Страница 101 - гдз по алгебре 11 класс учебник Мерзляк, Номировский

Авторы: Мерзляк А. Г., Номировский Д. А., Полонский В. Б., Якир М. С.
Тип: Учебник
Издательство: Просвещение
Год издания: 2016 - 2025
Уровень обучения: базовый
Цвет обложки: синий, зелёный
Допущено Министерством просвещения Российской Федерации
Математика. Алгебра и начала математического анализа
Популярные ГДЗ в 11 классе
Cтраница 101

№11.8 (с. 101)
Учебник. №11.8 (с. 101)
скриншот условия

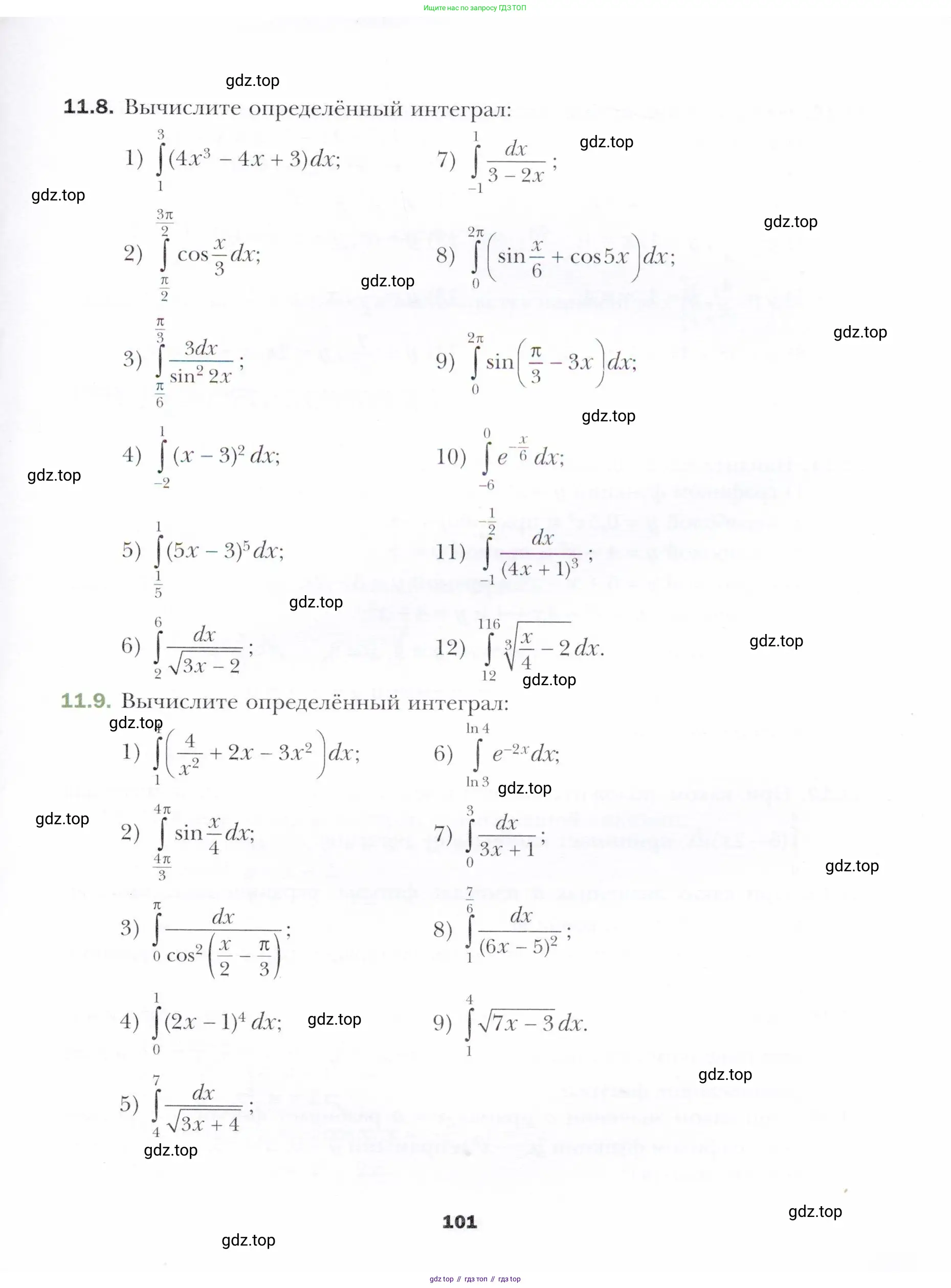
11.8. Вычислите определённый интеграл:
1) $\int_1^3 (4x^3 - 4x + 3)dx;$
2) $\int_{\frac{\pi}{2}}^{\frac{3\pi}{2}} \cos \frac{x}{3} dx;$
3) $\int_{\frac{\pi}{6}}^{\frac{\pi}{3}} \frac{3dx}{\sin^2 2x};$
4) $\int_{-2}^1 (x - 3)^2 dx;$
5) $\int_{\frac{1}{5}}^1 (5x - 3)^5 dx;$
6) $\int_2^6 \frac{dx}{\sqrt{3x - 2}};$
7) $\int_{-1}^1 \frac{dx}{3 - 2x};$
8) $\int_0^{2\pi} (\sin \frac{x}{6} + \cos 5x) dx;$
9) $\int_0^{2\pi} \sin (\frac{\pi}{3} - 3x) dx;$
10) $\int_{-6}^0 e^{-\frac{x}{6}} dx;$
11) $\int_{-1}^{\frac{1}{2}} \frac{dx}{(4x + 1)^3};$
12) $\int_{12}^{116} \sqrt[3]{\frac{x}{4}} - 2 dx.$
Решение. №11.8 (с. 101)


Решение 2. №11.8 (с. 101)
1) Вычислим интеграл $\int_1^3 (4x^3 - 4x + 3)dx$.
Сначала найдем первообразную для подынтегральной функции $f(x) = 4x^3 - 4x + 3$. Используя таблицу интегралов, получаем:
$F(x) = \int (4x^3 - 4x + 3)dx = 4\frac{x^4}{4} - 4\frac{x^2}{2} + 3x = x^4 - 2x^2 + 3x$.
Теперь применим формулу Ньютона-Лейбница $\int_a^b f(x)dx = F(b) - F(a)$:
$\int_1^3 (4x^3 - 4x + 3)dx = (3^4 - 2 \cdot 3^2 + 3 \cdot 3) - (1^4 - 2 \cdot 1^2 + 3 \cdot 1) = (81 - 18 + 9) - (1 - 2 + 3) = 72 - 2 = 70$.
Ответ: $70$.
2) Вычислим интеграл $\int_{\pi/2}^{3\pi/2} \cos\left(\frac{x}{3}\right)dx$.
Первообразная для $f(x) = \cos\left(\frac{x}{3}\right)$ находится по формуле $\int \cos(kx)dx = \frac{1}{k}\sin(kx) + C$. В нашем случае $k = \frac{1}{3}$.
$F(x) = \int \cos\left(\frac{x}{3}\right)dx = \frac{1}{1/3}\sin\left(\frac{x}{3}\right) = 3\sin\left(\frac{x}{3}\right)$.
Применяем формулу Ньютона-Лейбница:
$\int_{\pi/2}^{3\pi/2} \cos\left(\frac{x}{3}\right)dx = 3\sin\left(\frac{3\pi/2}{3}\right) - 3\sin\left(\frac{\pi/2}{3}\right) = 3\sin\left(\frac{\pi}{2}\right) - 3\sin\left(\frac{\pi}{6}\right) = 3 \cdot 1 - 3 \cdot \frac{1}{2} = 3 - \frac{3}{2} = \frac{3}{2}$.
Ответ: $\frac{3}{2}$.
3) Вычислим интеграл $\int_{\pi/6}^{\pi/3} \frac{3dx}{\sin^2(2x)}$.
Первообразная для $f(x) = \frac{3}{\sin^2(2x)}$ находится с использованием табличного интеграла $\int \frac{dx}{\sin^2(kx)} = -\frac{1}{k}\cot(kx) + C$. Здесь $k=2$.
$F(x) = \int \frac{3}{\sin^2(2x)}dx = 3 \cdot \left(-\frac{1}{2}\cot(2x)\right) = -\frac{3}{2}\cot(2x)$.
Применяем формулу Ньютона-Лейбница:
$\int_{\pi/6}^{\pi/3} \frac{3dx}{\sin^2(2x)} = \left(-\frac{3}{2}\cot\left(2 \cdot \frac{\pi}{3}\right)\right) - \left(-\frac{3}{2}\cot\left(2 \cdot \frac{\pi}{6}\right)\right) = -\frac{3}{2}\cot\left(\frac{2\pi}{3}\right) + \frac{3}{2}\cot\left(\frac{\pi}{3}\right)$.
Так как $\cot\left(\frac{2\pi}{3}\right) = -\frac{1}{\sqrt{3}}$ и $\cot\left(\frac{\pi}{3}\right) = \frac{1}{\sqrt{3}}$, получаем:
$-\frac{3}{2}\left(-\frac{1}{\sqrt{3}}\right) + \frac{3}{2}\left(\frac{1}{\sqrt{3}}\right) = \frac{3}{2\sqrt{3}} + \frac{3}{2\sqrt{3}} = \frac{6}{2\sqrt{3}} = \frac{3}{\sqrt{3}} = \sqrt{3}$.
Ответ: $\sqrt{3}$.
4) Вычислим интеграл $\int_{-2}^1 (x-3)^2 dx$.
Для нахождения первообразной используем формулу $\int (ax+b)^n dx = \frac{1}{a}\frac{(ax+b)^{n+1}}{n+1} + C$. Здесь $a=1, b=-3, n=2$.
$F(x) = \int (x-3)^2 dx = \frac{(x-3)^{2+1}}{2+1} = \frac{(x-3)^3}{3}$.
Применяем формулу Ньютона-Лейбница:
$\int_{-2}^1 (x-3)^2 dx = \frac{(1-3)^3}{3} - \frac{(-2-3)^3}{3} = \frac{(-2)^3}{3} - \frac{(-5)^3}{3} = \frac{-8}{3} - \frac{-125}{3} = \frac{-8+125}{3} = \frac{117}{3} = 39$.
Ответ: $39$.
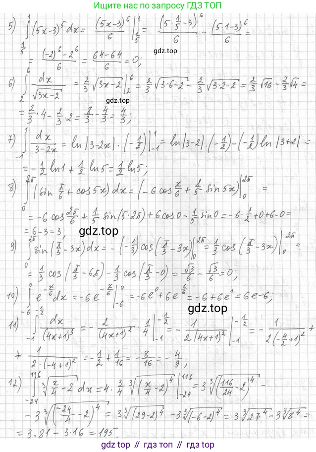
5) Вычислим интеграл $\int_{1/5}^1 (5x-3)^5 dx$.
Используем формулу $\int (ax+b)^n dx = \frac{1}{a}\frac{(ax+b)^{n+1}}{n+1} + C$. Здесь $a=5, b=-3, n=5$.
$F(x) = \int (5x-3)^5 dx = \frac{1}{5}\frac{(5x-3)^{5+1}}{5+1} = \frac{(5x-3)^6}{30}$.
Применяем формулу Ньютона-Лейбница:
$\int_{1/5}^1 (5x-3)^5 dx = \frac{(5 \cdot 1 - 3)^6}{30} - \frac{(5 \cdot \frac{1}{5} - 3)^6}{30} = \frac{(2)^6}{30} - \frac{(1-3)^6}{30} = \frac{64}{30} - \frac{(-2)^6}{30} = \frac{64}{30} - \frac{64}{30} = 0$.
Ответ: $0$.
6) Вычислим интеграл $\int_2^6 \frac{dx}{\sqrt{3x-2}}$.
Перепишем подынтегральное выражение в виде $(3x-2)^{-1/2}$. Используем формулу для степенной функции.
$F(x) = \int (3x-2)^{-1/2} dx = \frac{1}{3}\frac{(3x-2)^{-1/2+1}}{-1/2+1} = \frac{1}{3}\frac{(3x-2)^{1/2}}{1/2} = \frac{2}{3}\sqrt{3x-2}$.
Применяем формулу Ньютона-Лейбница:
$\int_2^6 (3x-2)^{-1/2} dx = \frac{2}{3}\sqrt{3 \cdot 6 - 2} - \frac{2}{3}\sqrt{3 \cdot 2 - 2} = \frac{2}{3}\sqrt{16} - \frac{2}{3}\sqrt{4} = \frac{2}{3} \cdot 4 - \frac{2}{3} \cdot 2 = \frac{8}{3} - \frac{4}{3} = \frac{4}{3}$.
Ответ: $\frac{4}{3}$.
7) Вычислим интеграл $\int_{-1}^1 \frac{dx}{3-2x}$.
Первообразная находится с помощью формулы $\int \frac{dx}{ax+b} = \frac{1}{a}\ln|ax+b|+C$. Здесь $a=-2, b=3$.
$F(x) = \int \frac{dx}{3-2x} = \frac{1}{-2}\ln|3-2x| = -\frac{1}{2}\ln|3-2x|$.
Применяем формулу Ньютона-Лейбница:
$\int_{-1}^1 \frac{dx}{3-2x} = \left(-\frac{1}{2}\ln|3-2 \cdot 1|\right) - \left(-\frac{1}{2}\ln|3-2(-1)|\right) = -\frac{1}{2}\ln|1| - \left(-\frac{1}{2}\ln|5|\right) = 0 + \frac{1}{2}\ln(5) = \frac{\ln 5}{2}$.
Ответ: $\frac{\ln 5}{2}$.
8) Вычислим интеграл $\int_0^{2\pi} \left(\sin\left(\frac{x}{6}\right) + \cos(5x)\right)dx$.
Интеграл суммы равен сумме интегралов. Найдем первообразную для каждого слагаемого:
$F(x) = \int \left(\sin\left(\frac{x}{6}\right) + \cos(5x)\right)dx = \frac{1}{1/6}(-\cos\left(\frac{x}{6}\right)) + \frac{1}{5}\sin(5x) = -6\cos\left(\frac{x}{6}\right) + \frac{1}{5}\sin(5x)$.
Применяем формулу Ньютона-Лейбница:
$\int_0^{2\pi} \left(\sin\left(\frac{x}{6}\right) + \cos(5x)\right)dx = \left(-6\cos\left(\frac{2\pi}{6}\right) + \frac{1}{5}\sin(5 \cdot 2\pi)\right) - \left(-6\cos(0) + \frac{1}{5}\sin(0)\right)$.
$\left(-6\cos\left(\frac{\pi}{3}\right) + \frac{1}{5}\sin(10\pi)\right) - (-6 \cdot 1 + 0) = \left(-6 \cdot \frac{1}{2} + 0\right) - (-6) = -3 + 6 = 3$.
Ответ: $3$.
9) Вычислим интеграл $\int_0^{2\pi} \sin\left(\frac{\pi}{3} - 3x\right)dx$.
Первообразная для $f(x) = \sin\left(\frac{\pi}{3} - 3x\right)$ находится по формуле $\int \sin(kx+b)dx = -\frac{1}{k}\cos(kx+b)+C$. Здесь $k=-3, b=\pi/3$.
$F(x) = \int \sin\left(\frac{\pi}{3} - 3x\right)dx = -\frac{1}{-3}\cos\left(\frac{\pi}{3} - 3x\right) = \frac{1}{3}\cos\left(\frac{\pi}{3} - 3x\right)$.
Применяем формулу Ньютона-Лейбница:
$\int_0^{2\pi} \sin\left(\frac{\pi}{3} - 3x\right)dx = \frac{1}{3}\cos\left(\frac{\pi}{3} - 3 \cdot 2\pi\right) - \frac{1}{3}\cos\left(\frac{\pi}{3} - 0\right) = \frac{1}{3}\cos\left(\frac{\pi}{3} - 6\pi\right) - \frac{1}{3}\cos\left(\frac{\pi}{3}\right)$.
Используя периодичность косинуса $\cos(y - 2k\pi) = \cos(y)$, получаем:
$\frac{1}{3}\cos\left(\frac{\pi}{3}\right) - \frac{1}{3}\cos\left(\frac{\pi}{3}\right) = 0$.
Ответ: $0$.
10) Вычислим интеграл $\int_{-6}^0 e^{x/6} dx$.
Первообразная для $f(x) = e^{x/6}$ находится по формуле $\int e^{kx}dx = \frac{1}{k}e^{kx}+C$. Здесь $k=1/6$.
$F(x) = \int e^{x/6} dx = \frac{1}{1/6}e^{x/6} = 6e^{x/6}$.
Применяем формулу Ньютона-Лейбница:
$\int_{-6}^0 e^{x/6} dx = 6e^{0/6} - 6e^{-6/6} = 6e^0 - 6e^{-1} = 6 \cdot 1 - 6 \cdot \frac{1}{e} = 6 - \frac{6}{e} = 6\left(1 - \frac{1}{e}\right)$.
Ответ: $6\left(1 - \frac{1}{e}\right)$.
11) Вычислим интеграл $\int_{-1}^{1/2} \frac{dx}{(4x+1)^3}$.
Перепишем интеграл как $\int_{-1}^{1/2} (4x+1)^{-3} dx$. Используем формулу для степенной функции.
$F(x) = \int (4x+1)^{-3} dx = \frac{1}{4}\frac{(4x+1)^{-3+1}}{-3+1} = \frac{1}{4}\frac{(4x+1)^{-2}}{-2} = -\frac{1}{8(4x+1)^2}$.
Применяем формулу Ньютона-Лейбница:
$\int_{-1}^{1/2} \frac{dx}{(4x+1)^3} = \left(-\frac{1}{8(4 \cdot \frac{1}{2} + 1)^2}\right) - \left(-\frac{1}{8(4(-1)+1)^2}\right) = \left(-\frac{1}{8(2+1)^2}\right) - \left(-\frac{1}{8(-3)^2}\right)$.
$-\frac{1}{8 \cdot 3^2} - \left(-\frac{1}{8 \cdot 9}\right) = -\frac{1}{72} + \frac{1}{72} = 0$.
Ответ: $0$.
12) Вычислим интеграл $\int_{12}^{116} \sqrt[3]{\frac{x}{4}-2} dx$.
Перепишем интеграл как $\int_{12}^{116} \left(\frac{x}{4}-2\right)^{1/3} dx$. Используем формулу для степенной функции.
$F(x) = \int \left(\frac{x}{4}-2\right)^{1/3} dx = \frac{1}{1/4} \frac{\left(\frac{x}{4}-2\right)^{1/3+1}}{1/3+1} = 4 \frac{\left(\frac{x}{4}-2\right)^{4/3}}{4/3} = 3\left(\frac{x}{4}-2\right)^{4/3}$.
Применяем формулу Ньютона-Лейбница:
$\int_{12}^{116} \left(\frac{x}{4}-2\right)^{1/3} dx = 3\left(\frac{116}{4}-2\right)^{4/3} - 3\left(\frac{12}{4}-2\right)^{4/3} = 3(29-2)^{4/3} - 3(3-2)^{4/3}$.
$3(27)^{4/3} - 3(1)^{4/3} = 3(\sqrt[3]{27})^4 - 3 \cdot 1 = 3(3^4) - 3 = 3 \cdot 81 - 3 = 243 - 3 = 240$.
Ответ: $240$.
№11.9 (с. 101)
Учебник. №11.9 (с. 101)
скриншот условия

11.9. Вычислите определённый интеграл:
1) $\int_1^4 \left(\frac{4}{x^2} + 2x - 3x^2\right) dx;$
2) $\int_{\frac{4\pi}{3}}^{4\pi} \sin \frac{x}{4} dx;$
3) $\int_0^\pi \frac{dx}{\cos^2\left(\frac{x}{2} - \frac{\pi}{3}\right)};$
4) $\int_0^1 (2x - 1)^4 dx;$
5) $\int_4^7 \frac{dx}{\sqrt{3x + 4}};$
6) $\int_{\ln 3}^{\ln 4} e^{-2x} dx;$
7) $\int_0^3 \frac{dx}{3x + 1};$
8) $\int_1^{\frac{7}{6}} \frac{dx}{(6x - 5)^2};$
9) $\int_1^4 \sqrt{7x - 3} dx.$
Решение. №11.9 (с. 101)


Решение 2. №11.9 (с. 101)
1) Для вычисления интеграла $\int_{1}^{4} (\frac{4}{x^2} + 2x - 3x^2) dx$ найдем первообразную подынтегральной функции $f(x) = 4x^{-2} + 2x - 3x^2$.
Первообразная $F(x) = \int (4x^{-2} + 2x - 3x^2) dx = 4\frac{x^{-1}}{-1} + 2\frac{x^2}{2} - 3\frac{x^3}{3} = -\frac{4}{x} + x^2 - x^3$.
По формуле Ньютона-Лейбница $\int_{a}^{b} f(x) dx = F(b) - F(a)$:
$\int_{1}^{4} (\frac{4}{x^2} + 2x - 3x^2) dx = (-\frac{4}{4} + 4^2 - 4^3) - (-\frac{4}{1} + 1^2 - 1^3) = (-1 + 16 - 64) - (-4 + 1 - 1) = -49 - (-4) = -45$.
Ответ: $-45$
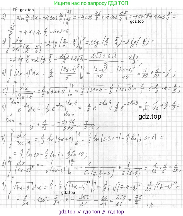
2) Для вычисления интеграла $\int_{4\pi/3}^{4\pi} \sin\frac{x}{4} dx$ найдем первообразную функции $f(x) = \sin\frac{x}{4}$.
Первообразная $F(x) = \int \sin\frac{x}{4} dx = -4\cos\frac{x}{4}$.
По формуле Ньютона-Лейбница:
$\int_{4\pi/3}^{4\pi} \sin\frac{x}{4} dx = [-4\cos\frac{x}{4}]_{4\pi/3}^{4\pi} = -4\cos(\frac{4\pi}{4}) - (-4\cos(\frac{4\pi/3}{4})) = -4\cos(\pi) + 4\cos(\frac{\pi}{3}) = -4(-1) + 4(\frac{1}{2}) = 4 + 2 = 6$.
Ответ: $6$
3) Для вычисления интеграла $\int_{0}^{\pi} \frac{dx}{\cos^2(\frac{x}{2} - \frac{\pi}{3})}$ найдем первообразную функции $f(x) = \frac{1}{\cos^2(\frac{x}{2} - \frac{\pi}{3})}$.
Первообразная $F(x) = \int \frac{dx}{\cos^2(\frac{x}{2} - \frac{\pi}{3})} = 2\tan(\frac{x}{2} - \frac{\pi}{3})$.
По формуле Ньютона-Лейбница:
$\int_{0}^{\pi} \frac{dx}{\cos^2(\frac{x}{2} - \frac{\pi}{3})} = [2\tan(\frac{x}{2} - \frac{\pi}{3})]_{0}^{\pi} = 2\tan(\frac{\pi}{2} - \frac{\pi}{3}) - 2\tan(0 - \frac{\pi}{3}) = 2\tan(\frac{\pi}{6}) - 2\tan(-\frac{\pi}{3}) = 2(\frac{\sqrt{3}}{3}) + 2\tan(\frac{\pi}{3}) = \frac{2\sqrt{3}}{3} + 2\sqrt{3} = \frac{2\sqrt{3} + 6\sqrt{3}}{3} = \frac{8\sqrt{3}}{3}$.
Ответ: $\frac{8\sqrt{3}}{3}$
4) Для вычисления интеграла $\int_{0}^{1} (2x - 1)^4 dx$ найдем первообразную функции $f(x) = (2x - 1)^4$.
Первообразная $F(x) = \int (2x - 1)^4 dx = \frac{1}{2}\frac{(2x - 1)^5}{5} = \frac{(2x-1)^5}{10}$.
По формуле Ньютона-Лейбница:
$\int_{0}^{1} (2x - 1)^4 dx = [\frac{(2x - 1)^5}{10}]_{0}^{1} = \frac{(2\cdot1 - 1)^5}{10} - \frac{(2\cdot0 - 1)^5}{10} = \frac{1^5}{10} - \frac{(-1)^5}{10} = \frac{1}{10} - (-\frac{1}{10}) = \frac{2}{10} = \frac{1}{5}$.
Ответ: $\frac{1}{5}$
5) Для вычисления интеграла $\int_{4}^{7} \frac{dx}{\sqrt{3x+4}}$ перепишем подынтегральную функцию как $f(x) = (3x+4)^{-1/2}$.
Первообразная $F(x) = \int (3x+4)^{-1/2} dx = \frac{1}{3}\frac{(3x+4)^{1/2}}{1/2} = \frac{2}{3}\sqrt{3x+4}$.
По формуле Ньютона-Лейбница:
$\int_{4}^{7} \frac{dx}{\sqrt{3x+4}} = [\frac{2}{3}\sqrt{3x+4}]_{4}^{7} = \frac{2}{3}\sqrt{3\cdot7+4} - \frac{2}{3}\sqrt{3\cdot4+4} = \frac{2}{3}\sqrt{25} - \frac{2}{3}\sqrt{16} = \frac{2}{3}\cdot5 - \frac{2}{3}\cdot4 = \frac{10}{3} - \frac{8}{3} = \frac{2}{3}$.
Ответ: $\frac{2}{3}$
6) Для вычисления интеграла $\int_{\ln 3}^{\ln 4} e^{-2x} dx$ найдем первообразную функции $f(x) = e^{-2x}$.
Первообразная $F(x) = \int e^{-2x} dx = -\frac{1}{2}e^{-2x}$.
По формуле Ньютона-Лейбница:
$\int_{\ln 3}^{\ln 4} e^{-2x} dx = [-\frac{1}{2}e^{-2x}]_{\ln 3}^{\ln 4} = -\frac{1}{2}e^{-2\ln 4} - (-\frac{1}{2}e^{-2\ln 3}) = -\frac{1}{2}e^{\ln(4^{-2})} + \frac{1}{2}e^{\ln(3^{-2})} = -\frac{1}{2} \cdot 4^{-2} + \frac{1}{2} \cdot 3^{-2} = -\frac{1}{2 \cdot 16} + \frac{1}{2 \cdot 9} = -\frac{1}{32} + \frac{1}{18} = \frac{-9+16}{288} = \frac{7}{288}$.
Ответ: $\frac{7}{288}$
7) Для вычисления интеграла $\int_{0}^{3} \frac{dx}{3x+1}$ найдем первообразную функции $f(x) = \frac{1}{3x+1}$.
Первообразная $F(x) = \int \frac{dx}{3x+1} = \frac{1}{3}\ln|3x+1|$. В пределах интегрирования от 0 до 3 выражение $3x+1 > 0$, поэтому модуль можно опустить.
По формуле Ньютона-Лейбница:
$\int_{0}^{3} \frac{dx}{3x+1} = [\frac{1}{3}\ln(3x+1)]_{0}^{3} = \frac{1}{3}\ln(3\cdot3+1) - \frac{1}{3}\ln(3\cdot0+1) = \frac{1}{3}\ln(10) - \frac{1}{3}\ln(1) = \frac{\ln 10}{3} - 0 = \frac{\ln 10}{3}$.
Ответ: $\frac{\ln 10}{3}$
8) Для вычисления интеграла $\int_{1}^{7/6} \frac{dx}{(6x-5)^2}$ перепишем подынтегральную функцию как $f(x) = (6x-5)^{-2}$.
Первообразная $F(x) = \int (6x-5)^{-2} dx = \frac{1}{6}\frac{(6x-5)^{-1}}{-1} = -\frac{1}{6(6x-5)}$.
По формуле Ньютона-Лейбница:
$\int_{1}^{7/6} \frac{dx}{(6x-5)^2} = [-\frac{1}{6(6x-5)}]_{1}^{7/6} = -\frac{1}{6(6\cdot\frac{7}{6}-5)} - (-\frac{1}{6(6\cdot1-5)}) = -\frac{1}{6(7-5)} + \frac{1}{6(1)} = -\frac{1}{12} + \frac{1}{6} = \frac{-1+2}{12} = \frac{1}{12}$.
Ответ: $\frac{1}{12}$
9) Для вычисления интеграла $\int_{1}^{4} \sqrt{7x-3} dx$ перепишем подынтегральную функцию как $f(x) = (7x-3)^{1/2}$.
Первообразная $F(x) = \int (7x-3)^{1/2} dx = \frac{1}{7}\frac{(7x-3)^{3/2}}{3/2} = \frac{2}{21}(7x-3)^{3/2}$.
По формуле Ньютона-Лейбница:
$\int_{1}^{4} \sqrt{7x-3} dx = [\frac{2}{21}(7x-3)^{3/2}]_{1}^{4} = \frac{2}{21}(7\cdot4-3)^{3/2} - \frac{2}{21}(7\cdot1-3)^{3/2} = \frac{2}{21}(25)^{3/2} - \frac{2}{21}(4)^{3/2} = \frac{2}{21}(5^3) - \frac{2}{21}(2^3) = \frac{2}{21}(125-8) = \frac{2 \cdot 117}{21} = \frac{2 \cdot 3 \cdot 39}{3 \cdot 7} = \frac{2 \cdot 39}{7} = \frac{78}{7}$.
Ответ: $\frac{78}{7}$
Помогло решение? Оставьте отзыв в комментариях ниже.