Номер 1, страница 68, часть 1 - гдз по математике 5 класс учебник Виленкин, Жохов

Авторы: Виленкин Н. Я., Жохов В. И., Чесноков А. С., Александрова Л. А., Шварцбурд С. И.
Тип: Учебник
Издательство: Просвещение
Год издания: 2023 - 2025
Уровень обучения: базовый
Часть: 1
Цвет обложки: белый, красный, синий с пазлами
Допущено Министерством просвещения Российской Федерации
Популярные ГДЗ в 5 классе
Проверочная работа Nº1. Проверьте себя. § 2. Сложение и вычитание натуральных чисел. Глава 1. Натуральные числа. ч. 1 - номер 1, страница 68.
№1 (с. 68)
Условие. №1 (с. 68)
скриншот условия

1 Составьте выражение для вычисления периметра Р треугольника АВС. Найдите недостающие значения в таблице:
АВ | ВС | СD | Р |
2 см | 3 см | 4 см | |
4 дм | 50 см | 12 дм | |
15 см | 10 см | 2 дм 1 см | |
4 м | 45 дм | 14 м 5 дм |
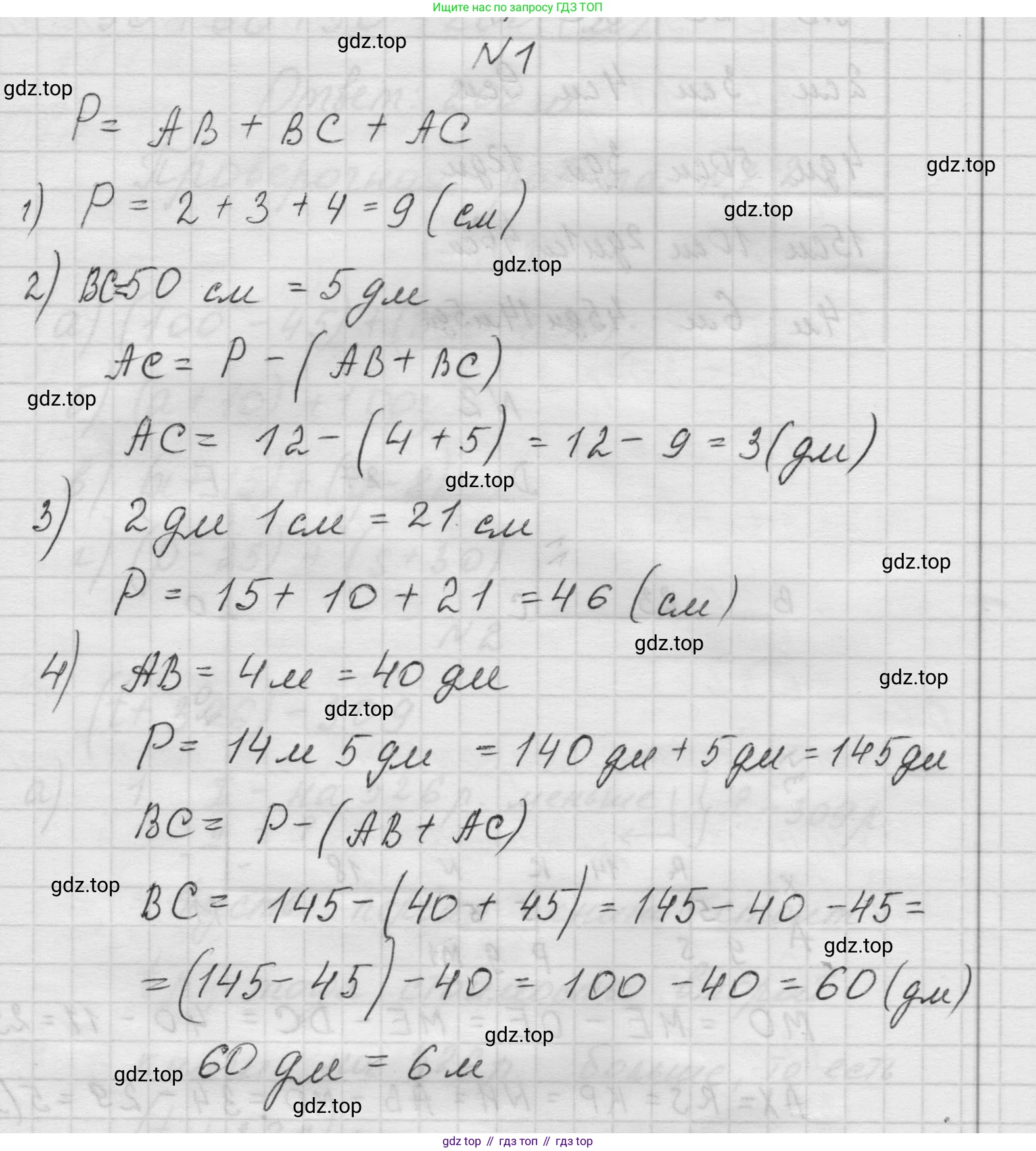
Решение 1. №1 (с. 68)
Р = АВ + ВС + АС
1) Р = 2 + 3 + 4 = 9 (см).
АС = Р - (АВ + ВС);
АС = 12 - (4 + 5) = 12 - 9 = 3 (дм).
Р = 12 + 10 + 21 = 46 (см).
Р = 14 м 5 дм = 140 дм + 5 дм = 145 (дм);
ВС = Р - (АВ + АС);
ВС = 145 - (40 + 45) = 145 - 40 - 45 = (145 - 45) - 40 = 100 - 40 = 60 (дм);
60 дм = 6 м.
АВ | ВС | АС | Р |
2 см | 3 см | 4 см | 9 см |
4 дм | 50 см | 3 дм | 12 дм |
15 см | 10 см | 2 дм 1 см | 46 см |
4 м | 6 м | 45 дм | 14 м 5 дм |
Решение 2. №1 (с. 68)
Выражение для вычисления периметра P треугольника ABC
Периметр $P$ треугольника — это сумма длин всех его сторон. Для треугольника $ABC$ его сторонами являются $AB$, $BC$ и $AC$. Таким образом, выражение для вычисления его периметра будет:
$P = AB + BC + AC$
Примечание: В предоставленной таблице третья сторона обозначена как $CD$, что является нетипичным для треугольника $ABC$. Для выполнения расчетов по таблице мы будем считать, что $CD$ — это длина третьей стороны треугольника.
Ответ: Выражение для вычисления периметра треугольника $ABC$: $P = AB + BC + AC$.
Нахождение недостающих значений в таблице
Расчет для первой строки
Даны стороны: $AB = 2$ см, $BC = 3$ см, $CD = 4$ см. Необходимо найти периметр $P$.
Решение: Так как все величины даны в одних единицах измерения, просто складываем их длины.
$P = 2 \text{ см} + 3 \text{ см} + 4 \text{ см} = 9 \text{ см}$
Ответ: 9 см.
Расчет для второй строки
Даны: $AB = 4$ дм, $BC = 50$ см, периметр $P = 12$ дм. Необходимо найти длину стороны $CD$.
Решение: Сначала приведем все значения к одной единице измерения, например, к дециметрам (дм). Учитывая, что $1$ дм $= 10$ см, получаем $BC = 50 \text{ см} = 5 \text{ дм}$.
Теперь найдем $CD$ из формулы периметра: $CD = P - AB - BC$.
$CD = 12 \text{ дм} - 4 \text{ дм} - 5 \text{ дм} = 3 \text{ дм}$
Ответ: 3 дм.
Расчет для третьей строки
Даны стороны: $AB = 15$ см, $BC = 10$ см, $CD = 2$ дм $1$ см. Необходимо найти периметр $P$.
Решение: Приведем все значения к сантиметрам (см). Учитывая, что $1$ дм $= 10$ см, получаем $CD = 2 \text{ дм } 1 \text{ см} = (2 \cdot 10 + 1) \text{ см} = 21 \text{ см}$.
Теперь найдем периметр $P$, сложив длины всех сторон.
$P = 15 \text{ см} + 10 \text{ см} + 21 \text{ см} = 46 \text{ см}$
Ответ: 46 см.
Расчет для четвертой строки
Даны: $AB = 4$ м, $CD = 45$ дм, периметр $P = 14$ м $5$ дм. Необходимо найти длину стороны $BC$.
Решение: Приведем все значения к дециметрам (дм). Учитывая, что $1$ м $= 10$ дм, получаем:
$AB = 4 \text{ м} = 40 \text{ дм}$
$P = 14 \text{ м } 5 \text{ дм} = (14 \cdot 10 + 5) \text{ дм} = 145 \text{ дм}$
Теперь найдем $BC$ из формулы периметра: $BC = P - AB - CD$.
$BC = 145 \text{ дм} - 40 \text{ дм} - 45 \text{ дм} = 145 \text{ дм} - 85 \text{ дм} = 60 \text{ дм}$
Это значение также можно записать как $6$ м.
Ответ: 60 дм.
Решение 3. №1 (с. 68)

Решение 4. №1 (с. 68)

Другие задания:
Помогло решение? Оставьте отзыв в комментариях ниже.
Мы подготовили для вас ответ c подробным объяснением домашего задания по математике за 5 класс, для упражнения номер 1 расположенного на странице 68 для 1-й части к учебнику 2023 года издания для учащихся школ и гимназий.
Теперь на нашем сайте ГДЗ.ТОП вы всегда легко и бесплатно найдёте условие с правильным ответом на вопрос «Как решить ДЗ» и «Как сделать» задание по математике к упражнению №1 (с. 68), авторов: Виленкин (Наум Яковлевич), Жохов (Владимир Иванович), Чесноков (Александр Семёнович), Александрова (Лилия Александровна), Шварцбурд (Семён Исаакович), 1-й части ФГОС (новый, красный) базовый уровень обучения учебного пособия издательства Просвещение.