Номер 2.197, страница 68, часть 1 - гдз по математике 5 класс учебник Виленкин, Жохов

Авторы: Виленкин Н. Я., Жохов В. И., Чесноков А. С., Александрова Л. А., Шварцбурд С. И.
Тип: Учебник
Издательство: Просвещение
Год издания: 2023 - 2025
Уровень обучения: базовый
Часть: 1
Цвет обложки: белый, красный, синий с пазлами
Допущено Министерством просвещения Российской Федерации
Популярные ГДЗ в 5 классе
10. Числовые и буквенные выражения. § 2. Сложение и вычитание натуральных чисел. Глава 1. Натуральные числа. ч. 1 - номер 2.197, страница 68.
№2.197 (с. 68)
Условие. №2.197 (с. 68)
скриншот условия

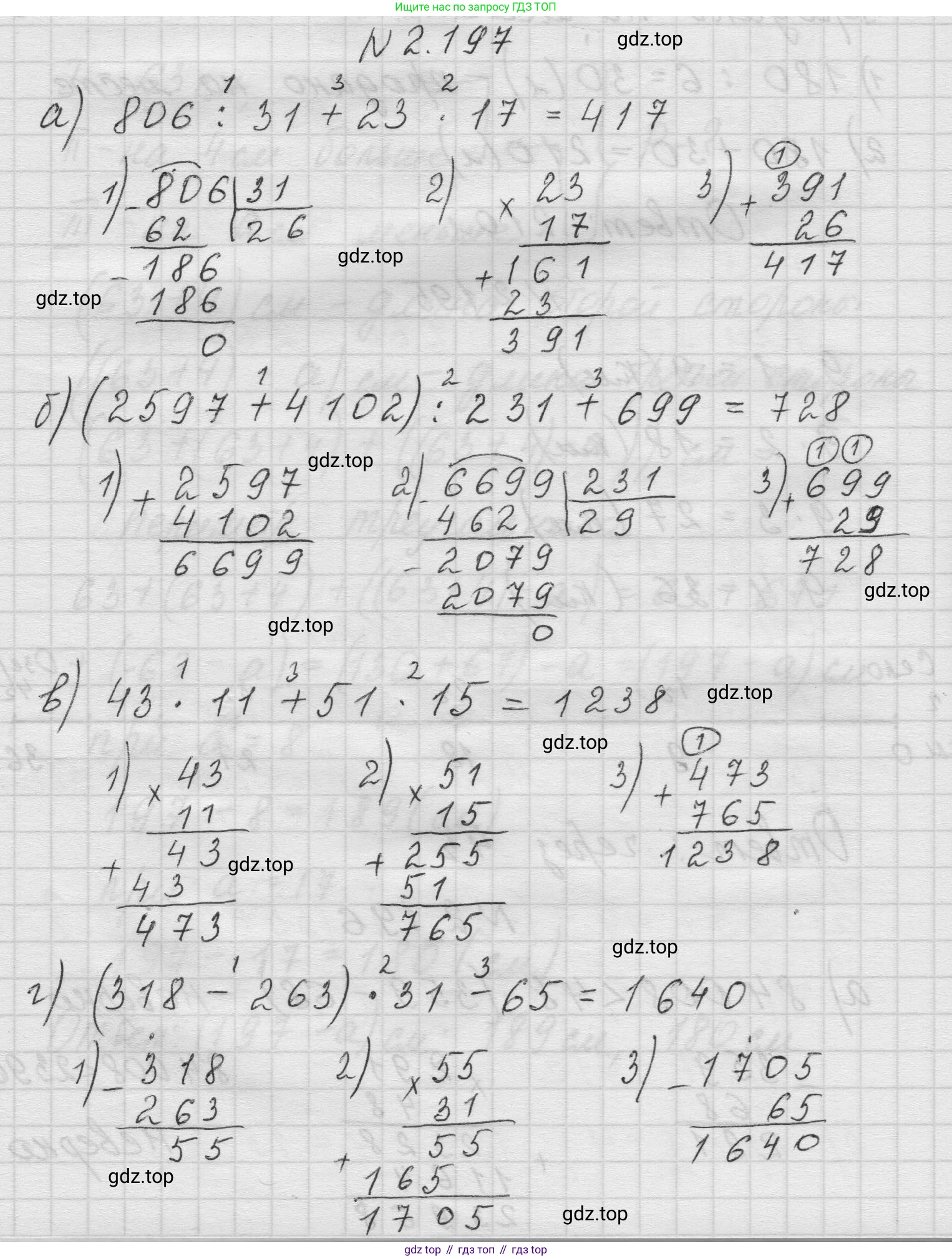
2.197 Вычислите:
а) 806 : 31 + 23 • 17;
б) (2597 + 4102) : 231 + 699;
в) 43 • 11 + 51 • 15;
г) (318 - 263) • 31 - 65.
Решение 1. №2.197 (с. 68)












Решение 2. №2.197 (с. 68)
а)
Для вычисления значения выражения $806 : 31 + 23 \cdot 17$ необходимо соблюдать порядок действий. Сначала выполняются умножение и деление (слева направо), а затем сложение.
- Выполним деление: $806 : 31 = 26$.
- Выполним умножение: $23 \cdot 17 = 391$.
- Выполним сложение результатов: $26 + 391 = 417$.
Ответ: 417
б)
Для вычисления значения выражения $(2597 + 4102) : 231 + 699$ сначала выполняем действие в скобках, затем деление и в конце сложение.
- Выполним сложение в скобках: $2597 + 4102 = 6699$.
- Выполним деление: $6699 : 231 = 29$.
- Выполним сложение: $29 + 699 = 728$.
Ответ: 728
в)
Для вычисления значения выражения $43 \cdot 11 + 51 \cdot 15$ сначала выполняются операции умножения, а затем их результаты складываются.
- Выполним первое умножение: $43 \cdot 11 = 473$.
- Выполним второе умножение: $51 \cdot 15 = 765$.
- Выполним сложение результатов: $473 + 765 = 1238$.
Ответ: 1238
г)
Для вычисления значения выражения $(318 - 263) \cdot 31 - 65$ сначала выполняем действие в скобках, затем умножение и в конце вычитание.
- Выполним вычитание в скобках: $318 - 263 = 55$.
- Выполним умножение: $55 \cdot 31 = 1705$.
- Выполним вычитание: $1705 - 65 = 1640$.
Ответ: 1640
Решение 3. №2.197 (с. 68)


Решение 4. №2.197 (с. 68)


Другие задания:
Помогло решение? Оставьте отзыв в комментариях ниже.
Мы подготовили для вас ответ c подробным объяснением домашего задания по математике за 5 класс, для упражнения номер 2.197 расположенного на странице 68 для 1-й части к учебнику 2023 года издания для учащихся школ и гимназий.
Теперь на нашем сайте ГДЗ.ТОП вы всегда легко и бесплатно найдёте условие с правильным ответом на вопрос «Как решить ДЗ» и «Как сделать» задание по математике к упражнению №2.197 (с. 68), авторов: Виленкин (Наум Яковлевич), Жохов (Владимир Иванович), Чесноков (Александр Семёнович), Александрова (Лилия Александровна), Шварцбурд (Семён Исаакович), 1-й части ФГОС (новый, красный) базовый уровень обучения учебного пособия издательства Просвещение.