Номер 2.146, страница 64, часть 1 - гдз по математике 5 класс учебник Виленкин, Жохов

Авторы: Виленкин Н. Я., Жохов В. И., Чесноков А. С., Александрова Л. А., Шварцбурд С. И.
Тип: Учебник
Издательство: Просвещение
Год издания: 2023 - 2025
Уровень обучения: базовый
Часть: 1
Цвет обложки: белый, красный, синий с пазлами
Допущено Министерством просвещения Российской Федерации
Популярные ГДЗ в 5 классе
10. Числовые и буквенные выражения. § 2. Сложение и вычитание натуральных чисел. Глава 1. Натуральные числа. ч. 1 - номер 2.146, страница 64.
№2.146 (с. 64)
Условие. №2.146 (с. 64)
скриншот условия

2.146 Используя свойства сложения, можно упрощать выражения так:
Образец: 176 + a + 24 = a + 176 + 24 = a + (176 + 24) = a + 200.
По этому образцу упростите выражение:
а) 35 + 56 + c;
б) 47 + k + 38;
в) z + 64 + 17;
г) 203 + p + 97.
Решение 1. №2.146 (с. 64)
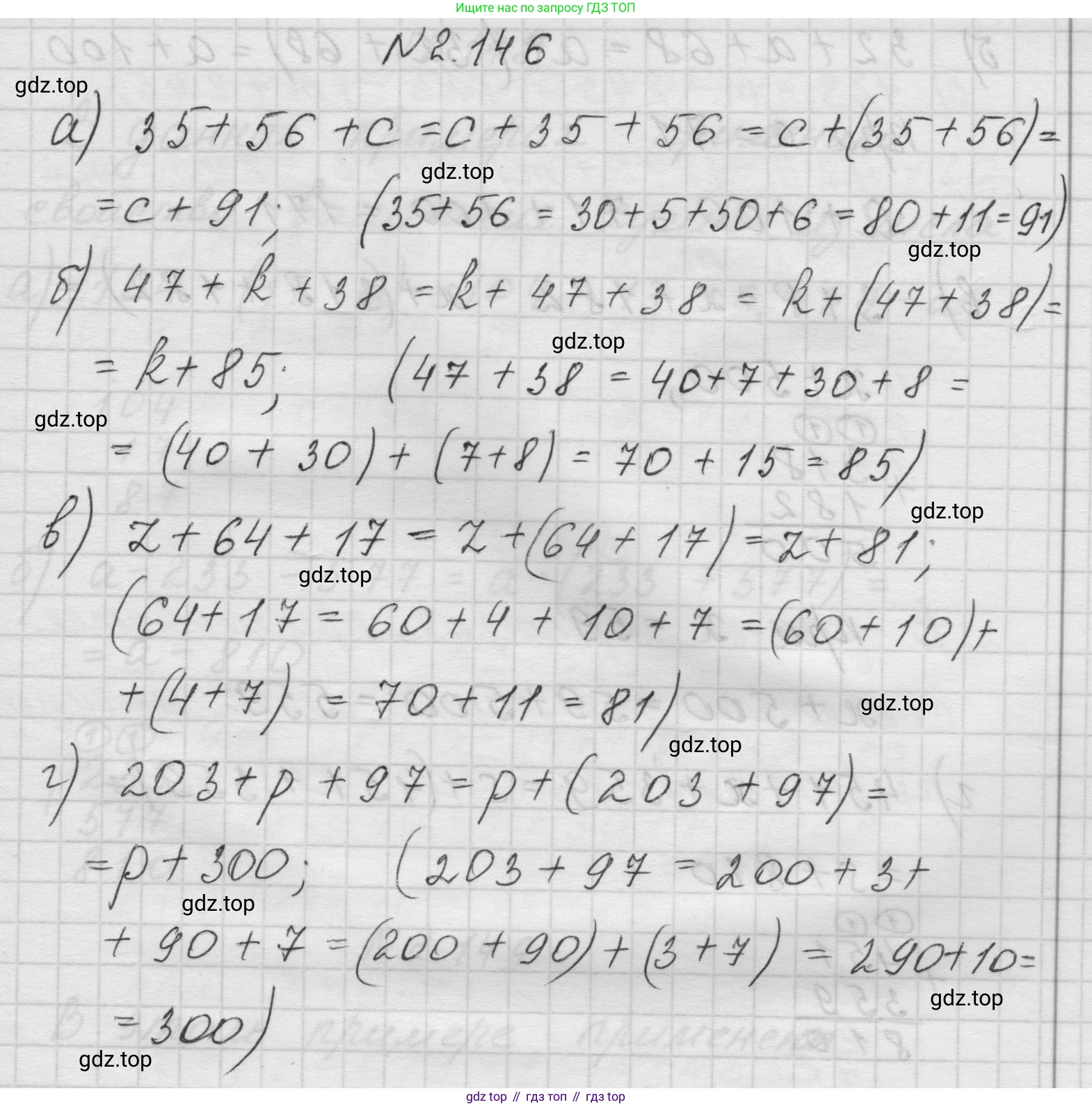
а) 35 + 56 + с = с + 35 + 56 = с + (35 + 56) = с + 91;
(35 + 56 = 30 + 5 + 50 + 6 = 80 + 11 = 91)
б) 47 + k + 38 = k + 47 + 38 = k + (47 + 38) = k + 85;
(47 + 38 = 40 + 7 + 30 + 8 = (40 + 30) + (7 + 8) = 70 + 15 = 85)
в) z + 64 + 17 = z + (64 + 17) = z + 81;
(64 + 17 = 60 + 4 + 10 + 7 = (60 + 10) + (4 + 7) = 70 + 11 = 81)
г) 203 + p + 97 = p + (203 + 97) = p + 300;
(203 + 97 = 200 + 3 + 90 + 7 = (200 + 90) + (3 + 7) = 290 + 10 = 300)
Решение 2. №2.146 (с. 64)
Для упрощения выражений используются свойства сложения: переместительное ($a + b = b + a$) и сочетательное ($a + (b + c) = (a + b) + c$). Они позволяют менять слагаемые местами и группировать их для удобства вычислений.
а) В выражении $35 + 56 + c$ числовые слагаемые уже стоят рядом, поэтому можно сразу применить сочетательное свойство, чтобы сгруппировать их и вычислить сумму.
$35 + 56 + c = (35 + 56) + c = 91 + c$
Ответ: $91 + c$
б) В выражении $47 + k + 38$ сначала используем переместительное свойство, чтобы поменять местами $k$ и $47$. Затем, используя сочетательное свойство, сгруппируем числовые слагаемые и сложим их.
$47 + k + 38 = k + 47 + 38 = k + (47 + 38) = k + 85$
Ответ: $k + 85$
в) В выражении $z + 64 + 17$ переменная уже стоит на первом месте. Применим сочетательное свойство, чтобы сгруппировать и сложить числа.
$z + 64 + 17 = z + (64 + 17) = z + 81$
Ответ: $z + 81$
г) В выражении $203 + p + 97$ действуем по аналогии с пунктом б). Сначала применяем переместительное свойство, чтобы поставить переменную $p$ в начало, а затем группируем числа с помощью сочетательного свойства.
$203 + p + 97 = p + 203 + 97 = p + (203 + 97) = p + 300$
Ответ: $p + 300$
Решение 3. №2.146 (с. 64)

Решение 4. №2.146 (с. 64)

Другие задания:
Помогло решение? Оставьте отзыв в комментариях ниже.
Мы подготовили для вас ответ c подробным объяснением домашего задания по математике за 5 класс, для упражнения номер 2.146 расположенного на странице 64 для 1-й части к учебнику 2023 года издания для учащихся школ и гимназий.
Теперь на нашем сайте ГДЗ.ТОП вы всегда легко и бесплатно найдёте условие с правильным ответом на вопрос «Как решить ДЗ» и «Как сделать» задание по математике к упражнению №2.146 (с. 64), авторов: Виленкин (Наум Яковлевич), Жохов (Владимир Иванович), Чесноков (Александр Семёнович), Александрова (Лилия Александровна), Шварцбурд (Семён Исаакович), 1-й части ФГОС (новый, красный) базовый уровень обучения учебного пособия издательства Просвещение.