Номер 2.45, страница 49, часть 1 - гдз по математике 5 класс учебник Виленкин, Жохов

Авторы: Виленкин Н. Я., Жохов В. И., Чесноков А. С., Александрова Л. А., Шварцбурд С. И.
Тип: Учебник
Издательство: Просвещение
Год издания: 2023 - 2025
Уровень обучения: базовый
Часть: 1
Цвет обложки: белый, красный, синий с пазлами
Допущено Министерством просвещения Российской Федерации
Популярные ГДЗ в 5 классе
8. Действие сложения. Свойства сложения. § 2. Сложение и вычитание натуральных чисел. Глава 1. Натуральные числа. ч. 1 - номер 2.45, страница 49.
№2.45 (с. 49)
Условие. №2.45 (с. 49)
скриншот условия

2.45 Вычислите:
1) 44 - 14 • 6 : 28;
2) 2511 : 31 • 13 - 164;
3) (73 • 310 - 17 554) : 47;
4) (4515 : 43 + 145) • 84.
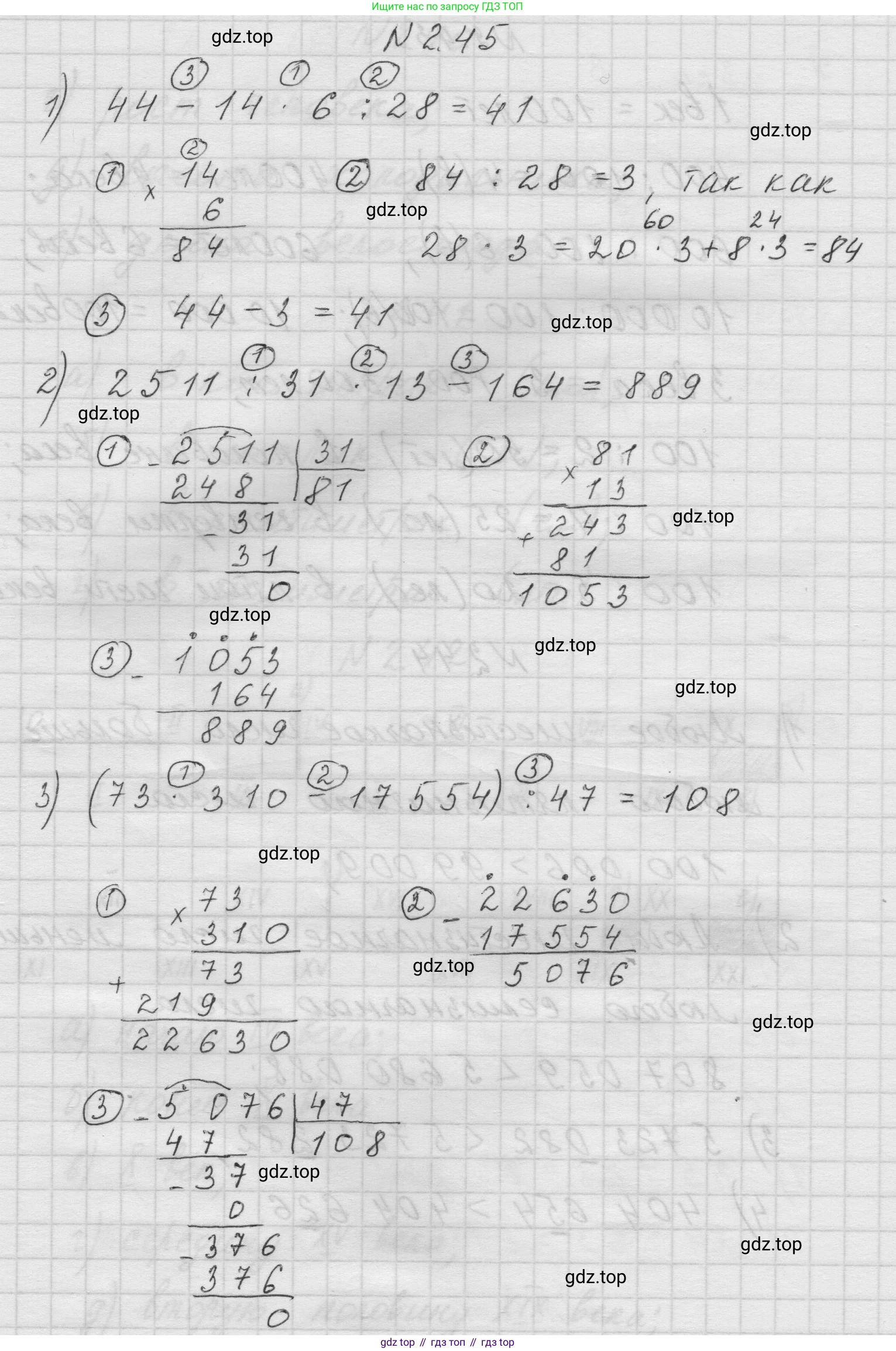
Решение 1. №2.45 (с. 49)

2) 84 : 28 = 3, так как
3) 44 - 3 = 41









Решение 2. №2.45 (с. 49)
1) Для решения примера $44 - 14 \cdot 6 : 28$ необходимо соблюдать порядок действий. Сначала выполняются умножение и деление в порядке их следования (слева направо), а затем вычитание.
Первое действие (умножение): $14 \cdot 6 = 84$.
Второе действие (деление): $84 : 28 = 3$.
Третье действие (вычитание): $44 - 3 = 41$.
Полная запись решения: $44 - 14 \cdot 6 : 28 = 44 - 84 : 28 = 44 - 3 = 41$.
Ответ: 41
2) В выражении $2511 : 31 \cdot 13 - 164$ сначала выполняем деление и умножение (слева направо), а в конце вычитание.
Первое действие (деление): $2511 : 31 = 81$.
Второе действие (умножение): $81 \cdot 13 = 1053$.
Третье действие (вычитание): $1053 - 164 = 889$.
Полная запись решения: $2511 : 31 \cdot 13 - 164 = 81 \cdot 13 - 164 = 1053 - 164 = 889$.
Ответ: 889
3) В выражении $(73 \cdot 310 - 17554) : 47$ сначала выполняются действия в скобках, а затем деление. В скобках в первую очередь выполняется умножение.
Первое действие (умножение в скобках): $73 \cdot 310 = 22630$.
Второе действие (вычитание в скобках): $22630 - 17554 = 5076$.
Третье действие (деление): $5076 : 47 = 108$.
Полная запись решения: $(73 \cdot 310 - 17554) : 47 = (22630 - 17554) : 47 = 5076 : 47 = 108$.
Ответ: 108
4) В выражении $(4515 : 43 + 145) \cdot 84$ сначала выполняются действия в скобках, а затем умножение. В скобках в первую очередь выполняется деление.
Первое действие (деление в скобках): $4515 : 43 = 105$.
Второе действие (сложение в скобках): $105 + 145 = 250$.
Третье действие (умножение): $250 \cdot 84 = 21000$.
Полная запись решения: $(4515 : 43 + 145) \cdot 84 = (105 + 145) \cdot 84 = 250 \cdot 84 = 21000$.
Ответ: 21000
Решение 3. №2.45 (с. 49)

Решение 4. №2.45 (с. 49)

Другие задания:
Помогло решение? Оставьте отзыв в комментариях ниже.
Мы подготовили для вас ответ c подробным объяснением домашего задания по математике за 5 класс, для упражнения номер 2.45 расположенного на странице 49 для 1-й части к учебнику 2023 года издания для учащихся школ и гимназий.
Теперь на нашем сайте ГДЗ.ТОП вы всегда легко и бесплатно найдёте условие с правильным ответом на вопрос «Как решить ДЗ» и «Как сделать» задание по математике к упражнению №2.45 (с. 49), авторов: Виленкин (Наум Яковлевич), Жохов (Владимир Иванович), Чесноков (Александр Семёнович), Александрова (Лилия Александровна), Шварцбурд (Семён Исаакович), 1-й части ФГОС (новый, красный) базовый уровень обучения учебного пособия издательства Просвещение.