Номер 2.176, страница 66, часть 1 - гдз по математике 5 класс учебник Виленкин, Жохов

Авторы: Виленкин Н. Я., Жохов В. И., Чесноков А. С., Александрова Л. А., Шварцбурд С. И.
Тип: Учебник
Издательство: Просвещение
Год издания: 2023 - 2025
Уровень обучения: базовый
Часть: 1
Цвет обложки: белый, красный, синий с пазлами
Допущено Министерством просвещения Российской Федерации
Популярные ГДЗ в 5 классе
10. Числовые и буквенные выражения. § 2. Сложение и вычитание натуральных чисел. Глава 1. Натуральные числа. ч. 1 - номер 2.176, страница 66.
№2.176 (с. 66)
Условие. №2.176 (с. 66)
скриншот условия

2.176 а) На дачном участке площадь сада составляет 400 квадратных метров, площадь огорода — 500 квадратных метров, площадь, отведённая под строительство дома, — a квадратных метров, а остальную площадь занимают дорожки и газон. Какую площадь занимают дорожки и газон, если общая площадь участка 1200 квадратных метров? Составьте выражение для решения задачи и найдите его значение, если a = 100; a = 64.
б) На ярмарку выходного дня фермер привёз 108 кг клубники. В первый день он продал 48 кг клубники, а во второй день — на y кг больше. Сколько килограммов клубники остались непроданными?
Составьте выражение для решения задачи и найдите его значение, если y = 8; y = 12; y = 20. При каком значении y задача не имеет решения?
Решение 1. №2.176 (с. 66)

1200 - (400 + 500 + а) = 1200 - (900 + а) = (1200 - 900) - а = (300 - а) кв.м – дорожки и газом
при а = 100; 300 - 100 = 200 кв.м
при а = 64; 300 - 64 = (200 + 100) - 64 = 200 + (100 - 64) = 200 + 36 = 236 кв.м
Ответ: (300 - а) кв.м; 200 кв.м; 236 кв.м.

(48 + у) кг – продал II день
(48 + (48 + у)) кг – продал за два дня
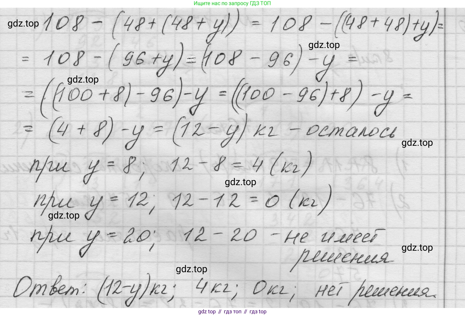
108 - (48 + (48 + н)) = 108 - ((48 + 48) + у) = 108 - (96 + у) = (108 - 96) - у = ((108 + 8) - 96) - у = ((100 - 96) + 8) - у = (4 + 8) - у = (12 - у) кг – осталось
при у = 8; 12 - 8 = 4 (кг)
при у = 12; 12 - 12 = 0 (кг)
при у = 20; 12 - 20 – не имеет решения
Ответ: (12 - у) кг; 4 кг; 0 кг; нет решения/
Решение 2. №2.176 (с. 66)
а) Чтобы найти площадь, которую занимают дорожки и газон, нужно из общей площади участка вычесть сумму площадей, занятых садом, огородом и домом. Общая площадь участка составляет 1200 кв. м., площадь сада — 400 кв. м., площадь огорода — 500 кв. м., а площадь под домом — $a$ кв. м.
Составим выражение для площади дорожек и газона:
$1200 - (400 + 500 + a)$
Упростим это выражение, сначала выполнив сложение в скобках:
$1200 - (900 + a) = 1200 - 900 - a = 300 - a$
Итак, выражение для решения задачи: $300 - a$.
Теперь найдём значение этого выражения для данных значений $a$.
Если $a = 100$, то площадь дорожек и газона равна:
$300 - 100 = 200$ (кв. м.)
Если $a = 64$, то площадь дорожек и газона равна:
$300 - 64 = 236$ (кв. м.)
Ответ: выражение для решения задачи $300 - a$; при $a = 100$ площадь равна 200 кв. м., при $a = 64$ площадь равна 236 кв. м.
б) Фермер привёз 108 кг клубники. В первый день он продал 48 кг. Во второй день он продал на $y$ кг больше, чем в первый, то есть $48 + y$ кг. Чтобы найти, сколько килограммов клубники осталось, нужно из общего количества привезённой клубники вычесть общее количество проданной за два дня.
Составим выражение для количества оставшейся клубники:
$108 - (48 + (48 + y))$
Упростим это выражение:
$108 - (96 + y) = 108 - 96 - y = 12 - y$
Итак, выражение для решения задачи: $12 - y$.
Теперь найдём значение этого выражения для данных значений $y$.
Если $y = 8$, то осталось:
$12 - 8 = 4$ (кг)
Если $y = 12$, то осталось:
$12 - 12 = 0$ (кг)
Если $y = 20$, то значение выражения будет:
$12 - 20 = нет решения
Ответ: выражение для решения задачи $12 - y$; при $y = 8$ осталось 4 кг; при $y = 12$ осталось 0 кг; при $y = 20$ задача не имеет решения.
Решение 3. №2.176 (с. 66)

Решение 4. №2.176 (с. 66)

Другие задания:
Помогло решение? Оставьте отзыв в комментариях ниже.
Мы подготовили для вас ответ c подробным объяснением домашего задания по математике за 5 класс, для упражнения номер 2.176 расположенного на странице 66 для 1-й части к учебнику 2023 года издания для учащихся школ и гимназий.
Теперь на нашем сайте ГДЗ.ТОП вы всегда легко и бесплатно найдёте условие с правильным ответом на вопрос «Как решить ДЗ» и «Как сделать» задание по математике к упражнению №2.176 (с. 66), авторов: Виленкин (Наум Яковлевич), Жохов (Владимир Иванович), Чесноков (Александр Семёнович), Александрова (Лилия Александровна), Шварцбурд (Семён Исаакович), 1-й части ФГОС (новый, красный) базовый уровень обучения учебного пособия издательства Просвещение.