approx 3,33$ с
Ответ: при температуре 48 °C данный образец карбоната кальция растворится за $\approx 3,33$ с.
Другие задания:
Помогло решение? Оставьте отзыв в комментариях ниже.
Присоединяйтесь к Телеграм-группе @top_gdz
ПрисоединитьсяМы подготовили для вас ответ c подробным объяснением домашего задания по химии за 9 класс, для упражнения номер 30 расположенного на странице 90 к сборнику задач и упражнений 2020 года издания для учащихся школ и гимназий.
Теперь на нашем сайте ГДЗ.ТОП вы всегда легко и бесплатно найдёте условие с правильным ответом на вопрос «Как решить ДЗ» и «Как сделать» задание по химии к упражнению №30 (с. 90), авторов: Габриелян (Олег Саргисович), Тригубчак (Инесса Васильевна), ФГОС (старый) учебного пособия издательства Просвещение.
 
                     
                     
                     
                     
                     
                     
                     
                     
                     
                     
                     
                     
                     
                     
                    