Номер 2.223, страница 74, часть 1 - гдз по математике 5 класс учебник Виленкин, Жохов

Авторы: Виленкин Н. Я., Жохов В. И., Чесноков А. С., Александрова Л. А., Шварцбурд С. И.
Тип: Учебник
Издательство: Просвещение
Год издания: 2023 - 2025
Уровень обучения: базовый
Часть: 1
Цвет обложки: белый, красный, синий с пазлами
Допущено Министерством просвещения Российской Федерации
Популярные ГДЗ в 5 классе
11. Уравнение. § 2. Сложение и вычитание натуральных чисел. Глава 1. Натуральные числа. ч. 1 - номер 2.223, страница 74.
№2.223 (с. 74)
Условие. №2.223 (с. 74)
скриншот условия

2.223 Вычислите удобным способом:
а) 1058 - (258 + 292);
б) (645 + 407) - 245;
в) 493 + (711 - 193);
г) (747 + 1027) - 367;
д) (384 + 216) - 399;
е) (372 + 285) - (172 + 185).
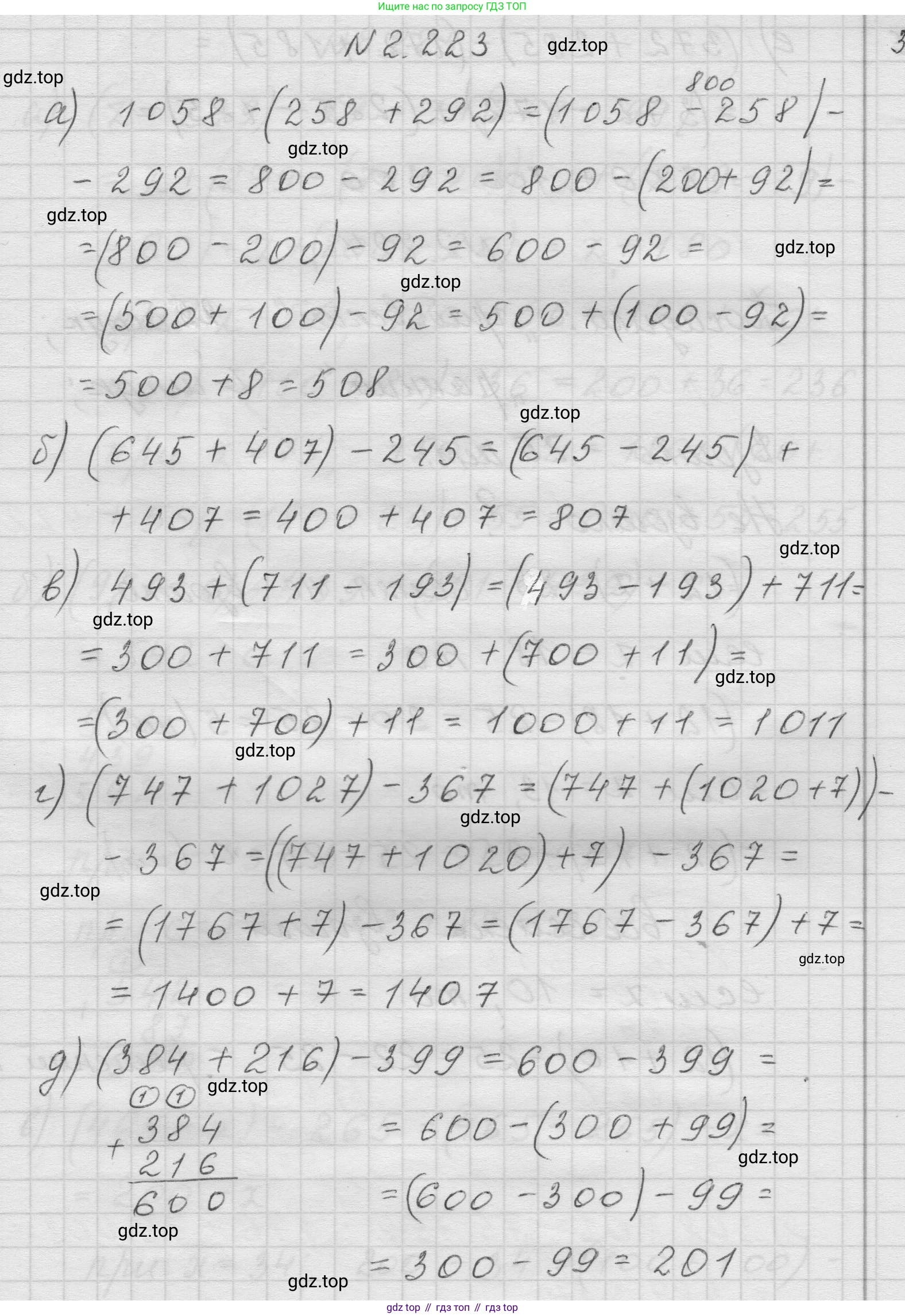
Решение 1. №2.223 (с. 74)
а) 1058 - (258 + 292) = - 292 = 800 - 292 = 800 - (200 + 92) = (800 - 200) - 92 = 600 - 92 = (500 + 100) - 9 = 500 + (100 - 92) = 500 + 8 = 508;
б) (645 + 407) - 245 = (645 - 245) + 407 = 400 + 407 = 807;
в) 493 + (711 - 193) = (493 - 193) + 711 = 300 + 711 = 300 + (700 + 11) = (300 + 700) + 11 = 1000 + 11 = 1011;
г) (747 + 1027) - 367 = (747 + (1020 + 7)) - 367 = ((747 + 1020) + 7) - 367 = (1767 + 7) - 367 = (1767 - 367) + 7 = 1400 + 7 = 1407;
д) (384 + 216) - 399 = 600 - 399 = 600 - (300 + 99) = (600 - 300) - 99 = 300 - 99 = 201;

е) (372 + 285) - (112 + 185) = (372 - 172) + (285 - 185) = 200 + 100 = 300.
Решение 2. №2.223 (с. 74)
а) $1058 - (258 + 292)$
Чтобы вычислить это выражение удобным способом, воспользуемся правилом вычитания суммы из числа: $a - (b + c) = a - b - c$.
$1058 - (258 + 292) = 1058 - 258 - 292$
Сначала вычтем 258 из 1058, так как у этих чисел совпадают последние две цифры, что упрощает вычитание.
$1058 - 258 = 800$
Теперь из полученного результата вычтем 292.
$800 - 292 = 508$
Ответ: 508
б) $(645 + 407) - 245$
Здесь удобно применить сочетательное и переместительное свойства. Раскроем скобки и изменим порядок действий: $645 + 407 - 245$.
Сначала вычтем 245 из 645, так как у них одинаковые последние две цифры.
$(645 - 245) + 407$
Выполняем вычитание:
$645 - 245 = 400$
Теперь к результату прибавим 407.
$400 + 407 = 807$
Ответ: 807
в) $493 + (711 - 193)$
В этом примере можно раскрыть скобки: $493 + 711 - 193$.
Далее, используя переместительное свойство, сгруппируем числа для удобства вычислений. Вычтем 193 из 493.
$(493 - 193) + 711$
Сначала выполним вычитание:
$493 - 193 = 300$
Затем выполним сложение:
$300 + 711 = 1011$
Ответ: 1011
г) $(747 + 1027) - 367$
Как и в пункте б), раскроем скобки и используем переместительное свойство, чтобы упростить вычисления. Выражение примет вид: $747 + 1027 - 367$.
Перегруппируем числа так, чтобы сначала выполнить вычитание.
$(747 - 367) + 1027$
Выполняем вычитание:
$747 - 367 = 380$
Теперь к результату прибавим 1027.
$380 + 1027 = 1407$
Ответ: 1407
д) $(384 + 216) - 399$
В данном случае удобнее всего сначала выполнить сложение в скобках, так как числа 384 и 216 в сумме дают "круглое" число.
$384 + 216 = 600$
Теперь вычисление становится очень простым:
$600 - 399 = 201$
Ответ: 201
е) $(372 + 285) - (172 + 185)$
Для удобства вычислений раскроем скобки. При вычитании суммы знаки слагаемых в скобках меняются на противоположные: $(a + b) - (c + d) = a + b - c - d$.
$(372 + 285) - (172 + 185) = 372 + 285 - 172 - 185$
Теперь перегруппируем числа, используя переместительное и сочетательное свойства, чтобы вычисления были проще.
$(372 - 172) + (285 - 185)$
Выполним вычитание в каждой паре скобок:
$372 - 172 = 200$
$285 - 185 = 100$
Теперь сложим полученные результаты:
$200 + 100 = 300$
Ответ: 300
Решение 3. №2.223 (с. 74)

Решение 4. №2.223 (с. 74)

Другие задания:
Помогло решение? Оставьте отзыв в комментариях ниже.
Мы подготовили для вас ответ c подробным объяснением домашего задания по математике за 5 класс, для упражнения номер 2.223 расположенного на странице 74 для 1-й части к учебнику 2023 года издания для учащихся школ и гимназий.
Теперь на нашем сайте ГДЗ.ТОП вы всегда легко и бесплатно найдёте условие с правильным ответом на вопрос «Как решить ДЗ» и «Как сделать» задание по математике к упражнению №2.223 (с. 74), авторов: Виленкин (Наум Яковлевич), Жохов (Владимир Иванович), Чесноков (Александр Семёнович), Александрова (Лилия Александровна), Шварцбурд (Семён Исаакович), 1-й части ФГОС (новый, красный) базовый уровень обучения учебного пособия издательства Просвещение.