Номер 8, страница 143, часть 2 - гдз по математике 5 класс учебник Виленкин, Жохов


Авторы: Виленкин Н. Я., Жохов В. И., Чесноков А. С., Александрова Л. А., Шварцбурд С. И.
Тип: Учебник
Издательство: Просвещение
Год издания: 2023 - 2025
Уровень обучения: базовый
Часть: 2
Цвет обложки: белый, красный, синий с пазлами
Допущено Министерством просвещения Российской Федерации
Популярные ГДЗ в 5 классе
Применяем математику. § 6. Десятичные дроби. Глава 2. Дробные числа. ч. 2 - номер 8, страница 143.
№8 (с. 143)
Условие. №8 (с. 143)
скриншот условия

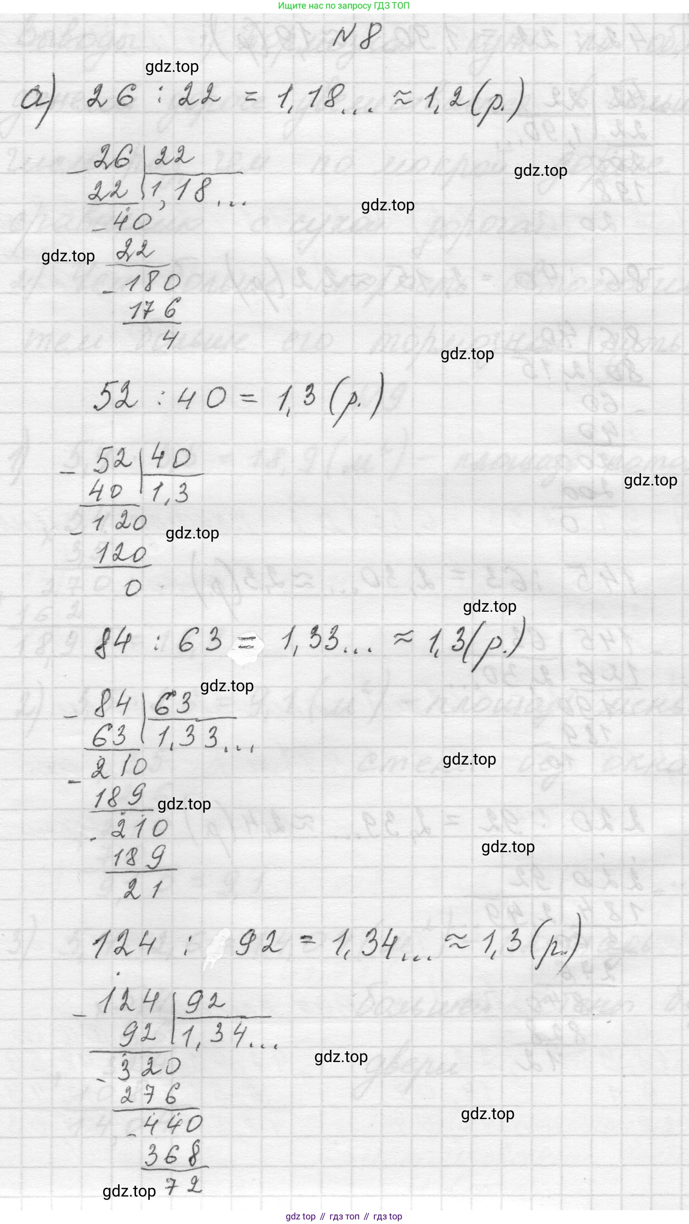
8. В таблице показана зависимость тормозного пути от скорости движения автомобиля. Найдите по сравнению с сухой дорогой, во сколько раз увеличивается тормозной путь автомобиля при движении по: а) мокрой дороге; б) обледенелой дороге. Результат округлите до десятых. Какие выводы можно сделать из полученной информации?
Скорость, км/ч | Тормозной путь до полной остановки автомобиля, м | ||
Сухая дорога | Мокрая дорога | Обледенелая дорога | |
40 | 22 | 26 | 42 |
60 | 40 | 52 | 86 |
80 | 63 | 84 | 145 |
100 | 92 | 124 | 220 |
Решение 1. №8 (с. 143)
Решение 2. №8 (с. 143)
Чтобы найти, во сколько раз увеличивается тормозной путь, необходимо для каждой скорости рассчитать отношение тормозного пути на мокрой или обледенелой дороге к тормозному пути на сухой дороге. Затем, чтобы получить обобщенную оценку, найдем среднее арифметическое этих отношений.
а) мокрой дороге
Вычислим отношение тормозного пути на мокрой дороге к тормозному пути на сухой для каждой скорости:
- При скорости 40 км/ч: $ \frac{26}{22} \approx 1,182 $
- При скорости 60 км/ч: $ \frac{52}{40} = 1,3 $
- При скорости 80 км/ч: $ \frac{84}{63} \approx 1,333 $
- При скорости 100 км/ч: $ \frac{124}{92} \approx 1,348 $
Найдем среднее арифметическое этих значений:
$ \frac{1,182 + 1,3 + 1,333 + 1,348}{4} = \frac{5,163}{4} \approx 1,29 $
Округляем результат до десятых и получаем 1,3.
Ответ: При движении по мокрой дороге тормозной путь увеличивается в среднем в 1,3 раза по сравнению с сухой дорогой.
б) обледенелой дороге
Вычислим отношение тормозного пути на обледенелой дороге к тормозному пути на сухой для каждой скорости:
- При скорости 40 км/ч: $ \frac{42}{22} \approx 1,909 $
- При скорости 60 км/ч: $ \frac{86}{40} = 2,15 $
- При скорости 80 км/ч: $ \frac{145}{63} \approx 2,302 $
- При скорости 100 км/ч: $ \frac{220}{92} \approx 2,391 $
Найдем среднее арифметическое этих значений:
$ \frac{1,909 + 2,15 + 2,302 + 2,391}{4} = \frac{8,752}{4} \approx 2,188 $
Округляем результат до десятых и получаем 2,2.
Ответ: При движении по обледенелой дороге тормозной путь увеличивается в среднем в 2,2 раза по сравнению с сухой дорогой.
Какие выводы можно сделать из полученной информации?
Анализ данных таблицы и результатов расчетов позволяет сделать следующие выводы:
1. Длина тормозного пути критически зависит от состояния дорожного покрытия. На мокрой дороге сцепление шин с дорогой хуже, чем на сухой, а на обледенелой — самое низкое. Это приводит к значительному увеличению тормозного пути.
2. Тормозной путь сильно зависит от скорости движения. Причем зависимость нелинейная: тормозной путь растет быстрее, чем скорость. Например, при увеличении скорости в 2 раза (с 40 до 80 км/ч), тормозной путь на сухой дороге увеличивается почти в 3 раза (с 22 до 63 м). Это связано с тем, что кинетическая энергия автомобиля пропорциональна квадрату его скорости ($E_k \sim v^2$).
3. Наибольшую опасность представляет сочетание высокой скорости и скользкого покрытия (особенно льда). В таких условиях тормозной путь увеличивается в несколько раз, что многократно повышает риск ДТП.
Ответ: Главный вывод заключается в необходимости выбирать скоростной режим в строгом соответствии с дорожными условиями. При движении по мокрой и, в особенности, по обледенелой дороге следует значительно снижать скорость и увеличивать дистанцию до впереди идущего транспорта для обеспечения безопасности.
Решение 3. №8 (с. 143)

Решение 4. №8 (с. 143)

Другие задания:
Помогло решение? Оставьте отзыв в комментариях ниже.
Мы подготовили для вас ответ c подробным объяснением домашего задания по математике за 5 класс, для упражнения номер 8 расположенного на странице 143 для 2-й части к учебнику 2023 года издания для учащихся школ и гимназий.
Теперь на нашем сайте ГДЗ.ТОП вы всегда легко и бесплатно найдёте условие с правильным ответом на вопрос «Как решить ДЗ» и «Как сделать» задание по математике к упражнению №8 (с. 143), авторов: Виленкин (Наум Яковлевич), Жохов (Владимир Иванович), Чесноков (Александр Семёнович), Александрова (Лилия Александровна), Шварцбурд (Семён Исаакович), 2-й части ФГОС (новый, красный) базовый уровень обучения учебного пособия издательства Просвещение.