Номер 2.151, страница 64, часть 1 - гдз по математике 5 класс учебник Виленкин, Жохов

Авторы: Виленкин Н. Я., Жохов В. И., Чесноков А. С., Александрова Л. А., Шварцбурд С. И.
Тип: Учебник
Издательство: Просвещение
Год издания: 2023 - 2025
Уровень обучения: базовый
Часть: 1
Цвет обложки: белый, красный, синий с пазлами
Допущено Министерством просвещения Российской Федерации
Популярные ГДЗ в 5 классе
10. Числовые и буквенные выражения. § 2. Сложение и вычитание натуральных чисел. Глава 1. Натуральные числа. ч. 1 - номер 2.151, страница 64.
№2.151 (с. 64)
Условие. №2.151 (с. 64)
скриншот условия

2.151 Упростите выражение и найдите его значение:
а) x - 47 - 38 при x = 625;
б) 168 + y - 68 при y = 77;
в) 137 + a + 263 при a = 194; 381;
г) z - 135 + 215 при z = 329; 918.
Решение 1. №2.151 (с. 64)
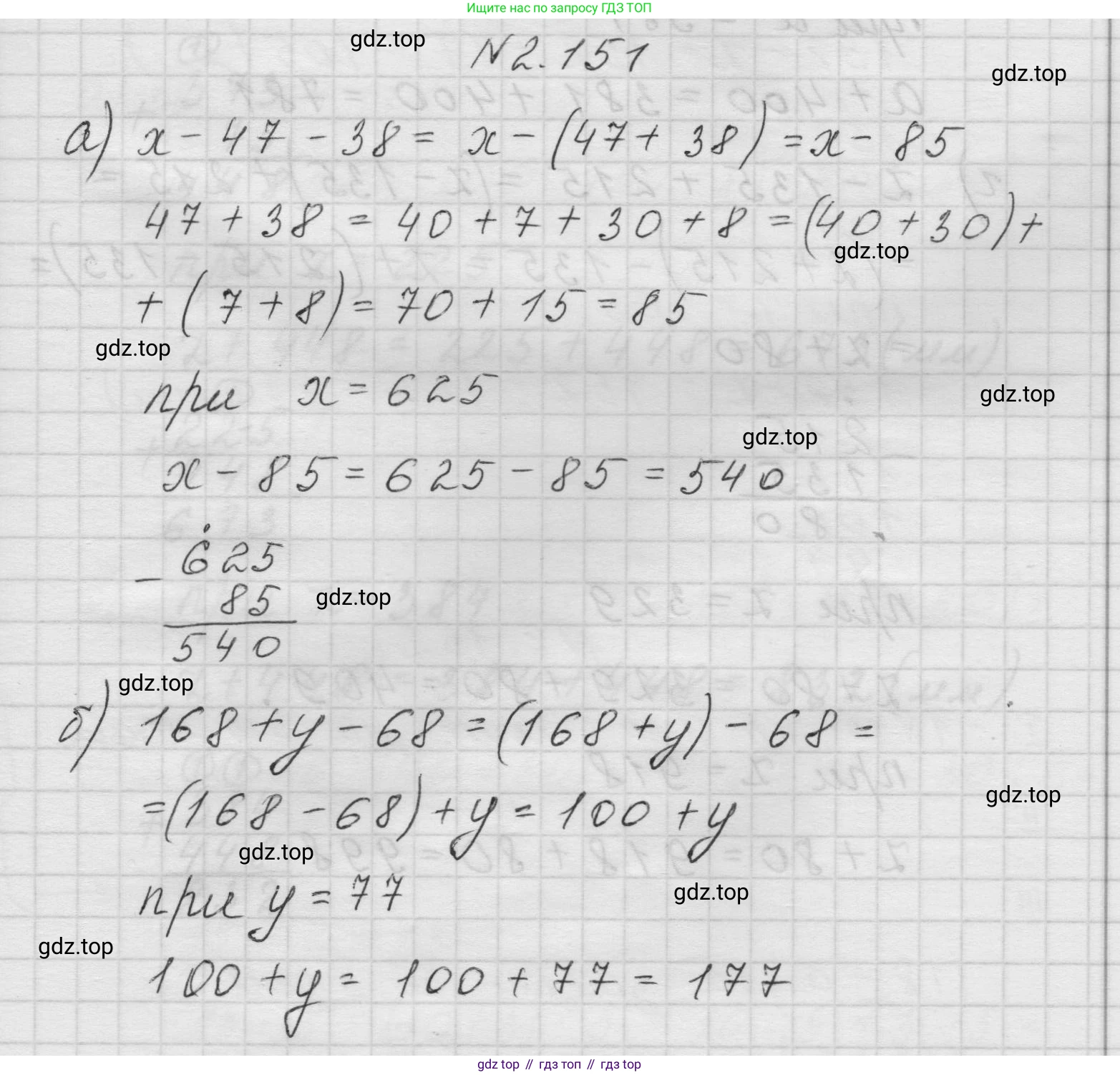
а) x - 47 - 38 = x - (47 + 38) = x - 85;
47 + 38 = 40 + 7 + 30 + 8 = (40 + 30) + (7 + 8) = 70 + 15 = 85
при х = 625
х - 85 = 625 - 85 = 540.

б) 168 + у - 68 = (168 + у) - 68 = (168 - 68) + у = 100 + у
при у = 77
100 + у = 100 + 77 = 177.
в) 137 + а + 263 = а + (137 + 263) = а + 400

при а = 194
а + 400 = 194 + 400 = 594;
при а = 381
а + 400 = 381 + 400 = 781.
г) z - 135 + 215 = (z - 135) + 215 = (z + 215) - 135 = z + (215 - 135) = z + 80

при z = 329
z + 80 = 329 + 80 = 409;
при z = 918
z + 80 = 918 + 80 = 998.
Решение 2. №2.151 (с. 64)
а)
Сначала упростим выражение $x - 47 - 38$. Для этого выполним вычитание чисел:
$x - (47 + 38) = x - 85$
Таким образом, упрощенное выражение имеет вид: $x - 85$.
Теперь подставим значение $x = 625$ в упрощенное выражение:
$625 - 85 = 540$
Ответ: 540
б)
Сначала упростим выражение $168 + y - 68$. Для удобства воспользуемся переместительным свойством сложения и сгруппируем числа:
$(168 - 68) + y$
Выполним вычитание в скобках:
$168 - 68 = 100$
Упрощенное выражение принимает вид: $100 + y$.
Теперь подставим значение $y = 77$ в упрощенное выражение:
$100 + 77 = 177$
Ответ: 177
в)
Сначала упростим выражение $137 + a + 263$. Сгруппируем числа:
$(137 + 263) + a$
Выполним сложение в скобках:
$137 + 263 = 400$
Упрощенное выражение принимает вид: $400 + a$.
Теперь найдем значения выражения для каждого значения $a$.
При $a = 194$:
$400 + 194 = 594$
При $a = 381$:
$400 + 381 = 781$
Ответ: 594; 781
г)
Сначала упростим выражение $z - 135 + 215$. Сгруппируем числа:
$z + (215 - 135)$
Выполним вычитание в скобках:
$215 - 135 = 80$
Упрощенное выражение принимает вид: $z + 80$.
Теперь найдем значения выражения для каждого значения $z$.
При $z = 329$:
$329 + 80 = 409$
При $z = 918$:
$918 + 80 = 998$
Ответ: 409; 998
Решение 3. №2.151 (с. 64)

Решение 4. №2.151 (с. 64)


Другие задания:
Помогло решение? Оставьте отзыв в комментариях ниже.
Мы подготовили для вас ответ c подробным объяснением домашего задания по математике за 5 класс, для упражнения номер 2.151 расположенного на странице 64 для 1-й части к учебнику 2023 года издания для учащихся школ и гимназий.
Теперь на нашем сайте ГДЗ.ТОП вы всегда легко и бесплатно найдёте условие с правильным ответом на вопрос «Как решить ДЗ» и «Как сделать» задание по математике к упражнению №2.151 (с. 64), авторов: Виленкин (Наум Яковлевич), Жохов (Владимир Иванович), Чесноков (Александр Семёнович), Александрова (Лилия Александровна), Шварцбурд (Семён Исаакович), 1-й части ФГОС (новый, красный) базовый уровень обучения учебного пособия издательства Просвещение.