Номер 2.139, страница 63, часть 1 - гдз по математике 5 класс учебник Виленкин, Жохов

Авторы: Виленкин Н. Я., Жохов В. И., Чесноков А. С., Александрова Л. А., Шварцбурд С. И.
Тип: Учебник
Издательство: Просвещение
Год издания: 2023 - 2025
Уровень обучения: базовый
Часть: 1
Цвет обложки: белый, красный, синий с пазлами
Допущено Министерством просвещения Российской Федерации
Популярные ГДЗ в 5 классе
10. Числовые и буквенные выражения. § 2. Сложение и вычитание натуральных чисел. Глава 1. Натуральные числа. ч. 1 - номер 2.139, страница 63.
№2.139 (с. 63)
Условие. №2.139 (с. 63)
скриншот условия

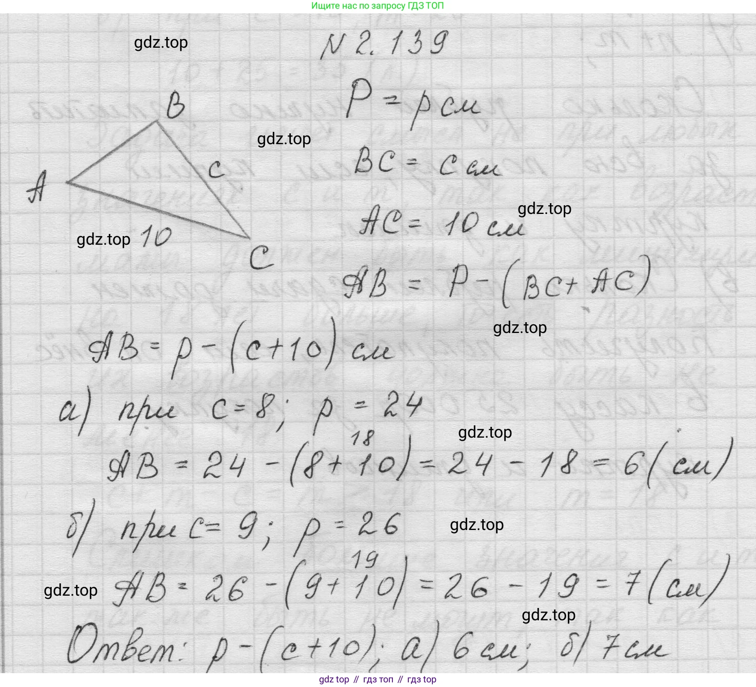
2.139 Периметр треугольника АВС равен p см. Найдите сторону АВ треугольника, если ВС = c см и АС = 10 см. Составьте выражение и вычислите его значение при:
а) c = 8, p = 24;
б) c = 9, p = 26.
Решение 1. №2.139 (с. 63)

Р = р см
ВС = с см
АС = 10 см
АВ = Р - (ВС + АС)
АВ = р - (с + 10) см
а) при с = 8; р = 24;
= 24 - 18 = 6 (см)
б) при с = 9; р = 26;
= 26 - 19 = 7 (см)
Ответ: р - (с + 10); а ) 6 см; б) 7 см.
Решение 2. №2.139 (с. 63)
Периметр треугольника $ABC$ равен сумме длин его сторон: $P_{ABC} = AB + BC + AC$.
По условию задачи, периметр $P_{ABC} = p$ см, сторона $BC = c$ см и сторона $AC = 10$ см. Подставим эти значения в формулу периметра:
$p = AB + c + 10$
Чтобы найти длину стороны $AB$, выразим ее из этого уравнения. Для этого вычтем из периметра $p$ длины двух других известных сторон ($c$ и $10$):
$AB = p - c - 10$
Это и есть искомое выражение для нахождения стороны $AB$. Теперь вычислим его значение для каждого из случаев.
а)
При $c = 8$ и $p = 24$ подставляем эти значения в полученное выражение:
$AB = 24 - 8 - 10 = 16 - 10 = 6$ (см).
Ответ: $6$ см.
б)
При $c = 9$ и $p = 26$ подставляем эти значения в выражение:
$AB = 26 - 9 - 10 = 17 - 10 = 7$ (см).
Ответ: $7$ см.
Решение 3. №2.139 (с. 63)


Решение 4. №2.139 (с. 63)

Другие задания:
Помогло решение? Оставьте отзыв в комментариях ниже.
Мы подготовили для вас ответ c подробным объяснением домашего задания по математике за 5 класс, для упражнения номер 2.139 расположенного на странице 63 для 1-й части к учебнику 2023 года издания для учащихся школ и гимназий.
Теперь на нашем сайте ГДЗ.ТОП вы всегда легко и бесплатно найдёте условие с правильным ответом на вопрос «Как решить ДЗ» и «Как сделать» задание по математике к упражнению №2.139 (с. 63), авторов: Виленкин (Наум Яковлевич), Жохов (Владимир Иванович), Чесноков (Александр Семёнович), Александрова (Лилия Александровна), Шварцбурд (Семён Исаакович), 1-й части ФГОС (новый, красный) базовый уровень обучения учебного пособия издательства Просвещение.