Номер 2.225, страница 74, часть 1 - гдз по математике 5 класс учебник Виленкин, Жохов

Авторы: Виленкин Н. Я., Жохов В. И., Чесноков А. С., Александрова Л. А., Шварцбурд С. И.
Тип: Учебник
Издательство: Просвещение
Год издания: 2023 - 2025
Уровень обучения: базовый
Часть: 1
Цвет обложки: белый, красный, синий с пазлами
Допущено Министерством просвещения Российской Федерации
Популярные ГДЗ в 5 классе
11. Уравнение. § 2. Сложение и вычитание натуральных чисел. Глава 1. Натуральные числа. ч. 1 - номер 2.225, страница 74.
№2.225 (с. 74)
Условие. №2.225 (с. 74)
скриншот условия

2.225 Упростите выражение и найдите его значение:
a) (z + 279) - 99 при z = 56; 75;
б) (981 + c) - 439 при c = 45; 87;
в) (465 - x) - 265 при x = 34; 98;
г) 1038 - (38 + n) при n = 78; 0.
Решение 1. №2.225 (с. 74)
а) (z + 279) - 99 = z + (279 - 99) = z + (279 - (79 + 20)) = z + ((279 - 79) - 20) = z + (200 - 20) = z + 180
при z = 56; 180 + 56 = 180 + (20 + 36) = (180 + 20) + 36 = 200 + 36 = 236.
при z = 75; 180 + 75 = 180 + (20 + 55) = (180 + 20) + 55 = 200 + 55 = 255.
б) (981 + c) - 439 = (981 - 439) + c = 542 + c

при c = 45; 542 + 45 = 587
при c = 87; 542 + 87 = 629

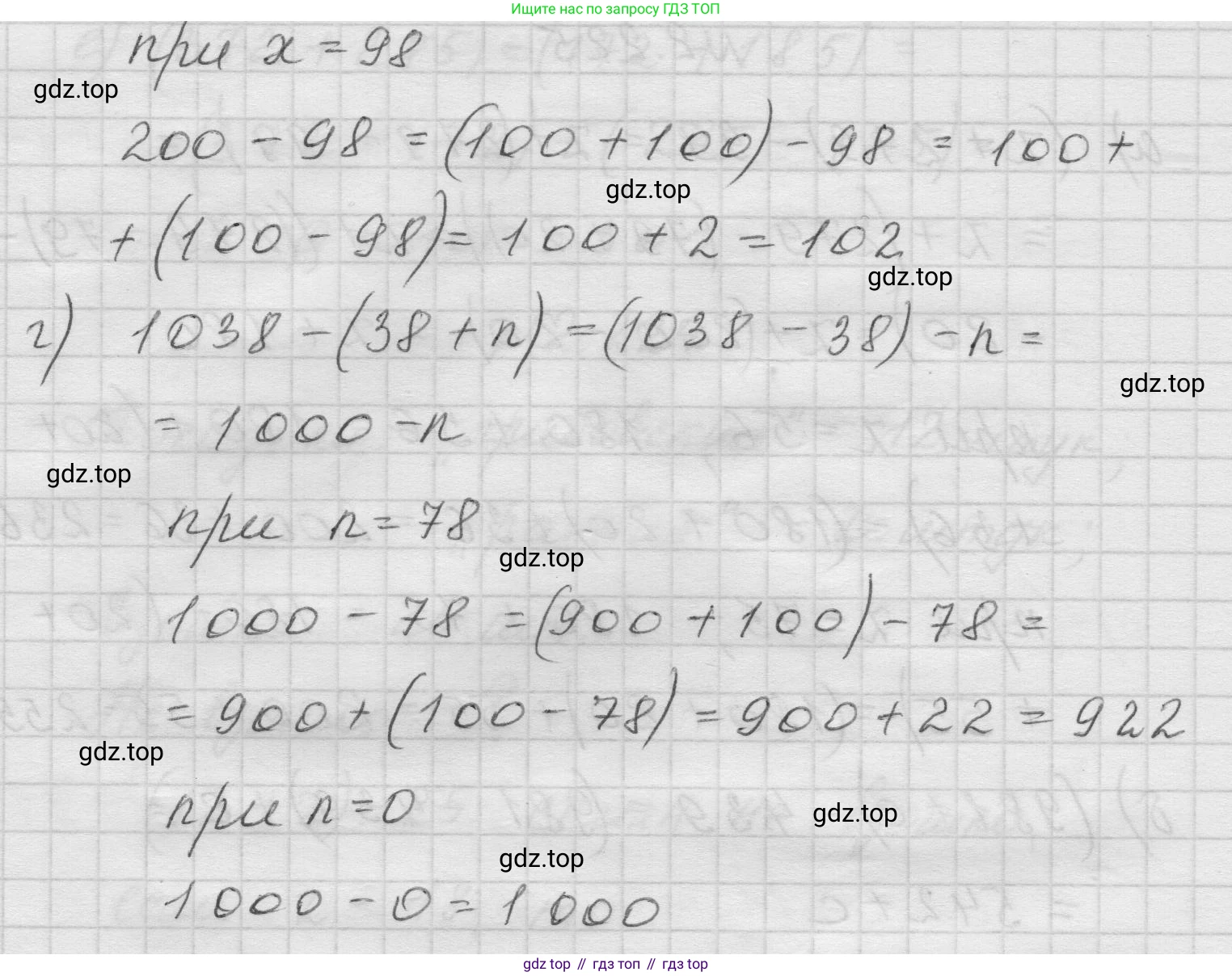
в) (465 - x) - 265 = (465 - 265) - x = 200 - x
при x = 34; 200 - 34 = (100 + 100) - 34 = 100 + (100 - 34) = 100 + 66 = 166;
при x = 98; 200 - 98 = (100 + 100) - 98 = 100 + (100 - 98) = 100 + 2 = 102.
г) 1038 - (38 + n) = (1038 - 38) - n = 1000 - n
при n = 78; 1000 - 78 = (900 + 100) - 78 = 900 + (100 - 78) = 900 + 22 = 922.
при n = 0; 1000 - 0 = 1000.
Решение 2. №2.225 (с. 74)
а) Сначала упростим выражение. Для этого используем сочетательное свойство сложения, чтобы изменить порядок действий:
$(z + 279) - 99 = z + (279 - 99) = z + 180$.
Теперь подставим в упрощенное выражение значения переменной $z$ и найдем результат.
При $z = 56$: $56 + 180 = 236$.
При $z = 75$: $75 + 180 = 255$.
Ответ: 236; 255.
б) Сначала упростим выражение, применив сочетательное свойство сложения и вычитания:
$(981 + c) - 439 = (981 - 439) + c = 542 + c$.
Теперь подставим в упрощенное выражение значения переменной $c$ и найдем результат.
При $c = 45$: $542 + 45 = 587$.
При $c = 87$: $542 + 87 = 629$.
Ответ: 587; 629.
в) Сначала упростим выражение, используя свойство вычитания числа из разности:
$(465 - x) - 265 = (465 - 265) - x = 200 - x$.
Теперь подставим в упрощенное выражение значения переменной $x$ и найдем результат.
При $x = 34$: $200 - 34 = 166$.
При $x = 98$: $200 - 98 = 102$.
Ответ: 166; 102.
г) Сначала упростим выражение. Для этого раскроем скобки. Так как перед скобками стоит знак минус, знаки слагаемых в скобках меняются на противоположные:
$1038 - (38 + n) = 1038 - 38 - n = 1000 - n$.
Теперь подставим в упрощенное выражение значения переменной $n$ и найдем результат.
При $n = 78$: $1000 - 78 = 922$.
При $n = 0$: $1000 - 0 = 1000$.
Ответ: 922; 1000.
Решение 3. №2.225 (с. 74)


Решение 4. №2.225 (с. 74)

Другие задания:
Помогло решение? Оставьте отзыв в комментариях ниже.
Мы подготовили для вас ответ c подробным объяснением домашего задания по математике за 5 класс, для упражнения номер 2.225 расположенного на странице 74 для 1-й части к учебнику 2023 года издания для учащихся школ и гимназий.
Теперь на нашем сайте ГДЗ.ТОП вы всегда легко и бесплатно найдёте условие с правильным ответом на вопрос «Как решить ДЗ» и «Как сделать» задание по математике к упражнению №2.225 (с. 74), авторов: Виленкин (Наум Яковлевич), Жохов (Владимир Иванович), Чесноков (Александр Семёнович), Александрова (Лилия Александровна), Шварцбурд (Семён Исаакович), 1-й части ФГОС (новый, красный) базовый уровень обучения учебного пособия издательства Просвещение.