Номер 2.154, страница 64, часть 1 - гдз по математике 5 класс учебник Виленкин, Жохов

Авторы: Виленкин Н. Я., Жохов В. И., Чесноков А. С., Александрова Л. А., Шварцбурд С. И.
Тип: Учебник
Издательство: Просвещение
Год издания: 2023 - 2025
Уровень обучения: базовый
Часть: 1
Цвет обложки: белый, красный, синий с пазлами
Допущено Министерством просвещения Российской Федерации
Популярные ГДЗ в 5 классе
10. Числовые и буквенные выражения. § 2. Сложение и вычитание натуральных чисел. Глава 1. Натуральные числа. ч. 1 - номер 2.154, страница 64.
№2.154 (с. 64)
Условие. №2.154 (с. 64)
скриншот условия

2.154 Вычислите.

Решение 1. №2.154 (с. 64)
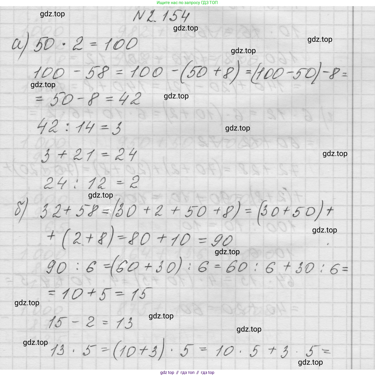
а) 50 · 2 = 100;
100 - 58 = 100 - (50 + 8) = (100 - 50) - 8 = 50 - 8 = 42;
52 : 14 = 3;
3 + 21 = 24;
25 : 12 = 2.
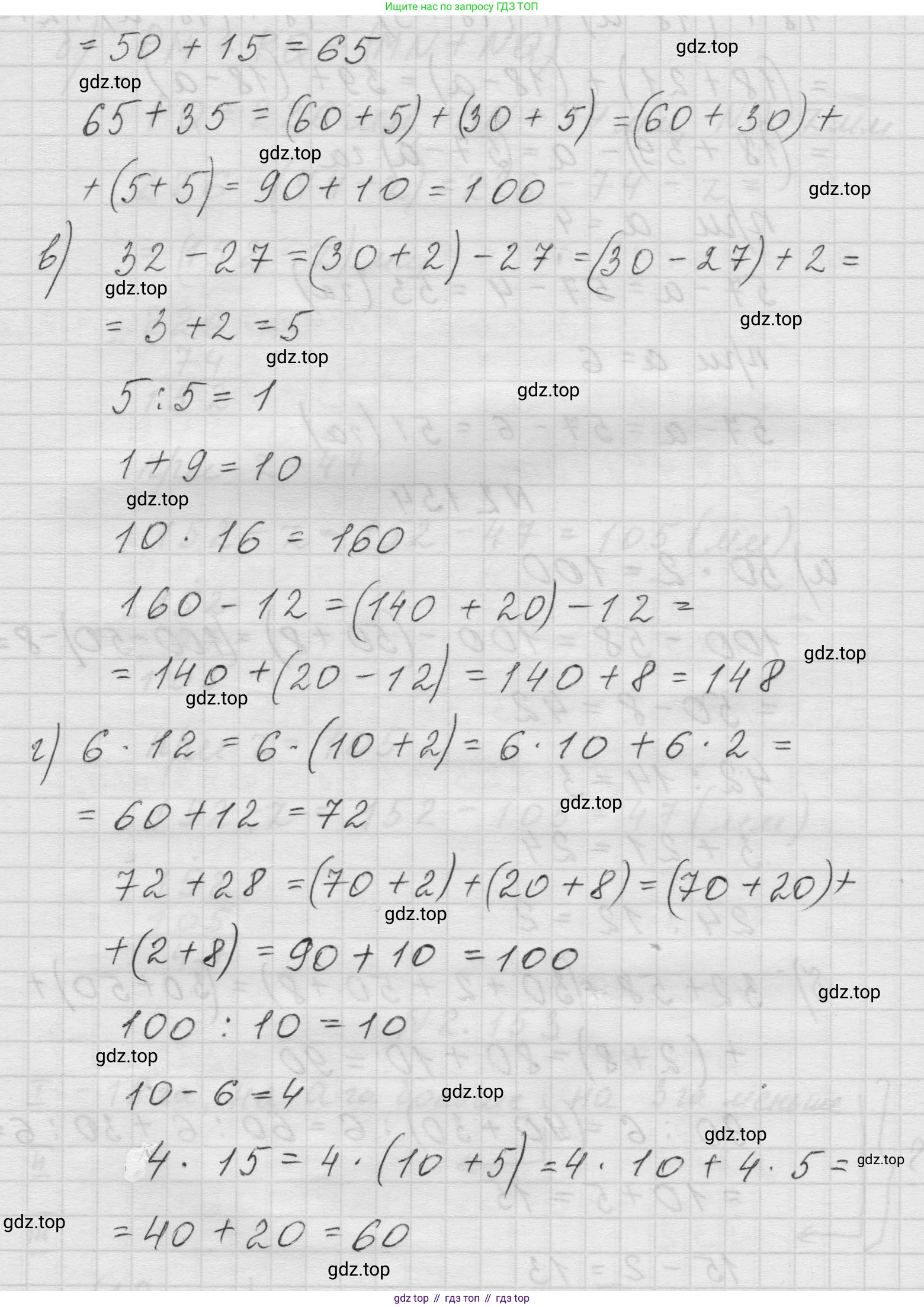
б) 32 + 58 = (30 + 2 + 50 + 8) = (30 +50) + (2 + 8) = 80 + 10 = 90;
90 : 6 = (60 + 30) : 6 = 60 : 6 + 30 : 6 = 10 + 5 = 15;
15 - 2 = 13;
13 · 5 = (10 + 3) · 5 = 10 · 5 + 3 · 5 = 50 + 15 = 65;
65 + 35 = (60 + 5) + (30 + 5) = (60 + 30) + (5 + 5) = 90 + 10 = 100.
в) 32 - 27 = (30 + 2) - 27 = (30 - 27) + 2 = 3 + 2 = 5;
5 : 5 = 1:
1 + 9 = 10:
10 · 16 = 160;
160 - 12 = (140 + 20) - 12 = 140 + (20 - 120 = 140 + 8 = 148.
г) 6 · 12 = 6 · (10 + 2) = 6 · 10 + 6 · 2 = 60 + 12 = 72;
72 + 28 = (70 + 2) + (20 + 8) = (70 + 20) + (2 + 8) = 90 + 10 = 100;
100 : 10 = 10;
10 - 6 = 4
4 · 15 = 4 · (10 + 5) = 4 · 10 + 4 · 5 = 40 + 20 = 60.
д) 32 : 16 = 2;
2 · 25 = 2 · (20 + 5) = 2 · 20 + 2 · 5 = 40 + 10 = 50;
50 + 34 = 50 + (30 + 4) = (50 + 30) + 4 = 84;
84 : 12 = 7;
7 · 10 = 70.
Решение 2. №2.154 (с. 64)
Выполним вычисления по порядку:
1. Первое действие — умножение: $50 \cdot 2 = 100$.
2. Второе действие — вычитание: $100 - 58 = 42$.
3. Третье действие — деление: $42 : 14 = 3$.
4. Четвертое действие — сложение: $3 + 21 = 24$.
5. Пятое действие — деление: $24 : 12 = 2$.
Ответ: 2
б)Выполним вычисления по порядку:
1. Сначала выполним сложение: $32 + 58 = 90$.
2. Затем разделим результат на 6: $90 : 6 = 15$.
3. Вычтем 2: $15 - 2 = 13$.
4. Умножим на 5: $13 \cdot 5 = 65$.
5. Прибавим 35: $65 + 35 = 100$.
Ответ: 100
в)Выполним вычисления по порядку:
1. Первое действие — вычитание: $32 - 27 = 5$.
2. Второе действие — деление: $5 : 5 = 1$.
3. Третье действие — сложение: $1 + 9 = 10$.
4. Четвертое действие — умножение: $10 \cdot 16 = 160$.
5. Пятое действие — вычитание: $160 - 12 = 148$.
Ответ: 148
г)Выполним вычисления по порядку:
1. Сначала выполним умножение: $6 \cdot 12 = 72$.
2. Затем прибавим 28: $72 + 28 = 100$.
3. Разделим результат на 10: $100 : 10 = 10$.
4. Вычтем 6: $10 - 6 = 4$.
5. Умножим на 15: $4 \cdot 15 = 60$.
Ответ: 60
д)Выполним вычисления по порядку:
1. Первое действие — деление: $32 : 16 = 2$.
2. Второе действие — умножение: $2 \cdot 25 = 50$.
3. Третье действие — сложение: $50 + 34 = 84$.
4. Четвертое действие — деление: $84 : 12 = 7$.
5. Пятое действие — умножение: $7 \cdot 10 = 70$.
Ответ: 70
Решение 3. №2.154 (с. 64)

Решение 4. №2.154 (с. 64)

Другие задания:
Помогло решение? Оставьте отзыв в комментариях ниже.
Мы подготовили для вас ответ c подробным объяснением домашего задания по математике за 5 класс, для упражнения номер 2.154 расположенного на странице 64 для 1-й части к учебнику 2023 года издания для учащихся школ и гимназий.
Теперь на нашем сайте ГДЗ.ТОП вы всегда легко и бесплатно найдёте условие с правильным ответом на вопрос «Как решить ДЗ» и «Как сделать» задание по математике к упражнению №2.154 (с. 64), авторов: Виленкин (Наум Яковлевич), Жохов (Владимир Иванович), Чесноков (Александр Семёнович), Александрова (Лилия Александровна), Шварцбурд (Семён Исаакович), 1-й части ФГОС (новый, красный) базовый уровень обучения учебного пособия издательства Просвещение.