Номер 5.219, страница 38, часть 2 - гдз по математике 5 класс учебник Виленкин, Жохов


Авторы: Виленкин Н. Я., Жохов В. И., Чесноков А. С., Александрова Л. А., Шварцбурд С. И.
Тип: Учебник
Издательство: Просвещение
Год издания: 2023 - 2025
Уровень обучения: базовый
Часть: 2
Цвет обложки: белый, красный, синий с пазлами
Допущено Министерством просвещения Российской Федерации
Популярные ГДЗ в 5 классе
30. Деление натуральных чисел и дроби. § 5. Обыкновенные дроби. Глава 2. Дробные числа. ч. 2 - номер 5.219, страница 38.
№5.219 (с. 38)
Условие. №5.219 (с. 38)
скриншот условия

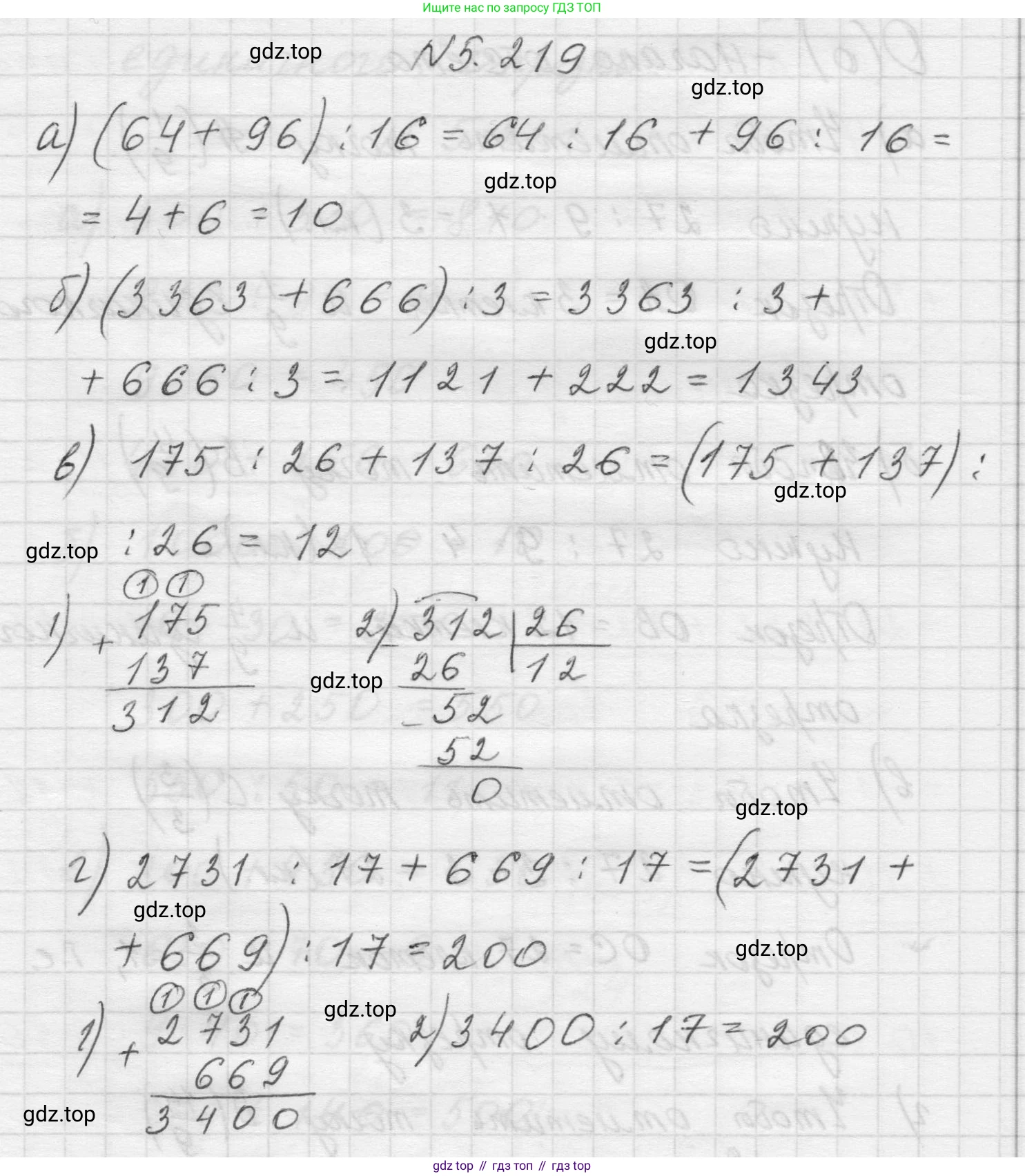
5.219 Применяя свойство деления суммы на число, вычислите значение выражения:
а) (64 + 96) : 16;
б) (3363 + 666) : 3;
в) 175 : 26 + 137 : 26;
г) 2731 : 17 + 669 : 17.
Решение 1. №5.219 (с. 38)
Решение 2. №5.219 (с. 38)
а) Для вычисления значения выражения $(64 + 96) : 16$ воспользуемся свойством деления суммы на число. Это свойство гласит, что для того чтобы разделить сумму на число, можно разделить каждое слагаемое на это число, а затем сложить полученные частные. Математически это записывается так: $(a + b) : c = a : c + b : c$.
Применим это правило к нашему выражению:
$(64 + 96) : 16 = 64 : 16 + 96 : 16$
Вычислим каждое деление по отдельности:
$64 : 16 = 4$
$96 : 16 = 6$
Теперь сложим полученные результаты:
$4 + 6 = 10$
Ответ: 10
б) Для выражения $(3363 + 666) : 3$ применим то же свойство деления суммы на число, что и в предыдущем пункте.
$(3363 + 666) : 3 = 3363 : 3 + 666 : 3$
Выполним деление для каждого слагаемого:
$3363 : 3 = 1121$
$666 : 3 = 222$
Сложим полученные значения:
$1121 + 222 = 1343$
Ответ: 1343
в) Выражение $175 : 26 + 137 : 26$ представляет собой сумму двух частных с одинаковым делителем. В этом случае удобно применить обратное свойство (вынесение общего делителя за скобки). Формула выглядит так: $a : c + b : c = (a + b) : c$.
Применим это правило:
$175 : 26 + 137 : 26 = (175 + 137) : 26$
Сначала найдем сумму чисел в скобках:
$175 + 137 = 312$
Затем разделим полученную сумму на 26:
$312 : 26 = 12$
Ответ: 12
г) Для вычисления значения выражения $2731 : 17 + 669 : 17$ также используем свойство сложения частных с одинаковым делителем.
$2731 : 17 + 669 : 17 = (2731 + 669) : 17$
Выполним сложение в скобках:
$2731 + 669 = 3400$
Теперь разделим результат на 17:
$3400 : 17 = 200$
Ответ: 200
Решение 3. №5.219 (с. 38)


Решение 4. №5.219 (с. 38)

Другие задания:
Помогло решение? Оставьте отзыв в комментариях ниже.
Мы подготовили для вас ответ c подробным объяснением домашего задания по математике за 5 класс, для упражнения номер 5.219 расположенного на странице 38 для 2-й части к учебнику 2023 года издания для учащихся школ и гимназий.
Теперь на нашем сайте ГДЗ.ТОП вы всегда легко и бесплатно найдёте условие с правильным ответом на вопрос «Как решить ДЗ» и «Как сделать» задание по математике к упражнению №5.219 (с. 38), авторов: Виленкин (Наум Яковлевич), Жохов (Владимир Иванович), Чесноков (Александр Семёнович), Александрова (Лилия Александровна), Шварцбурд (Семён Исаакович), 2-й части ФГОС (новый, красный) базовый уровень обучения учебного пособия издательства Просвещение.