Номер 9, страница 39 - гдз по химии 10 класс учебник Еремин, Кузьменко

Авторы: Еремин В. В., Кузьменко Н. Е., Теренин В. И., Дроздов А. А., Лунин В. В.
Тип: Учебник
Издательство: Просвещение
Год издания: 2023 - 2025
Уровень обучения: углублённый
Цвет обложки: белый, зелёный с радугой
Допущено Министерством просвещения Российской Федерации
Популярные ГДЗ в 10 классе
Параграф 5. Расчёты по уравнениям химических реакций. Глава 1. Повторение и углубление знаний - номер 9, страница 39.
№9 (с. 39)
Условие. №9 (с. 39)
скриншот условия

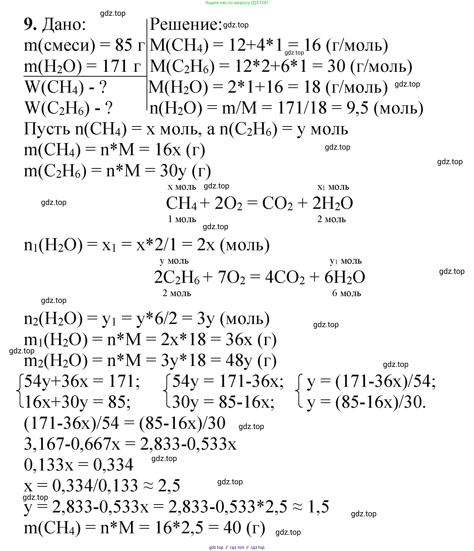
9. При полном сжигании смеси метана и этана общей массой 85 г образовалась вода массой 171 г. Определите состав исходной смеси (в процентах по массе).
Решение. №9 (с. 39)


Решение 2. №9 (с. 39)
Дано:
$m_{смеси}(CH_4, C_2H_6) = 85 \text{ г}$
$m(H_2O) = 171 \text{ г}$
Найти:
$\omega(CH_4) - ?$
$\omega(C_2H_6) - ?$
Решение:
1. Запишем уравнения реакций полного сжигания (горения) метана и этана. В результате полного сгорания углеводородов образуются углекислый газ и вода.
Реакция горения метана ($CH_4$):
$CH_4 + 2O_2 \rightarrow CO_2 + 2H_2O$
Реакция горения этана ($C_2H_6$):
$2C_2H_6 + 7O_2 \rightarrow 4CO_2 + 6H_2O$
2. Введем переменные для количеств веществ в исходной смеси. Пусть количество вещества метана равно $x$ моль, а количество вещества этана – $y$ моль.
$\nu(CH_4) = x \text{ моль}$
$\nu(C_2H_6) = y \text{ моль}$
3. Рассчитаем молярные массы веществ, участвующих в расчетах:
$M(CH_4) = 12.01 + 4 \cdot 1.008 \approx 16 \text{ г/моль}$
$M(C_2H_6) = 2 \cdot 12.01 + 6 \cdot 1.008 \approx 30 \text{ г/моль}$
$M(H_2O) = 2 \cdot 1.008 + 16.00 \approx 18 \text{ г/моль}$
4. Составим систему уравнений на основе данных задачи.
Первое уравнение связывает массы компонентов с общей массой смеси. Масса вещества равна произведению его количества на молярную массу ($m = \nu \cdot M$).
$m(CH_4) + m(C_2H_6) = 85 \text{ г}$
$x \cdot M(CH_4) + y \cdot M(C_2H_6) = 85$
$16x + 30y = 85$ (Уравнение 1)
Второе уравнение составим на основе количества вещества образовавшейся воды. Сначала найдем общее количество вещества воды:
$\nu(H_2O)_{\text{общ}} = \frac{m(H_2O)}{M(H_2O)} = \frac{171 \text{ г}}{18 \text{ г/моль}} = 9.5 \text{ моль}$
Теперь выразим количество вещества воды через $x$ и $y$ с помощью уравнений реакций.
Из реакции горения метана: $\nu(H_2O)_{\text{из } CH_4} = 2 \cdot \nu(CH_4) = 2x$.
Из реакции горения этана (соотношение $2:6$ или $1:3$): $\nu(H_2O)_{\text{из } C_2H_6} = 3 \cdot \nu(C_2H_6) = 3y$.
Суммарное количество вещества воды:
$\nu(H_2O)_{\text{общ}} = \nu(H_2O)_{\text{из } CH_4} + \nu(H_2O)_{\text{из } C_2H_6}$
$2x + 3y = 9.5$ (Уравнение 2)
5. Решим систему из двух линейных уравнений:
$\begin{cases} 16x + 30y = 85 \\ 2x + 3y = 9.5 \end{cases}$
Для решения методом исключения умножим второе уравнение на 8, чтобы коэффициенты при $x$ стали одинаковыми:
$8 \cdot (2x + 3y) = 8 \cdot 9.5 \implies 16x + 24y = 76$
Теперь вычтем это новое уравнение из первого уравнения системы:
$(16x + 30y) - (16x + 24y) = 85 - 76$
$6y = 9$
$y = \frac{9}{6} = 1.5$
Следовательно, $\nu(C_2H_6) = 1.5 \text{ моль}$.
Подставим найденное значение $y$ в Уравнение 2, чтобы найти $x$:
$2x + 3 \cdot (1.5) = 9.5$
$2x + 4.5 = 9.5$
$2x = 9.5 - 4.5$
$2x = 5$
$x = 2.5$
Следовательно, $\nu(CH_4) = 2.5 \text{ моль}$.
6. Найдем массы метана и этана в исходной смеси:
$m(CH_4) = \nu(CH_4) \cdot M(CH_4) = 2.5 \text{ моль} \cdot 16 \text{ г/моль} = 40 \text{ г}$
$m(C_2H_6) = \nu(C_2H_6) \cdot M(C_2H_6) = 1.5 \text{ моль} \cdot 30 \text{ г/моль} = 45 \text{ г}$
Проверка: общая масса смеси $40 \text{ г} + 45 \text{ г} = 85 \text{ г}$, что соответствует условию.
7. Рассчитаем массовые доли ($\omega$) метана и этана в смеси:
$\omega(CH_4) = \frac{m(CH_4)}{m_{смеси}} \cdot 100\% = \frac{40 \text{ г}}{85 \text{ г}} \cdot 100\% \approx 47.06\%$
$\omega(C_2H_6) = \frac{m(C_2H_6)}{m_{смеси}} \cdot 100\% = \frac{45 \text{ г}}{85 \text{ г}} \cdot 100\% \approx 52.94\%$
Ответ: массовая доля метана в исходной смеси составляет $47.06\%$, массовая доля этана – $52.94\%$.
Другие задания:
Помогло решение? Оставьте отзыв в комментариях ниже.
Присоединяйтесь к Телеграм-группе @top_gdz
ПрисоединитьсяМы подготовили для вас ответ c подробным объяснением домашего задания по химии за 10 класс, для упражнения номер 9 расположенного на странице 39 к учебнику 2023 года издания для учащихся школ и гимназий.
Теперь на нашем сайте ГДЗ.ТОП вы всегда легко и бесплатно найдёте условие с правильным ответом на вопрос «Как решить ДЗ» и «Как сделать» задание по химии к упражнению №9 (с. 39), авторов: Еремин (Вадим Владимирович), Кузьменко (Николай Егорович), Теренин (Владимир Ильич), Дроздов (Андрей Анатольевич), Лунин (Валерий Васильевич), ФГОС (старый) углублённый уровень обучения учебного пособия издательства Просвещение.