Номер 125, страница 85, часть 1 - гдз по информатике 8 класс рабочая тетрадь Босова, Босова

Авторы: Босова Л. Л., Босова А. Ю.
Тип: рабочая тетрадь
Издательство: Просвещение
Год издания: 2023 - 2025
Уровень обучения: базовый
Часть: 1
Цвет обложки: синий, голубой с котом
ISBN: 978-5-09-104297-9 (2023)
Популярные ГДЗ в 8 классе
Задания к § 3.1. Алгоритмы и исполнители. Глава 3. Основы алгоритмизации. Часть 1 - номер 125, страница 85.
№125 (с. 85)
Условие. №125 (с. 85)
скриншот условия


125. Система команд исполнителя Вычислитель состоит из двух команд, которым присвоены номера:
1) прибавь 2
2) умножь на 3
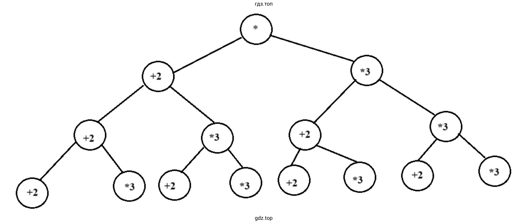
а) Сколько разных алгоритмов, состоящих из трёх команд, можно составить для Вычислителя? Для ответа на вопрос постройте дерево.
б) Какие числа получатся, если эти алгоритмы применить к исходному числу 2?
в) Составьте для Вычислителя алгоритм получения из числа 2 числа 30, содержащий не более 4 команд.
г) Составьте для Вычислителя алгоритм получения из числа 2 числа 50, содержащий не более 6 команд.
Решение. №125 (с. 85)
скриншот решения


а)

Можно составить 8 разных алгоритмов: 111, 112, 121, 122, 211, 212, 221, 222.
б)
111 | 2+2+2+2 | 8 |
112 | (2+2+2)*3 | 18 |
121 | (2+2)*3+2 | 15 |
122 | (2+2)*3*3 | 36 |
211 | 2*3+2+2 | 10 |
212 | (2*3+2)*3 | 24 |
221 | 2*3*3+2 | 20 |
222 | 2*3*3*3 | 54 |
в) Программа: 2112; (2*3+2+2)*3=30.
г) Программа: 121121; ((2+2)*3+2+2)*3+2=50.
Другие задания:
Помогло решение? Оставьте отзыв в комментариях ниже.
Присоединяйтесь к Телеграм-группе @top_gdz
ПрисоединитьсяМы подготовили для вас ответ c подробным объяснением домашего задания по информатике за 8 класс, для упражнения номер 125 расположенного на странице 85 для 1-й части к рабочей тетради 2023 года издания для учащихся школ и гимназий.
Теперь на нашем сайте ГДЗ.ТОП вы всегда легко и бесплатно найдёте условие с правильным ответом на вопрос «Как решить ДЗ» и «Как сделать» задание по информатике к упражнению №125 (с. 85), авторов: Босова (Людмила Леонидовна), Босова (Анна Юрьевна), 1-й части ФГОС (новый, красный) базовый уровень обучения учебного пособия издательства Просвещение.