Номер 2.53, страница 50, часть 1 - гдз по математике 5 класс учебник Виленкин, Жохов

Авторы: Виленкин Н. Я., Жохов В. И., Чесноков А. С., Александрова Л. А., Шварцбурд С. И.
Тип: Учебник
Издательство: Просвещение
Год издания: 2023 - 2025
Уровень обучения: базовый
Часть: 1
Цвет обложки: белый, красный, синий с пазлами
Допущено Министерством просвещения Российской Федерации
Популярные ГДЗ в 5 классе
8. Действие сложения. Свойства сложения. § 2. Сложение и вычитание натуральных чисел. Глава 1. Натуральные числа. ч. 1 - номер 2.53, страница 50.
№2.53 (с. 50)
Условие. №2.53 (с. 50)
скриншот условия

2.53 Найдите общую стоимость товаров, поступивших:
а) в отделы магазина за каждый месяц;
б) в отделы магазина за полгода;
в) в магазин за полгода.
Месяц | Стоимость товаров, поступивших в отдел, тыс. р. | Всего | ||
Молочный | Хлебный | Мясной | ||
Январь | 55 000 | 45 000 | 43 000 | |
Февраль | 76 000 | 61 100 | 54 000 | |
Март | 232 000 | 80 200 | 51 000 | |
Апрель | 47 000 | 46 000 | 72 000 | |
Май | 103 600 | 98 200 | 64 200 | |
Июнь | 99 000 | 57 400 | 37 200 | |
Итого |
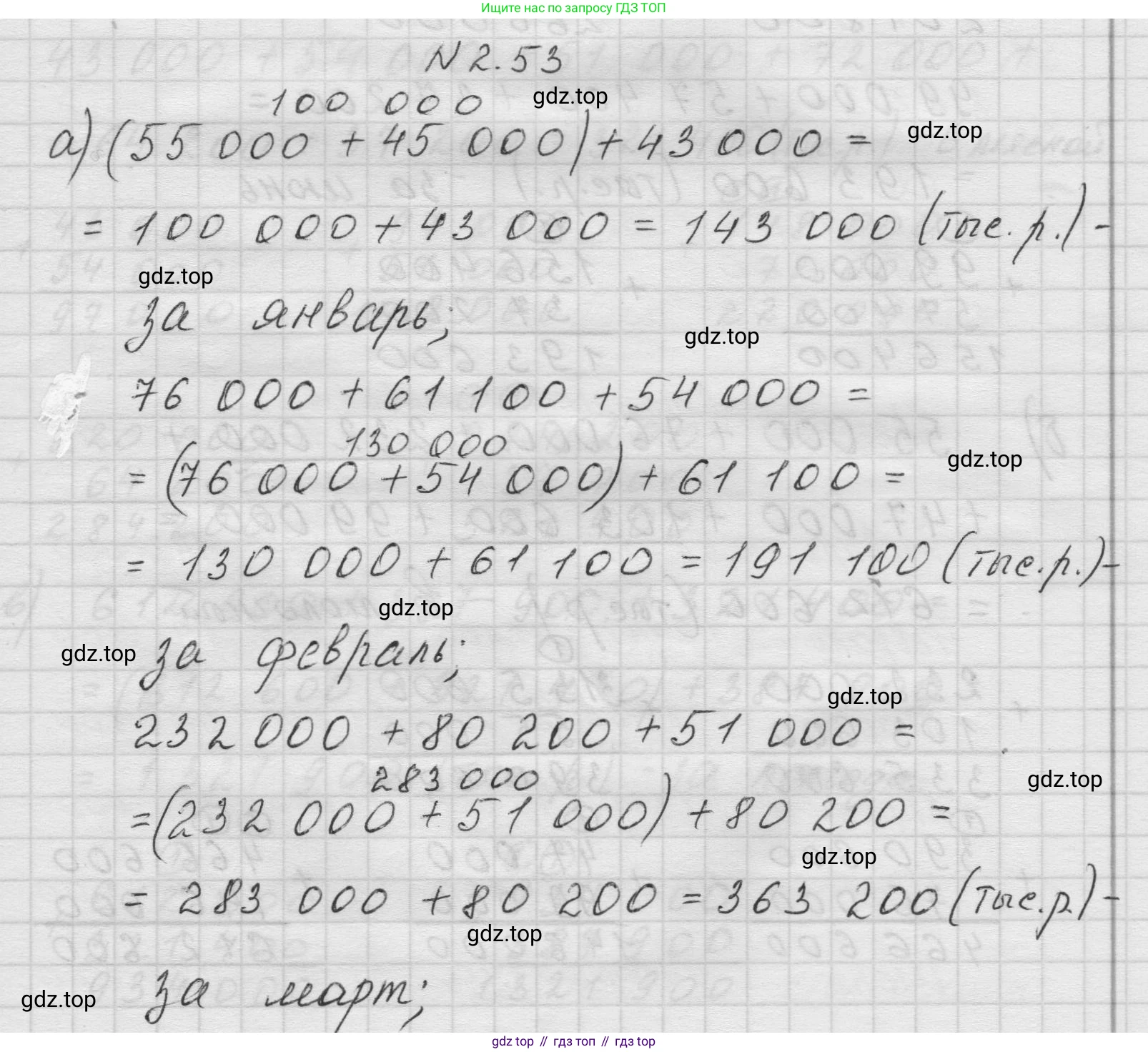
Решение 1. №2.53 (с. 50)
+ 43 000 = 100 000 + 43 000 = 143 000 (тыс. р.) - за январь;
76 000 + 61 100 + 54 000 = + 61 100 = 130 000 + 61 100 = 191 100 (тыс. р.) - за февраль;
232 000 + 80 200 + 51 000 = 283 000 + 80 200 = 363 200 (тыс. р.) - за март;
+ 72 000 = 93 000 + 72 000 = 165 000 (тыс. р.) - за апрель;
103 600 + 98 200 + 64 200 = 266 000 (тыс. р.) - за май;


99 000 + 57 400 + 37 200 = 193 600 (тыс. р.) - за июнь;


б) 55 000 + 76 000 + 232 000 + 47 000 + 103 600 + 99 000 = 612 600 (тыс. р.) - в молочный





45 000 + 61 100 + 80 200 + 46 000 + 98 200 + 57 400 = 387 900 (тыс. р.) - в хлебный





43 000 + 54 000 + 51 000 + 72 000 + 64 200 + 37 200 = 321 400 (тыс. р.) - в мясной





в) 612 600 + 387 900 + 321 400 = (612 600 + 321 400) + 387 900 = 1 321 900 (тыс. р.) - за полгода


или
143 000 + 191 100 + 363 200 + 165 000 + 266 000 + 193 600 = 1 321 900 (тыс. р.) - за полгода





Месяц | Стоимость товаров, поступивших в отдел, тыс. р. | Всего | ||
Молочный | Хлебный | Мясной | ||
Январь | 55 000 | 45 000 | 43 000 | 143 000 |
Февраль | 76 000 | 61 100 | 54 000 | 191 100 |
Март | 232 000 | 80 200 | 51 000 | 363 200 |
Апрель | 47 000 | 46 000 | 72 000 | 165 000 |
Май | 103 600 | 98 200 | 64 200 | 266 000 |
Июнь | 99 000 | 57 400 | 37 200 | 193 600 |
Итого | 612 600 | 387 900 | 321 400 | 1 321 900 |
Решение 2. №2.53 (с. 50)
а) Для того чтобы найти общую стоимость товаров, поступивших в отделы магазина за каждый месяц, необходимо сложить стоимость товаров по каждому отделу (Молочный, Хлебный, Мясной) за соответствующий месяц. Расчеты производятся в тысячах рублей.
Январь: $55 \ 000 + 45 \ 000 + 43 \ 000 = 143 \ 000$ тыс. р.
Февраль: $76 \ 000 + 61 \ 100 + 54 \ 000 = 191 \ 100$ тыс. р.
Март: $232 \ 000 + 80 \ 200 + 51 \ 000 = 363 \ 200$ тыс. р.
Апрель: $47 \ 000 + 46 \ 000 + 72 \ 000 = 165 \ 000$ тыс. р.
Май: $103 \ 600 + 98 \ 200 + 64 \ 200 = 266 \ 000$ тыс. р.
Июнь: $99 \ 000 + 57 \ 400 + 37 \ 200 = 193 \ 600$ тыс. р.
Ответ: общая стоимость товаров за январь — 143 000 тыс. р., за февраль — 191 100 тыс. р., за март — 363 200 тыс. р., за апрель — 165 000 тыс. р., за май — 266 000 тыс. р., за июнь — 193 600 тыс. р.
б) Чтобы найти общую стоимость товаров, поступивших в каждый отдел магазина за полгода, нужно просуммировать поступления по каждому отделу за все шесть месяцев.
Молочный отдел: $55 \ 000 + 76 \ 000 + 232 \ 000 + 47 \ 000 + 103 \ 600 + 99 \ 000 = 612 \ 600$ тыс. р.
Хлебный отдел: $45 \ 000 + 61 \ 100 + 80 \ 200 + 46 \ 000 + 98 \ 200 + 57 \ 400 = 387 \ 900$ тыс. р.
Мясной отдел: $43 \ 000 + 54 \ 000 + 51 \ 000 + 72 \ 000 + 64 \ 200 + 37 \ 200 = 321 \ 400$ тыс. р.
Ответ: общая стоимость товаров за полгода в Молочном отделе — 612 600 тыс. р., в Хлебном отделе — 387 900 тыс. р., в Мясном отделе — 321 400 тыс. р.
в) Для нахождения общей стоимости товаров, поступивших в магазин за полгода, можно сложить итоговые суммы по всем месяцам (из пункта а) или итоговые суммы по всем отделам (из пункта б).
Способ 1: Сложение итогов по месяцам.
$143 \ 000 + 191 \ 100 + 363 \ 200 + 165 \ 000 + 266 \ 000 + 193 \ 600 = 1 \ 321 \ 900$ тыс. р.
Способ 2: Сложение итогов по отделам.
$612 \ 600 + 387 \ 900 + 321 \ 400 = 1 \ 321 \ 900$ тыс. р.
Оба способа дают одинаковый результат.
Ответ: общая стоимость товаров, поступивших в магазин за полгода, составляет 1 321 900 тыс. р.
Решение 3. №2.53 (с. 50)


Решение 4. №2.53 (с. 50)


Другие задания:
Помогло решение? Оставьте отзыв в комментариях ниже.
Мы подготовили для вас ответ c подробным объяснением домашего задания по математике за 5 класс, для упражнения номер 2.53 расположенного на странице 50 для 1-й части к учебнику 2023 года издания для учащихся школ и гимназий.
Теперь на нашем сайте ГДЗ.ТОП вы всегда легко и бесплатно найдёте условие с правильным ответом на вопрос «Как решить ДЗ» и «Как сделать» задание по математике к упражнению №2.53 (с. 50), авторов: Виленкин (Наум Яковлевич), Жохов (Владимир Иванович), Чесноков (Александр Семёнович), Александрова (Лилия Александровна), Шварцбурд (Семён Исаакович), 1-й части ФГОС (новый, красный) базовый уровень обучения учебного пособия издательства Просвещение.