Номер 1.192, страница 36, часть 1 - гдз по математике 5 класс учебник Виленкин, Жохов

Авторы: Виленкин Н. Я., Жохов В. И., Чесноков А. С., Александрова Л. А., Шварцбурд С. И.
Тип: Учебник
Издательство: Просвещение
Год издания: 2023 - 2025
Уровень обучения: базовый
Часть: 1
Цвет обложки: белый, красный, синий с пазлами
Допущено Министерством просвещения Российской Федерации
Популярные ГДЗ в 5 классе
6. Сравнение натуральных чисел. § 1. Натуральные числа и нуль. Шкалы. Глава 1. Натуральные числа. ч. 1 - номер 1.192, страница 36.
№1.192 (с. 36)
Условие. №1.192 (с. 36)
скриншот условия

1.192 Запишите координаты точек В, С, Е и F на рисунке 1.39.

Решение 1. №1.192 (с. 36)
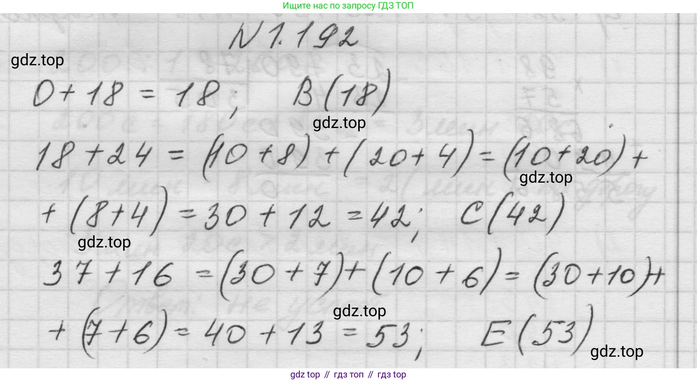
0 + 18 = 18; В(18)
18 + 24 = (10 + 8) + (20 + 4) = (10 + 20) + (8 + 4) = 30 + 12 = 42; С(42)
37 + 16 = (30 + 7) + (10 + 6) = (30 + 10) + (7 + 6) = 40 + 13 = 53; Е(53)
53 + 21 = (50 + 3) + (20 + 1) = (50 + 20) + (3 + 1) = 70 + 4 = 74; F(74)
Решение 2. №1.192 (с. 36)
B: Чтобы найти координату точки B, необходимо к координате начальной точки O прибавить число 18. Координата точки O равна 0. Выполним сложение:
$0 + 18 = 18$
Таким образом, координата точки B равна 18.
Ответ: B(18)
C: Чтобы найти координату точки C, необходимо к координате точки B прибавить число 24. Мы уже определили, что координата точки B равна 18. Выполним сложение:
$18 + 24 = 42$
Таким образом, координата точки C равна 42.
Ответ: C(42)
E: Чтобы найти координату точки E, необходимо к координате начальной точки D прибавить число 16. Координата точки D равна 37. Выполним сложение:
$37 + 16 = 53$
Таким образом, координата точки E равна 53.
Ответ: E(53)
F: Чтобы найти координату точки F, необходимо к координате точки E прибавить число 21. Мы уже определили, что координата точки E равна 53. Выполним сложение:
$53 + 21 = 74$
Таким образом, координата точки F равна 74.
Ответ: F(74)
Решение 3. №1.192 (с. 36)

Решение 4. №1.192 (с. 36)

Другие задания:
Помогло решение? Оставьте отзыв в комментариях ниже.
Мы подготовили для вас ответ c подробным объяснением домашего задания по математике за 5 класс, для упражнения номер 1.192 расположенного на странице 36 для 1-й части к учебнику 2023 года издания для учащихся школ и гимназий.
Теперь на нашем сайте ГДЗ.ТОП вы всегда легко и бесплатно найдёте условие с правильным ответом на вопрос «Как решить ДЗ» и «Как сделать» задание по математике к упражнению №1.192 (с. 36), авторов: Виленкин (Наум Яковлевич), Жохов (Владимир Иванович), Чесноков (Александр Семёнович), Александрова (Лилия Александровна), Шварцбурд (Семён Исаакович), 1-й части ФГОС (новый, красный) базовый уровень обучения учебного пособия издательства Просвещение.