Номер 8.32, страница 29 - гдз по физике 7-9 класс сборник задач Лукашик, Иванова

Авторы: Лукашик В. И., Иванова Е. В.
Тип: Сборник задач
Издательство: Просвещение
Год издания: 2021 - 2025
Цвет обложки: голубой
ISBN: 978-5-09-090938-9
Популярные ГДЗ в 7 классе
§ 8. Равномерное движение по окружности. Глава 2. Движение и взаимодействие тел - номер 8.32, страница 29.
№8.32 (с. 29)
Условие. №8.32 (с. 29)
скриншот условия

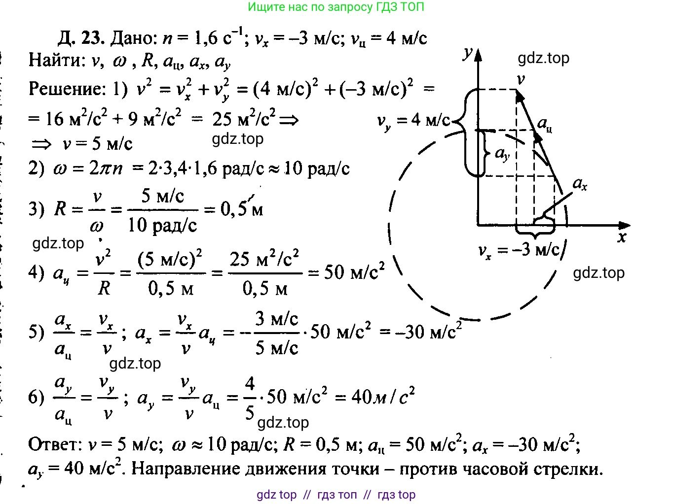
8.32 [Д. 23] Материальная точка движется по окружности с постоянной частотой $1,6 \text{ с}^{-1}$. Изобразите прямоугольную систему координат $XOY$ в плоскости движения материальной точки и началом отсчёта в центре окружности. С помощью рисунка определите направление движения, модуль линейной скорости точки, если известно, что проекции вектора скорости на оси $X$ и $Y$ в некоторый момент времени равны $-3 \text{ м/с}$ и $4 \text{ м/с}$ соответственно. Чему равны радиус окружности, угловая скорость, модуль вектора центростремительного ускорения и его проекции на оси координат в заданный момент времени?
Решение 3. №8.32 (с. 29)

Решение 4. №8.32 (с. 29)

Решение 7. №8.32 (с. 29)
Дано:
Частота движения, $f = 1,6 \text{ с}^{-1}$
Проекция вектора скорости на ось X, $v_x = -3 \text{ м/с}$
Проекция вектора скорости на ось Y, $v_y = 4 \text{ м/с}$
Все данные представлены в системе СИ.
Найти:
Направление движения
Модуль линейной скорости, $v$
Радиус окружности, $R$
Угловую скорость, $\omega$
Модуль центростремительного ускорения, $a_c$
Проекции центростремительного ускорения на оси, $a_x, a_y$
Решение:
Направление движения и модуль линейной скорости точки
Изобразим систему координат XOY с началом в центре окружности. Вектор линейной скорости $\vec{v}$ в любой момент времени касателен к окружности. В заданный момент времени вектор скорости имеет компоненты $\vec{v} = (v_x, v_y) = (-3, 4)$. Это означает, что вектор скорости направлен во второй координатный квадрант (X < 0, Y > 0).
Радиус-вектор $\vec{R}$ материальной точки перпендикулярен вектору скорости $\vec{v}$. Для движения по окружности против часовой стрелки связь между компонентами скорости и координатами $(x, y)$ точки имеет вид: $v_x = -\omega y$ и $v_y = \omega x$, где $\omega$ - положительная угловая скорость. Подставляя наши значения, получаем: $-3 = -\omega y$ и $4 = \omega x$. Отсюда следует, что $x > 0$ и $y > 0$, то есть точка находится в первом квадранте. Движение из первого квадранта с вектором скорости, направленным во второй квадрант, соответствует движению против часовой стрелки.
Если бы движение было по часовой стрелке, то $v_x = \omega y$ и $v_y = -\omega x$. Тогда $-3 = \omega y$ и $4 = -\omega x$, что означало бы, что точка находится в третьем квадранте ($x < 0, y < 0$), а вектор скорости направлен во второй. Это невозможно, так как при движении по часовой стрелке из третьего квадранта скорость была бы направлена в четвертый.
Таким образом, движение происходит против часовой стрелки.
Модуль линейной скорости найдем по теореме Пифагора, зная его проекции: $v = \sqrt{v_x^2 + v_y^2} = \sqrt{(-3)^2 + 4^2} = \sqrt{9 + 16} = \sqrt{25} = 5 \text{ м/с}$.
Ответ: движение происходит против часовой стрелки; модуль линейной скорости равен $5 \text{ м/с}$.
Угловая скорость
Угловая скорость $\omega$ связана с частотой $f$ соотношением: $\omega = 2\pi f = 2\pi \cdot 1,6 = 3,2\pi \text{ рад/с}$.
Ответ: угловая скорость равна $3,2\pi \text{ рад/с}$.
Радиус окружности
Линейная скорость $v$ связана с угловой скоростью $\omega$ и радиусом $R$ формулой $v = \omega R$. Отсюда выразим радиус: $R = \frac{v}{\omega} = \frac{5}{3,2\pi} = \frac{50}{32\pi} = \frac{25}{16\pi} \text{ м}$.
Ответ: радиус окружности равен $\frac{25}{16\pi} \text{ м}$ (приблизительно $0,497 \text{ м}$).
Модуль вектора центростремительного ускорения
Модуль центростремительного ускорения можно вычислить по одной из формул: $a_c = \frac{v^2}{R}$ или $a_c = \omega^2 R$. Используем вторую: $a_c = \omega^2 R = (3,2\pi)^2 \cdot \frac{25}{16\pi} = 10,24\pi^2 \cdot \frac{25}{16\pi} = \frac{10,24 \cdot 25}{16}\pi = 0,64 \cdot 25 \pi = 16\pi \text{ м/с}^2$.
Ответ: модуль вектора центростремительного ускорения равен $16\pi \text{ м/с}^2$ (приблизительно $50,27 \text{ м/с}^2$).
Проекции вектора центростремительного ускорения на оси координат в заданный момент времени
Вектор центростремительного ускорения $\vec{a}_c$ всегда направлен к центру окружности, то есть противоположно радиус-вектору $\vec{R}$. Следовательно, $\vec{a}_c = -\omega^2 \vec{R}$. Проекции ускорения на оси: $a_x = -\omega^2 x$ и $a_y = -\omega^2 y$.
Найдем координаты точки $(x, y)$ в заданный момент времени из соотношений для движения против часовой стрелки: $x = \frac{v_y}{\omega} = \frac{4}{3,2\pi} = \frac{40}{32\pi} = \frac{5}{4\pi} \text{ м}$. $y = \frac{-v_x}{\omega} = \frac{-(-3)}{3,2\pi} = \frac{3}{3,2\pi} = \frac{30}{32\pi} = \frac{15}{16\pi} \text{ м}$.
Теперь вычислим проекции ускорения: $a_x = -\omega^2 x = -(3,2\pi)^2 \cdot \frac{5}{4\pi} = -10,24\pi^2 \cdot \frac{5}{4\pi} = -2,56 \cdot 5 \pi = -12,8\pi \text{ м/с}^2$. $a_y = -\omega^2 y = -(3,2\pi)^2 \cdot \frac{15}{16\pi} = -10,24\pi^2 \cdot \frac{15}{16\pi} = -0,64 \cdot 15 \pi = -9,6\pi \text{ м/с}^2$.
Ответ: проекция вектора центростремительного ускорения на ось X равна $-12,8\pi \text{ м/с}^2$ (приблизительно $-40,21 \text{ м/с}^2$); проекция на ось Y равна $-9,6\pi \text{ м/с}^2$ (приблизительно $-30,16 \text{ м/с}^2$).
Другие задания:
Помогло решение? Оставьте отзыв в комментариях ниже.
Мы подготовили для вас ответ c подробным объяснением домашего задания по физике за 7-9 класс, для упражнения номер 8.32 расположенного на странице 29 к сборнику задач 2021 года издания для учащихся школ и гимназий.
Теперь на нашем сайте ГДЗ.ТОП вы всегда легко и бесплатно найдёте условие с правильным ответом на вопрос «Как решить ДЗ» и «Как сделать» задание по физике к упражнению №8.32 (с. 29), авторов: Лукашик (Владимир Иванович), Иванова (Елена Владимировна), ФГОС (новый, красный) учебного пособия издательства Просвещение.