Номер 11, страница 319 - гдз по химии 11 класс учебник Еремин, Кузьменко

Авторы: Еремин В. В., Кузьменко Н. Е., Дроздов А. А., Лунин В. В.
Тип: Учебник
Издательство: Просвещение
Год издания: 2023 - 2025
Уровень обучения: углублённый
Цвет обложки: белый, зелёный с кораллом
Допущено Министерством просвещения Российской Федерации
Популярные ГДЗ в 11 классе
Параграф 67. Химическое равновесие в растворах. Глава 6. Теоретическое описание химических реакций - номер 11, страница 319.
№11 (с. 319)
Условие. №11 (с. 319)
скриншот условия

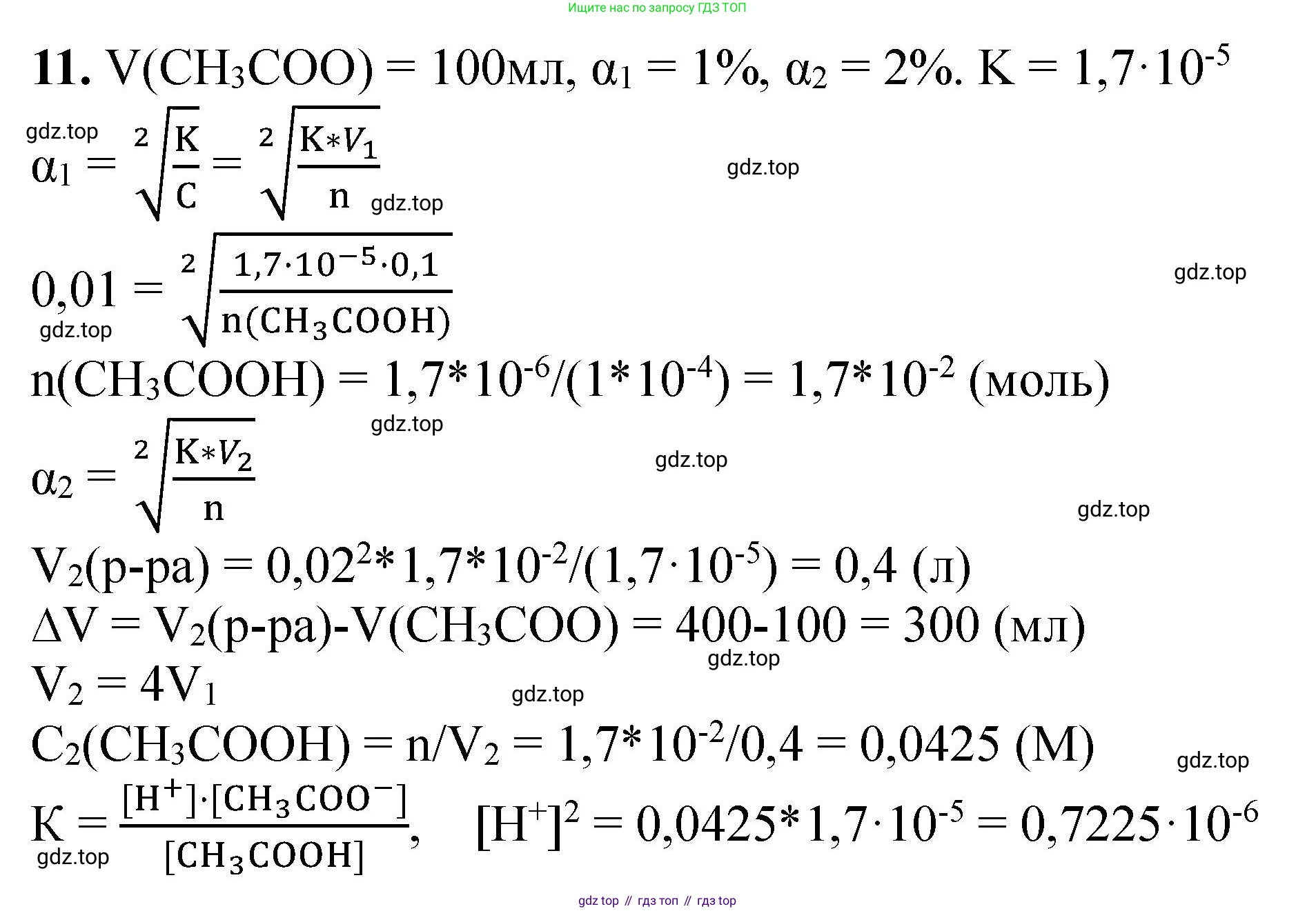
11. Какой объём воды необходимо добавить к 100 мл раствора уксусной кислоты, чтобы степень диссоциации кислоты увеличилась с 1 до 2%? На сколько при этом изменится значение $pH$ раствора?
Решение. №11 (с. 319)


Решение 2. №11 (с. 319)
Дано:
Начальный объем раствора, $V_1 = 100$ мл
Начальная степень диссоциации, $\alpha_1 = 1\% = 0.01$
Конечная степень диссоциации, $\alpha_2 = 2\% = 0.02$
Перевод в систему СИ:
$V_1 = 100 \cdot 10^{-6} м^3 = 1 \cdot 10^{-4} м^3$
Найти:
$V_{воды}$ - объем добавленной воды
$\Delta pH$ - изменение pH раствора
Решение:
Какой объём воды необходимо добавить к 100 мл раствора уксусной кислоты, чтобы степень диссоциации кислоты увеличилась с 1 до 2%?
Уксусная кислота ($CH_3COOH$) — это слабая кислота, которая диссоциирует в водном растворе по следующему равновесию: $CH_3COOH \rightleftharpoons H^+ + CH_3COO^-$
Для слабых электролитов справедлив закон разбавления Оствальда. Если степень диссоциации $\alpha$ мала ($\alpha \ll 1$), то константу диссоциации $K_a$ можно выразить упрощенной формулой: $K_a \approx C \cdot \alpha^2$ где $C$ — молярная концентрация кислоты.
При добавлении воды (разбавлении раствора) количество растворенного вещества (уксусной кислоты) не изменяется, и при постоянной температуре константа диссоциации $K_a$ также остается неизменной. Запишем выражения для начального (индекс 1) и конечного (индекс 2) состояний раствора: $K_a = C_1 \cdot \alpha_1^2$ $K_a = C_2 \cdot \alpha_2^2$
Приравнивая правые части уравнений, получаем: $C_1 \cdot \alpha_1^2 = C_2 \cdot \alpha_2^2$
Отсюда можно выразить соотношение концентраций: $\frac{C_1}{C_2} = \frac{\alpha_2^2}{\alpha_1^2} = (\frac{\alpha_2}{\alpha_1})^2$
Молярная концентрация $C$ связана с количеством вещества $n$ и объемом раствора $V$ как $C = \frac{n}{V}$. Поскольку количество кислоты $n$ при разбавлении не меняется, соотношение концентраций обратно пропорционально соотношению объемов: $\frac{C_1}{C_2} = \frac{n/V_1}{n/V_2} = \frac{V_2}{V_1}$
Теперь мы можем связать изменение объема с изменением степени диссоциации: $\frac{V_2}{V_1} = (\frac{\alpha_2}{\alpha_1})^2$
Подставим известные значения, чтобы найти конечный объем $V_2$: $V_2 = V_1 \cdot (\frac{\alpha_2}{\alpha_1})^2 = 100 \text{ мл} \cdot (\frac{0.02}{0.01})^2 = 100 \text{ мл} \cdot 2^2 = 100 \text{ мл} \cdot 4 = 400 \text{ мл}$
Объем добавленной воды $V_{воды}$ — это разность между конечным и начальным объемами: $V_{воды} = V_2 - V_1 = 400 \text{ мл} - 100 \text{ мл} = 300 \text{ мл}$
Ответ: необходимо добавить 300 мл воды.
На сколько при этом изменится значение pH раствора?
Водородный показатель pH вычисляется по формуле: $pH = -log[H^+]$ где $[H^+]$ — концентрация ионов водорода.
Для слабой кислоты концентрация ионов водорода равна произведению общей концентрации кислоты $C$ на степень ее диссоциации $\alpha$: $[H^+] = C \cdot \alpha$
Найдем изменение pH, $\Delta pH$, как разность между конечным ($pH_2$) и начальным ($pH_1$) значениями: $\Delta pH = pH_2 - pH_1 = (-log(C_2 \cdot \alpha_2)) - (-log(C_1 \cdot \alpha_1)) = log(C_1 \cdot \alpha_1) - log(C_2 \cdot \alpha_2)$
Используя свойство логарифмов ($log(a) - log(b) = log(a/b)$), преобразуем выражение: $\Delta pH = log(\frac{C_1 \cdot \alpha_1}{C_2 \cdot \alpha_2}) = log(\frac{C_1}{C_2} \cdot \frac{\alpha_1}{\alpha_2})$
Из первой части решения мы знаем, что $\frac{C_1}{C_2} = (\frac{\alpha_2}{\alpha_1})^2$. Подставим это соотношение: $\Delta pH = log((\frac{\alpha_2}{\alpha_1})^2 \cdot \frac{\alpha_1}{\alpha_2}) = log(\frac{\alpha_2^2 \cdot \alpha_1}{\alpha_1^2 \cdot \alpha_2}) = log(\frac{\alpha_2}{\alpha_1})$
Теперь подставим числовые значения степеней диссоциации: $\Delta pH = log(\frac{0.02}{0.01}) = log(2)$
$log(2) \approx 0.301$
Положительное значение $\Delta pH$ означает, что кислотность раствора уменьшилась, а значение pH увеличилось.
Ответ: значение pH увеличится примерно на 0.3.
Другие задания:
Помогло решение? Оставьте отзыв в комментариях ниже.
Присоединяйтесь к Телеграм-группе @top_gdz
ПрисоединитьсяМы подготовили для вас ответ c подробным объяснением домашего задания по химии за 11 класс, для упражнения номер 11 расположенного на странице 319 к учебнику 2023 года издания для учащихся школ и гимназий.
Теперь на нашем сайте ГДЗ.ТОП вы всегда легко и бесплатно найдёте условие с правильным ответом на вопрос «Как решить ДЗ» и «Как сделать» задание по химии к упражнению №11 (с. 319), авторов: Еремин (Вадим Владимирович), Кузьменко (Николай Егорович), Дроздов (Андрей Анатольевич), Лунин (Валерий Васильевич), ФГОС (старый) углублённый уровень обучения учебного пособия издательства Просвещение.