Номер 2.144, страница 63, часть 1 - гдз по математике 5 класс учебник Виленкин, Жохов

Авторы: Виленкин Н. Я., Жохов В. И., Чесноков А. С., Александрова Л. А., Шварцбурд С. И.
Тип: Учебник
Издательство: Просвещение
Год издания: 2023 - 2025
Уровень обучения: базовый
Часть: 1
Цвет обложки: белый, красный, синий с пазлами
Допущено Министерством просвещения Российской Федерации
Популярные ГДЗ в 5 классе
10. Числовые и буквенные выражения. § 2. Сложение и вычитание натуральных чисел. Глава 1. Натуральные числа. ч. 1 - номер 2.144, страница 63.
№2.144 (с. 63)
Условие. №2.144 (с. 63)
скриншот условия

2.144 С помощью букв m, n и k запишите свойство 5 двумя способами. Подставьте значения букв: a) m = 76, n = 19, k = 46; б) m = 103, n = 108, k = 105. Проверьте получившиеся числовые равенства.
Решение 1. №2.144 (с. 63)
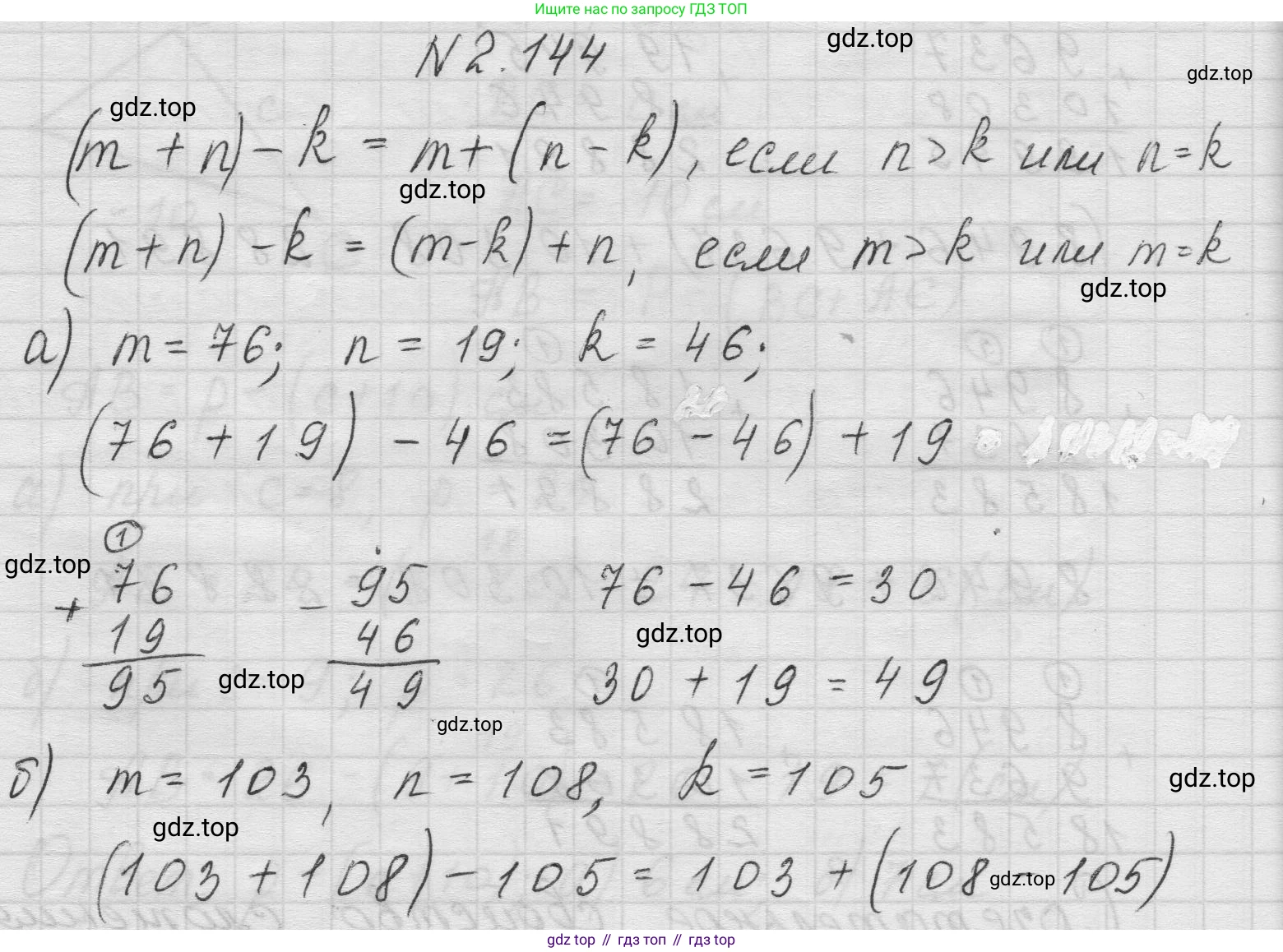
(m + n) - k = m + (n - k), если n > n или n = k;
(m + n) - k = (m - k) + n, если m > k или m = k.
а) m = 76 ; n = 19; k = 46;
(76 + 19) - 46 = (76 - 46) + 19


30 + 19 = 49
б) m = 103 ; n = 108; k = 105;
(103 + 108) - 105 = 103 + (108 - 105)


103 + 3 = 106
Решение 2. №2.144 (с. 63)
Свойство 5, о котором идет речь в задаче, — это свойство вычитания числа из суммы. Его можно записать двумя способами, используя буквы $m$, $n$ и $k$. Мы будем вычитать число $k$ из суммы $(m+n)$.
Первый способ: $(m+n)-k = (m-k)+n$
Второй способ: $(m+n)-k = m+(n-k)$
Теперь подставим числовые значения и проверим, выполняются ли эти равенства.
а)
Подставляем значения $m = 76$, $n = 19$, $k = 46$.
Проверяем первый способ:
$(76+19)-46 = (76-46)+19$
$95-46 = 30+19$
$49 = 49$
Равенство верное.
Проверяем второй способ:
$(76+19)-46 = 76+(19-46)$
$95-46 = 76+(-27)$
$49 = 49$
Равенство верное.
Ответ: Для $m = 76, n = 19, k = 46$ оба равенства верны. Первый способ: $(76+19)-46 = (76-46)+19 \implies 49 = 49$. Второй способ: $(76+19)-46 = 76+(19-46) \implies 49 = 49$.
б)
Подставляем значения $m = 103$, $n = 108$, $k = 105$.
Проверяем первый способ:
$(103+108)-105 = (103-105)+108$
$211-105 = -2+108$
$106 = 106$
Равенство верное.
Проверяем второй способ:
$(103+108)-105 = 103+(108-105)$
$211-105 = 103+3$
$106 = 106$
Равенство верное.
Ответ: Для $m = 103, n = 108, k = 105$ оба равенства верны. Первый способ: $(103+108)-105 = (103-105)+108 \implies 106 = 106$. Второй способ: $(103+108)-105 = 103+(108-105) \implies 106 = 106$.
Решение 3. №2.144 (с. 63)

Решение 4. №2.144 (с. 63)

Другие задания:
Помогло решение? Оставьте отзыв в комментариях ниже.
Мы подготовили для вас ответ c подробным объяснением домашего задания по математике за 5 класс, для упражнения номер 2.144 расположенного на странице 63 для 1-й части к учебнику 2023 года издания для учащихся школ и гимназий.
Теперь на нашем сайте ГДЗ.ТОП вы всегда легко и бесплатно найдёте условие с правильным ответом на вопрос «Как решить ДЗ» и «Как сделать» задание по математике к упражнению №2.144 (с. 63), авторов: Виленкин (Наум Яковлевич), Жохов (Владимир Иванович), Чесноков (Александр Семёнович), Александрова (Лилия Александровна), Шварцбурд (Семён Исаакович), 1-й части ФГОС (новый, красный) базовый уровень обучения учебного пособия издательства Просвещение.