Номер 8, страница 39 - гдз по химии 10 класс учебник Еремин, Кузьменко

Авторы: Еремин В. В., Кузьменко Н. Е., Теренин В. И., Дроздов А. А., Лунин В. В.
Тип: Учебник
Издательство: Просвещение
Год издания: 2023 - 2025
Уровень обучения: углублённый
Цвет обложки: белый, зелёный с радугой
Допущено Министерством просвещения Российской Федерации
Популярные ГДЗ в 10 классе
Параграф 5. Расчёты по уравнениям химических реакций. Глава 1. Повторение и углубление знаний - номер 8, страница 39.
№8 (с. 39)
Условие. №8 (с. 39)
скриншот условия

8. При непродолжительном прокаливании 100 г нитрата меди(II) масса твёрдого вещества уменьшилась на 21,6 г. Какая часть соли разложилась?
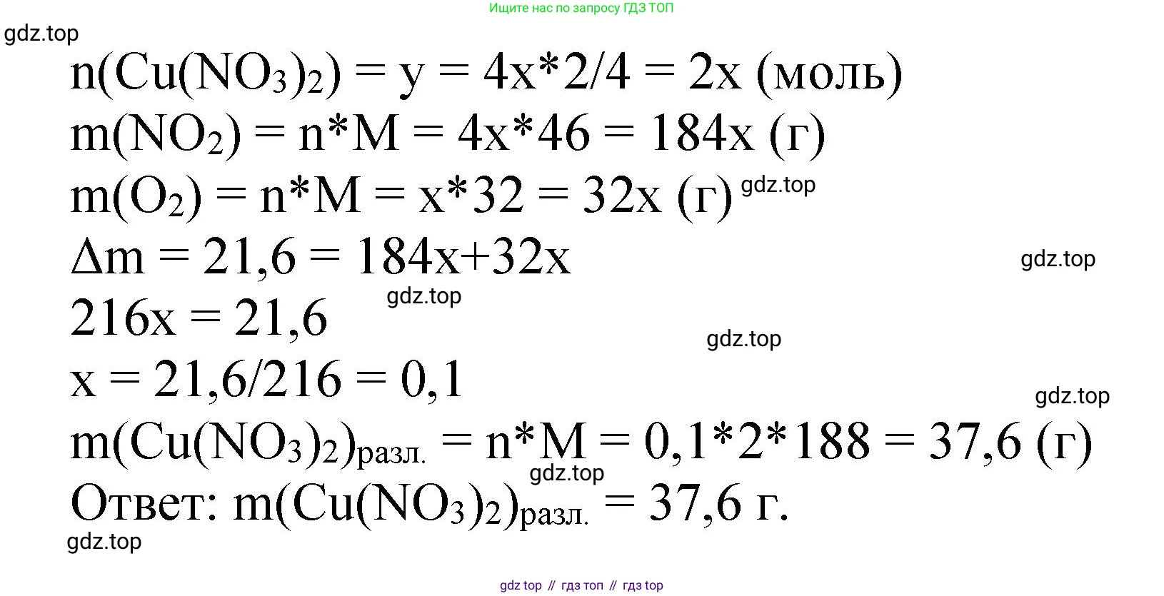
Решение. №8 (с. 39)


Решение 2. №8 (с. 39)
Дано:
$m_{исх.}(Cu(NO_3)_2) = 100 \text{ г}$
$\Delta m = 21.6 \text{ г}$
$m_{исх.}(Cu(NO_3)_2) = 0.1 \text{ кг}$
$\Delta m = 0.0216 \text{ кг}$
Найти:
$\omega_{\text{разл.}}$ — часть разложившейся соли
Решение:
При прокаливании нитрата меди(II) происходит его термическое разложение. Запишем уравнение реакции:
$2Cu(NO_3)_2(тв) \xrightarrow{t} 2CuO(тв) + 4NO_2(г) \uparrow + O_2(г) \uparrow$
Уменьшение массы твердого вещества происходит за счет выделения газообразных продуктов: диоксида азота ($NO_2$) и кислорода ($O_2$). Таким образом, масса выделившихся газов равна уменьшению массы твердого остатка:
$m_{газов} = m(NO_2) + m(O_2) = \Delta m = 21.6 \text{ г}$
Рассчитаем молярные массы, необходимые для решения. Будем использовать следующие значения атомных масс: $Ar(Cu) = 63.5$, $Ar(N) = 14$, $Ar(O) = 16$.
Молярная масса нитрата меди(II), $Cu(NO_3)_2$:
$M(Cu(NO_3)_2) = 63.5 + 2 \cdot (14 + 3 \cdot 16) = 187.5 \text{ г/моль}$
Молярная масса диоксида азота, $NO_2$:
$M(NO_2) = 14 + 2 \cdot 16 = 46 \text{ г/моль}$
Молярная масса кислорода, $O_2$:
$M(O_2) = 2 \cdot 16 = 32 \text{ г/моль}$
Теперь определим, какая масса газов выделяется при разложении определенной массы нитрата меди(II) согласно уравнению реакции. При разложении 2 моль $Cu(NO_3)_2$ выделяется 4 моль $NO_2$ и 1 моль $O_2$.
Масса 2 моль $Cu(NO_3)_2$ составляет: $m = n \cdot M = 2 \text{ моль} \cdot 187.5 \text{ г/моль} = 375 \text{ г}$.
Общая масса выделившихся при этом газов: $m_{газов} = 4 \cdot M(NO_2) + 1 \cdot M(O_2) = 4 \cdot 46 \text{ г} + 1 \cdot 32 \text{ г} = 184 + 32 = 216 \text{ г}$.
Мы получили соотношение: разложение 375 г $Cu(NO_3)_2$ приводит к потере массы в 216 г. Составим пропорцию, чтобы найти, какая масса соли ($x$) разложилась в условиях задачи, когда потеря массы составила 21,6 г:
$\frac{375 \text{ г } Cu(NO_3)_2}{216 \text{ г газов}} = \frac{x \text{ г } Cu(NO_3)_2}{21.6 \text{ г газов}}$
Решим пропорцию относительно $x$:
$x = \frac{375 \text{ г} \cdot 21.6 \text{ г}}{216 \text{ г}} = 37.5 \text{ г}$
Таким образом, разложилось 37,5 г нитрата меди(II).
Чтобы найти, какую часть от исходной массы соли (100 г) это составляет, разделим массу разложившейся соли на исходную массу:
$\omega_{\text{разл.}} = \frac{m_{разл.}}{m_{исх.}} = \frac{37.5 \text{ г}}{100 \text{ г}} = 0.375$
Ответ: 0,375.
Другие задания:
Помогло решение? Оставьте отзыв в комментариях ниже.
Присоединяйтесь к Телеграм-группе @top_gdz
ПрисоединитьсяМы подготовили для вас ответ c подробным объяснением домашего задания по химии за 10 класс, для упражнения номер 8 расположенного на странице 39 к учебнику 2023 года издания для учащихся школ и гимназий.
Теперь на нашем сайте ГДЗ.ТОП вы всегда легко и бесплатно найдёте условие с правильным ответом на вопрос «Как решить ДЗ» и «Как сделать» задание по химии к упражнению №8 (с. 39), авторов: Еремин (Вадим Владимирович), Кузьменко (Николай Егорович), Теренин (Владимир Ильич), Дроздов (Андрей Анатольевич), Лунин (Валерий Васильевич), ФГОС (старый) углублённый уровень обучения учебного пособия издательства Просвещение.