Номер 3.117, страница 91, часть 1 - гдз по математике 5 класс учебник Виленкин, Жохов

Авторы: Виленкин Н. Я., Жохов В. И., Чесноков А. С., Александрова Л. А., Шварцбурд С. И.
Тип: Учебник
Издательство: Просвещение
Год издания: 2023 - 2025
Уровень обучения: базовый
Часть: 1
Цвет обложки: белый, красный, синий с пазлами
Допущено Министерством просвещения Российской Федерации
Популярные ГДЗ в 5 классе
13. Действие деления. § 3. Умножение и деление натуральных чисел. Глава 1. Натуральные числа. ч. 1 - номер 3.117, страница 91.
№3.117 (с. 91)
Условие. №3.117 (с. 91)
скриншот условия

3.117 Найдите корень уравнения:
а) (x - 87) - 27 = 36;
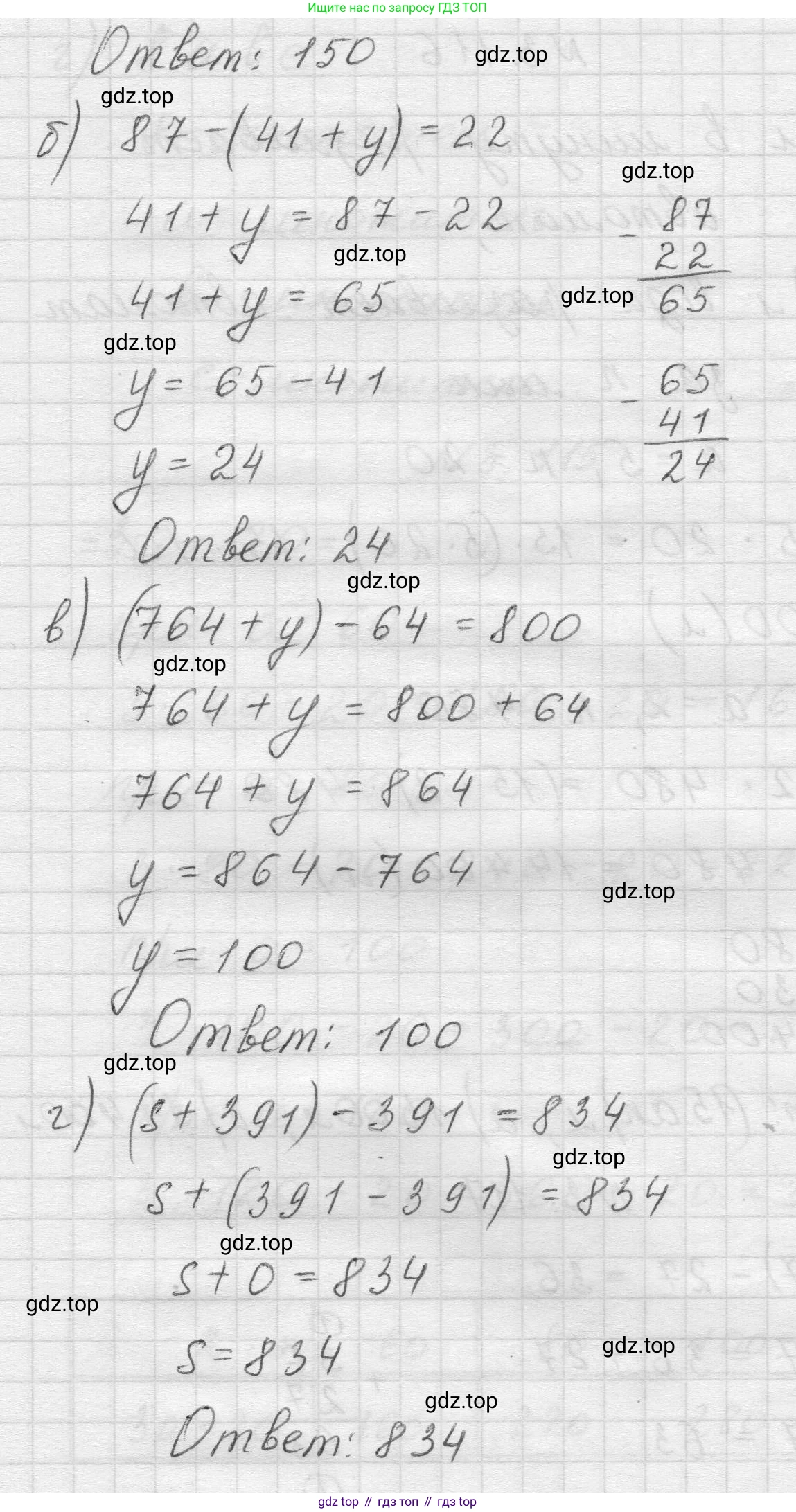
б) 87 - (41 + y) = 22;
в) (764 + y) - 64 = 800;
г) (s + 391) - 391 = 834.
Решение 1. №3.117 (с. 91)


Ответ: 150.


Ответ: 24.
Ответ: 100.
Ответ: 834.
Решение 2. №3.117 (с. 91)
а) В уравнении $(x - 87) - 27 = 36$ выражение в скобках $(x - 87)$ является неизвестным уменьшаемым. Чтобы найти его, нужно сложить вычитаемое 27 и разность 36.
$x - 87 = 36 + 27$
$x - 87 = 63$
Теперь $x$ — неизвестное уменьшаемое. Чтобы найти его, нужно сложить вычитаемое 87 и разность 63.
$x = 63 + 87$
$x = 150$
Проверка: $(150 - 87) - 27 = 63 - 27 = 36$. Равенство верно.
Ответ: 150
б) В уравнении $87 - (41 + y) = 22$ выражение в скобках $(41 + y)$ является неизвестным вычитаемым. Чтобы найти его, нужно из уменьшаемого 87 вычесть разность 22.
$41 + y = 87 - 22$
$41 + y = 65$
Теперь $y$ — неизвестное слагаемое. Чтобы найти его, нужно из суммы 65 вычесть известное слагаемое 41.
$y = 65 - 41$
$y = 24$
Проверка: $87 - (41 + 24) = 87 - 65 = 22$. Равенство верно.
Ответ: 24
в) В уравнении $(764 + y) - 64 = 800$ выражение в скобках $(764 + y)$ является неизвестным уменьшаемым. Чтобы найти его, нужно сложить вычитаемое 64 и разность 800.
$764 + y = 800 + 64$
$764 + y = 864$
Теперь $y$ — неизвестное слагаемое. Чтобы найти его, нужно из суммы 864 вычесть известное слагаемое 764.
$y = 864 - 764$
$y = 100$
Проверка: $(764 + 100) - 64 = 864 - 64 = 800$. Равенство верно.
Ответ: 100
г) В уравнении $(s + 391) - 391 = 834$ выражение в скобках $(s + 391)$ является неизвестным уменьшаемым. Чтобы найти его, нужно сложить вычитаемое 391 и разность 834.
$s + 391 = 834 + 391$
$s + 391 = 1225$
Теперь $s$ — неизвестное слагаемое. Чтобы найти его, нужно из суммы 1225 вычесть известное слагаемое 391.
$s = 1225 - 391$
$s = 834$
Проверка: $(834 + 391) - 391 = 1225 - 391 = 834$. Равенство верно.
Ответ: 834
Решение 3. №3.117 (с. 91)

Решение 4. №3.117 (с. 91)


Другие задания:
Помогло решение? Оставьте отзыв в комментариях ниже.
Мы подготовили для вас ответ c подробным объяснением домашего задания по математике за 5 класс, для упражнения номер 3.117 расположенного на странице 91 для 1-й части к учебнику 2023 года издания для учащихся школ и гимназий.
Теперь на нашем сайте ГДЗ.ТОП вы всегда легко и бесплатно найдёте условие с правильным ответом на вопрос «Как решить ДЗ» и «Как сделать» задание по математике к упражнению №3.117 (с. 91), авторов: Виленкин (Наум Яковлевич), Жохов (Владимир Иванович), Чесноков (Александр Семёнович), Александрова (Лилия Александровна), Шварцбурд (Семён Исаакович), 1-й части ФГОС (новый, красный) базовый уровень обучения учебного пособия издательства Просвещение.