Страница 103 - гдз по алгебре 11 класс учебник Мерзляк, Номировский

Авторы: Мерзляк А. Г., Номировский Д. А., Полонский В. Б., Якир М. С.
Тип: Учебник
Издательство: Просвещение
Год издания: 2016 - 2025
Уровень обучения: базовый
Цвет обложки: синий, зелёный
Допущено Министерством просвещения Российской Федерации
Математика. Алгебра и начала математического анализа
Популярные ГДЗ в 11 классе
Cтраница 103

№11.17 (с. 103)
Учебник. №11.17 (с. 103)
скриншот условия

11.17. При каких значениях a выполняется неравенство:
1) $\int_{0}^{a}(4-2x)dx < 3$, где $a > 0$;
2) $\int_{\log_{0,2}6}^{a} 0,2^x dx > \frac{19}{\ln 0,2}$, где $a > \log_{0,2} 6$?
Решение. №11.17 (с. 103)

Решение 2. №11.17 (с. 103)
1) Сначала вычислим определенный интеграл в левой части неравенства, используя формулу Ньютона-Лейбница. Первообразная для функции $f(x) = 4 - 2x$ есть $F(x) = 4x - x^2$. $$ \int_{0}^{a} (4 - 2x) \, dx = (4x - x^2) \bigg|_{0}^{a} = (4a - a^2) - (4 \cdot 0 - 0^2) = 4a - a^2 $$ Теперь подставим полученное выражение в исходное неравенство: $$ 4a - a^2 < 3 $$ Перенесем все члены в одну сторону, чтобы получить квадратное неравенство: $$ -a^2 + 4a - 3 < 0 $$ Умножим обе части на $-1$ и изменим знак неравенства на противоположный: $$ a^2 - 4a + 3 > 0 $$ Найдем корни соответствующего квадратного уравнения $a^2 - 4a + 3 = 0$. По теореме Виета, сумма корней равна $4$, а произведение равно $3$. Следовательно, корни $a_1 = 1$ и $a_2 = 3$. Парабола $y = a^2 - 4a + 3$ направлена ветвями вверх, поэтому неравенство $a^2 - 4a + 3 > 0$ выполняется, когда $a$ находится вне интервала между корнями, то есть при $a < 1$ или $a > 3$. По условию задачи, $a > 0$. Найдем пересечение полученного решения с этим условием: $$ (a < 1 \text{ или } a > 3) \text{ и } a > 0 $$ Это дает нам два интервала: $0 < a < 1$ и $a > 3$.
Ответ: $a \in (0; 1) \cup (3; +\infty)$.
2) Вычислим определенный интеграл. Первообразная для функции $f(x) = 0.2^x$ находится по формуле $\int b^x dx = \frac{b^x}{\ln b}$. Таким образом, $F(x) = \frac{0.2^x}{\ln 0.2}$. Применим формулу Ньютона-Лейбница: $$ \int_{\log_{0.2} 6}^{a} 0.2^x \, dx = \frac{0.2^x}{\ln 0.2} \bigg|_{\log_{0.2} 6}^{a} = \frac{0.2^a}{\ln 0.2} - \frac{0.2^{\log_{0.2} 6}}{\ln 0.2} $$ Используя основное логарифмическое тождество $b^{\log_b c} = c$, получаем $0.2^{\log_{0.2} 6} = 6$. Тогда интеграл равен: $$ \frac{0.2^a - 6}{\ln 0.2} $$ Подставим это выражение в исходное неравенство: $$ \frac{0.2^a - 6}{\ln 0.2} > \frac{19}{\ln 0.2} $$ Так как основание натурального логарифма $e \approx 2.718$, а $0.2 < 1$, то $\ln 0.2 < 0$. При умножении обеих частей неравенства на отрицательное число $\ln 0.2$ знак неравенства меняется на противоположный: $$ 0.2^a - 6 < 19 $$ $$ 0.2^a < 25 $$ Представим $0.2$ как $5^{-1}$ и $25$ как $5^2$: $$ (5^{-1})^a < 5^2 $$ $$ 5^{-a} < 5^2 $$ Так как основание степени $5 > 1$, показательная функция является возрастающей. Следовательно, можно сравнить показатели, сохранив знак неравенства: $$ -a < 2 $$ $$ a > -2 $$ По условию задачи $a > \log_{0.2} 6$. Сравним $\log_{0.2} 6$ и $-2$. Представим $-2$ в виде логарифма с основанием $0.2$: $$ -2 = -2 \cdot \log_{0.2} 0.2 = \log_{0.2} (0.2^{-2}) = \log_{0.2} \left(\left(\frac{1}{5}\right)^{-2}\right) = \log_{0.2} 25 $$ Теперь нужно сравнить $\log_{0.2} 6$ и $\log_{0.2} 25$. Так как основание логарифма $0.2$ находится в интервале $(0; 1)$, логарифмическая функция является убывающей. Поскольку $6 < 25$, то $\log_{0.2} 6 > \log_{0.2} 25$. Следовательно, $\log_{0.2} 6 > -2$. Мы имеем систему из двух неравенств: $$ \begin{cases} a > -2 \\ a > \log_{0.2} 6 \end{cases} $$ Так как $\log_{0.2} 6 > -2$, решением системы является $a > \log_{0.2} 6$.
Ответ: $a \in (\log_{0.2} 6; +\infty)$.
№11.18 (с. 103)
Учебник. №11.18 (с. 103)
скриншот условия

11.18. При каких значениях $a$ выполняется неравенство $\int_{\frac{1}{2}}^{a} \left( \frac{1}{x^2} + 1 \right) dx > 1,5$,
где $a > \frac{1}{2}$?
Решение. №11.18 (с. 103)

Решение 2. №11.18 (с. 103)
Для решения задачи сначала вычислим определенный интеграл в левой части неравенства. Первообразная для подынтегральной функции $f(x) = \frac{1}{x^2} + 1 = x^{-2} + 1$ находится по формуле интегрирования степенной функции:
$F(x) = \int (x^{-2} + 1)dx = \frac{x^{-2+1}}{-2+1} + x = -\frac{1}{x} + x$.
Теперь применим формулу Ньютона-Лейбница для вычисления определенного интеграла:
$\int_{\frac{1}{2}}^{a} \left(\frac{1}{x^2} + 1\right) dx = \left. \left(-\frac{1}{x} + x\right) \right|_{\frac{1}{2}}^{a} = \left(-\frac{1}{a} + a\right) - \left(-\frac{1}{\frac{1}{2}} + \frac{1}{2}\right) = \left(a - \frac{1}{a}\right) - \left(-2 + \frac{1}{2}\right) = a - \frac{1}{a} - \left(-\frac{3}{2}\right) = a - \frac{1}{a} + \frac{3}{2}$.
Подставим полученное выражение в исходное неравенство:
$a - \frac{1}{a} + \frac{3}{2} > 1,5$.
Так как $1,5 = \frac{3}{2}$, неравенство упрощается:
$a - \frac{1}{a} + \frac{3}{2} > \frac{3}{2}$
$a - \frac{1}{a} > 0$.
Приведем левую часть к общему знаменателю:
$\frac{a^2 - 1}{a} > 0$.
По условию задачи $a > \frac{1}{2}$, следовательно, знаменатель $a$ всегда положителен. Поэтому мы можем умножить обе части неравенства на $a$, не меняя знака неравенства, что равносильно решению неравенства для числителя:
$a^2 - 1 > 0$.
Разложим левую часть на множители:
$(a - 1)(a + 1) > 0$.
Решением этого неравенства является объединение интервалов $a \in (-\infty, -1) \cup (1, \infty)$.
Теперь учтем исходное ограничение $a > \frac{1}{2}$. Найдем пересечение множества решений неравенства с этим ограничением:
$\left((-\infty, -1) \cup (1, \infty)\right) \cap \left(\frac{1}{2}, \infty\right)$.
Пересечением является интервал $(1, \infty)$.
Таким образом, неравенство выполняется при $a > 1$.
Ответ: $a > 1$.
№11.19 (с. 103)
Учебник. №11.19 (с. 103)
скриншот условия

11.19. Вычислите определённый интеграл:
1) $\int_{0}^{\frac{\pi}{12}} \tan^2 3x \,dx;$
2) $\int_{-\pi}^{0} 2\sin^2 \frac{x}{4} \,dx;$
3) $\int_{0}^{\frac{\pi}{2}} \cos 3x \cos x \,dx;$
4) $\int_{1}^{2} \frac{e^x + x^3}{x^3 e^x} \,dx.$
Решение. №11.19 (с. 103)


Решение 2. №11.19 (с. 103)
1) Для вычисления интеграла $\int_0^{\frac{\pi}{12}} \tg^2 3x \,dx$ воспользуемся основным тригонометрическим тождеством, выраженным через тангенс и секанс: $\tg^2 \alpha + 1 = \sec^2 \alpha$, или $\tg^2 \alpha = \sec^2 \alpha - 1$. В нашем случае, $\tg^2 3x = \frac{1}{\cos^2 3x} - 1$.
Таким образом, интеграл принимает вид:
$\int_0^{\frac{\pi}{12}} \left(\frac{1}{\cos^2 3x} - 1\right) dx$
Теперь найдём первообразную. Первообразная для $\frac{1}{\cos^2 3x}$ равна $\frac{1}{3}\tg 3x$, а первообразная для $1$ равна $x$.
Применяя формулу Ньютона-Лейбница, получаем:
$\int_0^{\frac{\pi}{12}} \left(\frac{1}{\cos^2 3x} - 1\right) dx = \left. \left(\frac{1}{3}\tg 3x - x\right) \right|_0^{\frac{\pi}{12}} = \left(\frac{1}{3}\tg\left(3 \cdot \frac{\pi}{12}\right) - \frac{\pi}{12}\right) - \left(\frac{1}{3}\tg(3 \cdot 0) - 0\right)$
Вычислим значения:
$\left(\frac{1}{3}\tg\left(\frac{\pi}{4}\right) - \frac{\pi}{12}\right) - \left(\frac{1}{3}\tg(0) - 0\right) = \left(\frac{1}{3} \cdot 1 - \frac{\pi}{12}\right) - (0 - 0) = \frac{1}{3} - \frac{\pi}{12}$.
Ответ: $\frac{1}{3} - \frac{\pi}{12}$.
2) Для вычисления интеграла $\int_{-\pi}^0 2\sin^2 \frac{x}{4} \,dx$ используем формулу понижения степени для синуса: $2\sin^2 \alpha = 1 - \cos(2\alpha)$.
В нашем случае $\alpha = \frac{x}{4}$, значит $2\alpha = 2 \cdot \frac{x}{4} = \frac{x}{2}$.
Подставим это в подынтегральное выражение:
$\int_{-\pi}^0 (1 - \cos \frac{x}{2}) \,dx$
Найдём первообразную. Первообразная для $1$ равна $x$, а для $\cos \frac{x}{2}$ равна $2\sin \frac{x}{2}$.
Применим формулу Ньютона-Лейбница:
$\left. \left(x - 2\sin \frac{x}{2}\right) \right|_{-\pi}^0 = \left(0 - 2\sin \frac{0}{2}\right) - \left(-\pi - 2\sin \frac{-\pi}{2}\right)$
Вычислим значения:
$(0 - 2\sin 0) - (-\pi - 2(-1)) = (0 - 0) - (-\pi + 2) = -(-\pi + 2) = \pi - 2$.
Ответ: $\pi - 2$.
3) Для вычисления интеграла $\int_0^{\frac{\pi}{2}} \cos 3x \cos x \,dx$ используем формулу преобразования произведения косинусов в сумму: $\cos \alpha \cos \beta = \frac{1}{2}(\cos(\alpha + \beta) + \cos(\alpha - \beta))$.
В нашем случае $\alpha = 3x$ и $\beta = x$.
$\cos 3x \cos x = \frac{1}{2}(\cos(3x+x) + \cos(3x-x)) = \frac{1}{2}(\cos 4x + \cos 2x)$.
Интеграл принимает вид:
$\int_0^{\frac{\pi}{2}} \frac{1}{2}(\cos 4x + \cos 2x) \,dx = \frac{1}{2} \int_0^{\frac{\pi}{2}} (\cos 4x + \cos 2x) \,dx$
Найдём первообразную:
$\frac{1}{2} \left. \left(\frac{1}{4}\sin 4x + \frac{1}{2}\sin 2x\right) \right|_0^{\frac{\pi}{2}} = \frac{1}{2} \left[ \left(\frac{1}{4}\sin\left(4 \cdot \frac{\pi}{2}\right) + \frac{1}{2}\sin\left(2 \cdot \frac{\pi}{2}\right)\right) - \left(\frac{1}{4}\sin(0) + \frac{1}{2}\sin(0)\right) \right]$
Вычислим значения:
$\frac{1}{2} \left[ \left(\frac{1}{4}\sin(2\pi) + \frac{1}{2}\sin(\pi)\right) - (0 + 0) \right] = \frac{1}{2} \left[ \left(\frac{1}{4} \cdot 0 + \frac{1}{2} \cdot 0\right) - 0 \right] = 0$.
Ответ: $0$.
4) Для вычисления интеграла $\int_1^2 \frac{e^x + x^3}{x^3 e^x} \,dx$ сначала упростим подынтегральное выражение, разделив числитель на знаменатель почленно:
$\frac{e^x + x^3}{x^3 e^x} = \frac{e^x}{x^3 e^x} + \frac{x^3}{x^3 e^x} = \frac{1}{x^3} + \frac{1}{e^x} = x^{-3} + e^{-x}$.
Теперь проинтегрируем полученное выражение:
$\int_1^2 (x^{-3} + e^{-x}) \,dx$
Найдём первообразную. Первообразная для $x^{-3}$ равна $\frac{x^{-2}}{-2} = -\frac{1}{2x^2}$, а для $e^{-x}$ равна $-e^{-x}$.
Применим формулу Ньютона-Лейбница:
$\left. \left(-\frac{1}{2x^2} - e^{-x}\right) \right|_1^2 = \left(-\frac{1}{2 \cdot 2^2} - e^{-2}\right) - \left(-\frac{1}{2 \cdot 1^2} - e^{-1}\right)$
Вычислим значения:
$\left(-\frac{1}{8} - e^{-2}\right) - \left(-\frac{1}{2} - e^{-1}\right) = -\frac{1}{8} - e^{-2} + \frac{1}{2} + e^{-1} = \frac{4-1}{8} + e^{-1} - e^{-2} = \frac{3}{8} + \frac{1}{e} - \frac{1}{e^2}$.
Ответ: $\frac{3}{8} + \frac{1}{e} - \frac{1}{e^2}$.
№11.20 (с. 103)
Учебник. №11.20 (с. 103)
скриншот условия

11.20. Вычислите определённый интеграл:
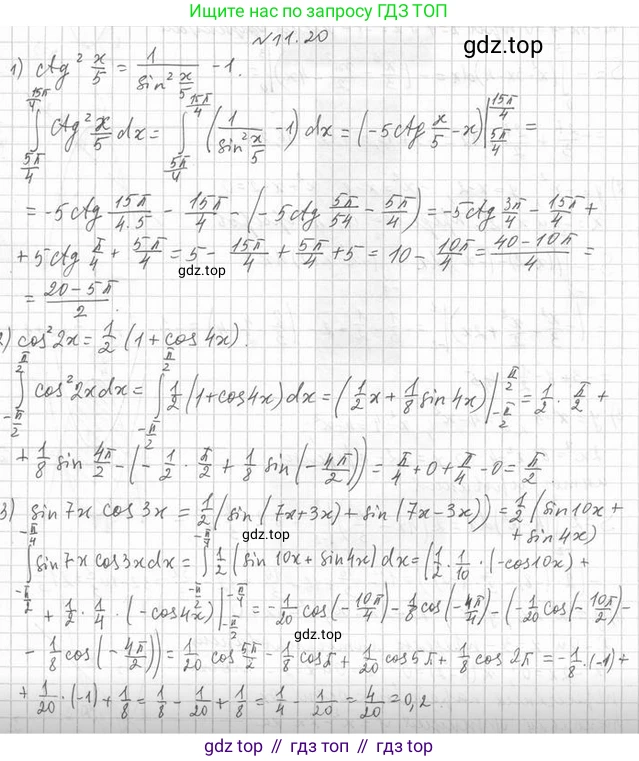
1) $\int_{\frac{5\pi}{4}}^{\frac{15\pi}{4}} \cot^2 \frac{x}{5} dx;$
2) $\int_{-\frac{\pi}{2}}^{\frac{\pi}{2}} \cos^2 2x dx;$
3) $\int_{-\frac{\pi}{2}}^{\frac{\pi}{4}} \sin 7x \cos 3x dx;$
4) $\int_{-2}^{-1} \frac{x^2 - e^x}{x^2 e^x} dx.$
Решение. №11.20 (с. 103)


Решение 2. №11.20 (с. 103)
1) Для вычисления интеграла $ \int_{\frac{5\pi}{4}}^{\frac{15\pi}{4}} \ctg^2 \frac{x}{5} \, dx $ воспользуемся тригонометрическим тождеством $ \ctg^2 \alpha = \frac{1}{\sin^2 \alpha} - 1 $.
Таким образом, подынтегральная функция преобразуется к виду $ \frac{1}{\sin^2 \frac{x}{5}} - 1 $.
Интеграл принимает вид:
$ \int_{\frac{5\pi}{4}}^{\frac{15\pi}{4}} \left(\frac{1}{\sin^2 \frac{x}{5}} - 1\right) \, dx $
Найдем первообразную. Используя табличные интегралы $ \int \frac{du}{\sin^2 u} = -\ctg u $ и $ \int dx = x $, а также правило интегрирования сложной функции, получаем:
$ \int \left(\frac{1}{\sin^2 \frac{x}{5}} - 1\right) \, dx = -5\ctg\left(\frac{x}{5}\right) - x + C $
Применим формулу Ньютона-Лейбница:
$ \left[-5\ctg\left(\frac{x}{5}\right) - x\right]_{\frac{5\pi}{4}}^{\frac{15\pi}{4}} = \left(-5\ctg\left(\frac{15\pi}{4 \cdot 5}\right) - \frac{15\pi}{4}\right) - \left(-5\ctg\left(\frac{5\pi}{4 \cdot 5}\right) - \frac{5\pi}{4}\right) $
$ = \left(-5\ctg\left(\frac{3\pi}{4}\right) - \frac{15\pi}{4}\right) - \left(-5\ctg\left(\frac{\pi}{4}\right) - \frac{5\pi}{4}\right) $
Зная, что $ \ctg(\frac{3\pi}{4}) = -1 $ и $ \ctg(\frac{\pi}{4}) = 1 $, подставляем значения:
$ (-5(-1) - \frac{15\pi}{4}) - (-5(1) - \frac{5\pi}{4}) = (5 - \frac{15\pi}{4}) - (-5 - \frac{5\pi}{4}) = 5 - \frac{15\pi}{4} + 5 + \frac{5\pi}{4} = 10 - \frac{10\pi}{4} = 10 - \frac{5\pi}{2} $.
Ответ: $ 10 - \frac{5\pi}{2} $.
2) Для вычисления интеграла $ \int_{-\frac{\pi}{2}}^{\frac{\pi}{2}} \cos^2 2x \, dx $ используем формулу понижения степени $ \cos^2 \alpha = \frac{1 + \cos(2\alpha)}{2} $.
Тогда $ \cos^2 2x = \frac{1 + \cos(4x)}{2} $.
Подынтегральная функция $ f(x) = \cos^2 2x $ является чётной ($ f(-x) = \cos^2(-2x) = \cos^2(2x) = f(x) $), а пределы интегрирования симметричны относительно нуля. Поэтому можно воспользоваться свойством $ \int_{-a}^{a} f(x) dx = 2 \int_{0}^{a} f(x) dx $:
$ \int_{-\frac{\pi}{2}}^{\frac{\pi}{2}} \cos^2 2x \, dx = 2 \int_{0}^{\frac{\pi}{2}} \frac{1 + \cos(4x)}{2} \, dx = \int_{0}^{\frac{\pi}{2}} (1 + \cos(4x)) \, dx $
Находим первообразную:
$ \int (1 + \cos(4x)) \, dx = x + \frac{1}{4}\sin(4x) + C $
Применяем формулу Ньютона-Лейбница:
$ \left[x + \frac{1}{4}\sin(4x)\right]_{0}^{\frac{\pi}{2}} = \left(\frac{\pi}{2} + \frac{1}{4}\sin\left(4 \cdot \frac{\pi}{2}\right)\right) - \left(0 + \frac{1}{4}\sin(0)\right) $
$ = \left(\frac{\pi}{2} + \frac{1}{4}\sin(2\pi)\right) - 0 = \frac{\pi}{2} + \frac{1}{4} \cdot 0 = \frac{\pi}{2} $.
Ответ: $ \frac{\pi}{2} $.
3) Для вычисления интеграла $ \int_{-\frac{\pi}{2}}^{-\frac{\pi}{4}} \sin 7x \cos 3x \, dx $ применим формулу преобразования произведения тригонометрических функций в сумму: $ \sin A \cos B = \frac{1}{2}(\sin(A+B) + \sin(A-B)) $.
В нашем случае $ A=7x, B=3x $, поэтому:
$ \sin 7x \cos 3x = \frac{1}{2}(\sin(7x+3x) + \sin(7x-3x)) = \frac{1}{2}(\sin(10x) + \sin(4x)) $.
Интеграл принимает вид:
$ \frac{1}{2} \int_{-\frac{\pi}{2}}^{-\frac{\pi}{4}} (\sin(10x) + \sin(4x)) \, dx $
Находим первообразную:
$ \frac{1}{2} \left(-\frac{1}{10}\cos(10x) - \frac{1}{4}\cos(4x)\right) + C $
Применяем формулу Ньютона-Лейбница:
$ \frac{1}{2}\left[-\frac{1}{10}\cos(10x) - \frac{1}{4}\cos(4x)\right]_{-\frac{\pi}{2}}^{-\frac{\pi}{4}} $
$ = \frac{1}{2}\left[\left(-\frac{1}{10}\cos\left(10 \cdot \left(-\frac{\pi}{4}\right)\right) - \frac{1}{4}\cos\left(4 \cdot \left(-\frac{\pi}{4}\right)\right)\right) - \left(-\frac{1}{10}\cos\left(10 \cdot \left(-\frac{\pi}{2}\right)\right) - \frac{1}{4}\cos\left(4 \cdot \left(-\frac{\pi}{2}\right)\right)\right)\right] $
$ = \frac{1}{2}\left[\left(-\frac{1}{10}\cos\left(-\frac{5\pi}{2}\right) - \frac{1}{4}\cos(-\pi)\right) - \left(-\frac{1}{10}\cos(-5\pi) - \frac{1}{4}\cos(-2\pi)\right)\right] $
Используя чётность косинуса и значения $ \cos(\frac{5\pi}{2})=0, \cos(\pi)=-1, \cos(5\pi)=-1, \cos(2\pi)=1 $:
$ = \frac{1}{2}\left[\left(-\frac{1}{10}(0) - \frac{1}{4}(-1)\right) - \left(-\frac{1}{10}(-1) - \frac{1}{4}(1)\right)\right] = \frac{1}{2}\left[\frac{1}{4} - \left(\frac{1}{10} - \frac{1}{4}\right)\right] $
$ = \frac{1}{2}\left[\frac{1}{4} - \left(\frac{2-5}{20}\right)\right] = \frac{1}{2}\left[\frac{1}{4} - \left(-\frac{3}{20}\right)\right] = \frac{1}{2}\left[\frac{1}{4} + \frac{3}{20}\right] = \frac{1}{2}\left[\frac{5+3}{20}\right] = \frac{1}{2} \cdot \frac{8}{20} = \frac{4}{20} = \frac{1}{5} $.
Ответ: $ \frac{1}{5} $.
4) Для вычисления интеграла $ \int_{-2}^{-1} \frac{x^2 - e^x}{x^2 e^x} \, dx $ сначала упростим подынтегральную функцию, разделив числитель на знаменатель почленно:
$ \frac{x^2 - e^x}{x^2 e^x} = \frac{x^2}{x^2 e^x} - \frac{e^x}{x^2 e^x} = \frac{1}{e^x} - \frac{1}{x^2} = e^{-x} - x^{-2} $.
Интеграл принимает вид:
$ \int_{-2}^{-1} (e^{-x} - x^{-2}) \, dx $
Находим первообразную, используя табличные интегралы:
$ \int (e^{-x} - x^{-2}) \, dx = -e^{-x} - \frac{x^{-1}}{-1} + C = -e^{-x} + \frac{1}{x} + C $
Применяем формулу Ньютона-Лейбница:
$ \left[-e^{-x} + \frac{1}{x}\right]_{-2}^{-1} = \left(-e^{-(-1)} + \frac{1}{-1}\right) - \left(-e^{-(-2)} + \frac{1}{-2}\right) $
$ = (-e^1 - 1) - (-e^2 - \frac{1}{2}) = -e - 1 + e^2 + \frac{1}{2} = e^2 - e - \frac{1}{2} $.
Ответ: $ e^2 - e - \frac{1}{2} $.
№11.21 (с. 103)
Учебник. №11.21 (с. 103)
скриншот условия

11.21. Найдите площадь фигуры, ограниченной линиями:
1) $y = x^2 - 3x - 4, y = 0, x = 0, x = 3$;
2) $y = -x^2, y = x - 2$;
3) $y = x^2 - 4, y = 4 - x^2$;
4) $y = x^2 - 2x, y = x$;
5) $y = 3\sin x, y = -2\sin x, x = 0, x = \frac{2\pi}{3}$;
6) $y = \frac{4}{x} - 2, y = 2, x = 2, x = 4$.
Решение. №11.21 (с. 103)


Решение 2. №11.21 (с. 103)
1) Фигура ограничена линиями $y = x^2 - 3x - 4$, $y=0$, $x=0$, $x=3$.
Для нахождения площади необходимо вычислить определенный интеграл. Пределы интегрирования по оси Ox заданы: от $a=0$ до $b=3$.
Найдем, какая из функций больше на интервале $[0, 3]$. Для этого определим знак функции $f(x) = x^2 - 3x - 4$ на этом интервале. Корни уравнения $x^2 - 3x - 4 = 0$ равны $x_1 = -1$ и $x_2 = 4$. Парабола направлена ветвями вверх, следовательно, на интервале $(-1, 4)$ функция принимает отрицательные значения. Так как $[0, 3] \subset (-1, 4)$, то на интервале $[0, 3]$ имеем $x^2 - 3x - 4 \le 0$.
Таким образом, верхняя граница фигуры — это линия $y=0$, а нижняя — $y = x^2 - 3x - 4$.
Площадь фигуры вычисляется по формуле:
$S = \int_{0}^{3} (0 - (x^2 - 3x - 4)) dx = \int_{0}^{3} (-x^2 + 3x + 4) dx$.
Вычисляем интеграл, находя первообразную и применяя формулу Ньютона-Лейбница:
$S = [-\frac{x^3}{3} + \frac{3x^2}{2} + 4x]_{0}^{3} = (-\frac{3^3}{3} + \frac{3 \cdot 3^2}{2} + 4 \cdot 3) - (0) = -9 + \frac{27}{2} + 12 = 3 + 13.5 = 16.5$.
Ответ: $16.5$.
2) Фигура ограничена линиями $y = -x^2$ и $y = x - 2$.
Сначала найдем пределы интегрирования, решив уравнение для точек пересечения графиков:
$-x^2 = x - 2$
$x^2 + x - 2 = 0$
Корни этого уравнения (по теореме Виета или через дискриминант): $x_1 = -2$ и $x_2 = 1$. Это и будут наши пределы интегрирования: $a=-2, b=1$.
Определим, какая функция больше на интервале $[-2, 1]$. Возьмем пробную точку, например $x=0$, из этого интервала:
При $x=0$, $y = -x^2 = 0$.
При $x=0$, $y = x - 2 = -2$.
Поскольку $0 > -2$, на интервале $[-2, 1]$ график функции $y = -x^2$ находится выше графика $y = x - 2$.
Площадь фигуры вычисляется как интеграл от разности верхней и нижней функций:
$S = \int_{-2}^{1} ((-x^2) - (x - 2)) dx = \int_{-2}^{1} (-x^2 - x + 2) dx$.
Вычисляем интеграл:
$S = [-\frac{x^3}{3} - \frac{x^2}{2} + 2x]_{-2}^{1} = (-\frac{1^3}{3} - \frac{1^2}{2} + 2 \cdot 1) - (-\frac{(-2)^3}{3} - \frac{(-2)^2}{2} + 2(-2))$
$= (-\frac{1}{3} - \frac{1}{2} + 2) - (\frac{8}{3} - 2 - 4) = (-\frac{2}{6} - \frac{3}{6} + \frac{12}{6}) - (\frac{8}{3} - 6) = \frac{7}{6} - (\frac{8-18}{3}) = \frac{7}{6} - (-\frac{10}{3}) = \frac{7}{6} + \frac{20}{6} = \frac{27}{6} = \frac{9}{2} = 4.5$.
Ответ: $4.5$.
3) Фигура ограничена параболами $y = x^2 - 4$ и $y = 4 - x^2$.
Найдем пределы интегрирования, определив точки пересечения кривых:
$x^2 - 4 = 4 - x^2$
$2x^2 = 8$
$x^2 = 4 \implies x = \pm 2$.
Пределы интегрирования: $a=-2, b=2$.
Определим, какая из функций является верхней. Возьмем точку $x=0$ из интервала $[-2, 2]$:
При $x=0$, $y = x^2-4 = -4$.
При $x=0$, $y = 4-x^2 = 4$.
Так как $4 > -4$, функция $y = 4 - x^2$ является верхней.
Площадь фигуры:
$S = \int_{-2}^{2} ((4 - x^2) - (x^2 - 4)) dx = \int_{-2}^{2} (8 - 2x^2) dx$.
Подынтегральная функция $f(x) = 8 - 2x^2$ является четной, а пределы интегрирования симметричны относительно нуля, поэтому можно упростить вычисление:
$S = 2 \int_{0}^{2} (8 - 2x^2) dx = 2 [8x - \frac{2x^3}{3}]_{0}^{2} = 2 ((8 \cdot 2 - \frac{2 \cdot 2^3}{3}) - 0) = 2 (16 - \frac{16}{3}) = 2 (\frac{48-16}{3}) = 2 \cdot \frac{32}{3} = \frac{64}{3}$.
Ответ: $\frac{64}{3}$.
4) Фигура ограничена линиями $y = x^2 - 2x$ и $y = x$.
Найдем пределы интегрирования из точек пересечения:
$x^2 - 2x = x$
$x^2 - 3x = 0$
$x(x - 3) = 0 \implies x_1 = 0, x_2 = 3$.
Пределы интегрирования: $a=0, b=3$.
Определим, какая функция больше на интервале $[0, 3]$. Возьмем пробную точку $x=1$:
При $x=1$, $y = x^2 - 2x = 1 - 2 = -1$.
При $x=1$, $y = x = 1$.
Так как $1 > -1$, функция $y = x$ является верхней.
Площадь фигуры:
$S = \int_{0}^{3} (x - (x^2 - 2x)) dx = \int_{0}^{3} (3x - x^2) dx$.
Вычисляем интеграл:
$S = [\frac{3x^2}{2} - \frac{x^3}{3}]_{0}^{3} = (\frac{3 \cdot 3^2}{2} - \frac{3^3}{3}) - 0 = \frac{27}{2} - 9 = \frac{27 - 18}{2} = \frac{9}{2} = 4.5$.
Ответ: $4.5$.
5) Фигура ограничена линиями $y = 3\sin x$, $y = -2\sin x$, $x=0$, $x = \frac{2\pi}{3}$.
Пределы интегрирования заданы: от $a=0$ до $b=\frac{2\pi}{3}$.
На интервале $[0, \pi]$, и, следовательно, на интервале $[0, \frac{2\pi}{3}]$, функция $\sin x$ неотрицательна ($\sin x \ge 0$).
Следовательно, $3\sin x \ge 0$ и $-2\sin x \le 0$. Это означает, что $3\sin x \ge -2\sin x$ на данном интервале.
Верхняя функция — $y = 3\sin x$, нижняя — $y = -2\sin x$.
Площадь фигуры:
$S = \int_{0}^{2\pi/3} (3\sin x - (-2\sin x)) dx = \int_{0}^{2\pi/3} 5\sin x dx$.
Вычисляем интеграл:
$S = [-5\cos x]_{0}^{2\pi/3} = (-5\cos(\frac{2\pi}{3})) - (-5\cos(0))$.
Зная, что $\cos(\frac{2\pi}{3}) = -1/2$ и $\cos(0) = 1$, получаем:
$S = (-5 \cdot (-\frac{1}{2})) - (-5 \cdot 1) = \frac{5}{2} + 5 = 2.5 + 5 = 7.5$.
Ответ: $7.5$.
6) Фигура ограничена линиями $y = \frac{4}{x} - 2$, $y = 2$, $x = 2$, $x = 4$.
Пределы интегрирования по оси Ox заданы: от $a=2$ до $b=4$.
Определим, какая функция является верхней на интервале $[2, 4]$. Сравним значения функций $y_1 = \frac{4}{x} - 2$ и $y_2 = 2$.
На интервале $[2, 4]$, $x > 0$. При $x=2$, $y_1=0$. При $x=4$, $y_1=-1$. Так как функция $y_1$ на этом отрезке возрастает от $-1$ до $0$, то $y_1(x) \le 0$. Функция $y_2=2$ всегда больше $y_1$.
Таким образом, $y=2$ является верхней функцией.
Площадь фигуры:
$S = \int_{2}^{4} (2 - (\frac{4}{x} - 2)) dx = \int_{2}^{4} (4 - \frac{4}{x}) dx$.
Вычисляем интеграл:
$S = [4x - 4\ln|x|]_{2}^{4} = (4 \cdot 4 - 4\ln 4) - (4 \cdot 2 - 4\ln 2) = 16 - 4\ln 4 - 8 + 4\ln 2$.
Упростим выражение, используя свойство логарифма $\ln(a^b) = b\ln a$:
$S = 8 - 4\ln(2^2) + 4\ln 2 = 8 - 4(2\ln 2) + 4\ln 2 = 8 - 8\ln 2 + 4\ln 2 = 8 - 4\ln 2$.
Ответ: $8 - 4\ln 2$.
№11.22 (с. 103)
Учебник. №11.22 (с. 103)
скриншот условия

11.22. Найдите площадь фигуры, ограниченной линиями:
1) $y = x^2 - 4x, y = x - 4;$
2) $y = 3 - x^2, y = 2x;$
3) $y = \cos x, y = -2\cos x, x = -\frac{\pi}{6}, x = \frac{\pi}{2};$
4) $y = 4 - x^2, y = x^2 - 2x.$
Решение. №11.22 (с. 103)


Решение 2. №11.22 (с. 103)
1)
Для нахождения площади фигуры, ограниченной линиями $y = x^2 - 4x$ и $y = x - 4$, сперва найдем точки их пересечения, которые определят пределы интегрирования. Приравняем уравнения:
$x^2 - 4x = x - 4$
$x^2 - 5x + 4 = 0$
Решая это квадратное уравнение (например, по теореме Виета), находим корни $x_1 = 1$ и $x_2 = 4$. Это наши пределы интегрирования, $a=1$ и $b=4$.
Теперь нужно определить, какая из функций является верхней, а какая нижней на интервале $[1, 4]$. Возьмем любую точку из этого интервала, например $x=2$:
Для параболы $y_1 = x^2 - 4x$: $y_1(2) = 2^2 - 4(2) = 4 - 8 = -4$.
Для прямой $y_2 = x - 4$: $y_2(2) = 2 - 4 = -2$.
Поскольку $-2 > -4$, прямая $y = x - 4$ находится выше параболы $y = x^2 - 4x$ на данном интервале.
Площадь фигуры вычисляется как интеграл от разности верхней и нижней функций:
$S = \int_1^4 ((x - 4) - (x^2 - 4x)) dx = \int_1^4 (-x^2 + 5x - 4) dx$
Вычислим определенный интеграл:
$S = [-\frac{x^3}{3} + \frac{5x^2}{2} - 4x]_1^4 = (-\frac{4^3}{3} + \frac{5 \cdot 4^2}{2} - 4 \cdot 4) - (-\frac{1^3}{3} + \frac{5 \cdot 1^2}{2} - 4 \cdot 1)$
$S = (-\frac{64}{3} + 40 - 16) - (-\frac{1}{3} + \frac{5}{2} - 4) = (-\frac{64}{3} + 24) - (\frac{-2+15-24}{6})$
$S = (\frac{-64+72}{3}) - (\frac{-11}{6}) = \frac{8}{3} + \frac{11}{6} = \frac{16}{6} + \frac{11}{6} = \frac{27}{6} = \frac{9}{2}$
Ответ: $\frac{9}{2}$
2)
Находим точки пересечения графиков функций $y = 3 - x^2$ и $y = 2x$, приравнивая их:
$3 - x^2 = 2x$
$x^2 + 2x - 3 = 0$
Корни этого квадратного уравнения: $x_1 = -3$ и $x_2 = 1$. Это и будут пределы интегрирования.
Определим, какая функция больше на интервале $[-3, 1]$. Возьмем тестовую точку $x=0$:
Для параболы $y_1 = 3 - x^2$: $y_1(0) = 3 - 0^2 = 3$.
Для прямой $y_2 = 2x$: $y_2(0) = 2 \cdot 0 = 0$.
Так как $3 > 0$, парабола $y = 3 - x^2$ является верхней функцией на данном интервале.
Вычисляем площадь фигуры:
$S = \int_{-3}^1 ((3 - x^2) - 2x) dx = \int_{-3}^1 (-x^2 - 2x + 3) dx$
$S = [-\frac{x^3}{3} - x^2 + 3x]_{-3}^1 = (-\frac{1^3}{3} - 1^2 + 3 \cdot 1) - (-\frac{(-3)^3}{3} - (-3)^2 + 3(-3))$
$S = (-\frac{1}{3} - 1 + 3) - (\frac{27}{3} - 9 - 9) = (\frac{5}{3}) - (9 - 18) = \frac{5}{3} - (-9) = \frac{5}{3} + 9 = \frac{5+27}{3} = \frac{32}{3}$
Ответ: $\frac{32}{3}$
3)
Фигура ограничена линиями $y = \cos x$, $y = -2\cos x$ и вертикальными прямыми $x = -\frac{\pi}{6}$ и $x = \frac{\pi}{2}$. Пределы интегрирования уже заданы: от $a = -\frac{\pi}{6}$ до $b = \frac{\pi}{2}$.
На интервале $[-\frac{\pi}{6}, \frac{\pi}{2}]$, значение функции $\cos x$ неотрицательно, то есть $\cos x \ge 0$.
Следовательно, $\cos x \ge -2\cos x$ на всем интервале. Таким образом, $y = \cos x$ — верхняя функция, а $y = -2\cos x$ — нижняя.
Площадь фигуры равна:
$S = \int_{-\pi/6}^{\pi/2} (\cos x - (-2\cos x)) dx = \int_{-\pi/6}^{\pi/2} 3\cos x dx$
Вычисляем интеграл:
$S = [3\sin x]_{-\pi/6}^{\pi/2} = 3\sin(\frac{\pi}{2}) - 3\sin(-\frac{\pi}{6})$
Зная, что $\sin(\frac{\pi}{2}) = 1$ и $\sin(-\frac{\pi}{6}) = -\frac{1}{2}$, получаем:
$S = 3(1) - 3(-\frac{1}{2}) = 3 + \frac{3}{2} = \frac{9}{2}$
Ответ: $\frac{9}{2}$
4)
Найдем точки пересечения двух парабол $y = 4 - x^2$ и $y = x^2 - 2x$:
$4 - x^2 = x^2 - 2x$
$2x^2 - 2x - 4 = 0$
Разделим все уравнение на 2: $x^2 - x - 2 = 0$.
Корни уравнения: $x_1 = -1$ и $x_2 = 2$. Это и есть пределы интегрирования.
Определим верхнюю функцию на интервале $[-1, 2]$, взяв пробную точку $x=0$:
Для первой параболы $y_1 = 4 - x^2$: $y_1(0) = 4 - 0^2 = 4$.
Для второй параболы $y_2 = x^2 - 2x$: $y_2(0) = 0^2 - 2 \cdot 0 = 0$.
Так как $4 > 0$, парабола $y = 4 - x^2$ является верхней функцией на данном интервале.
Вычисляем площадь:
$S = \int_{-1}^2 ((4 - x^2) - (x^2 - 2x)) dx = \int_{-1}^2 (-2x^2 + 2x + 4) dx$
$S = [-\frac{2x^3}{3} + x^2 + 4x]_{-1}^2 = (-\frac{2 \cdot 2^3}{3} + 2^2 + 4 \cdot 2) - (-\frac{2(-1)^3}{3} + (-1)^2 + 4(-1))$
$S = (-\frac{16}{3} + 4 + 8) - (\frac{2}{3} + 1 - 4) = (-\frac{16}{3} + 12) - (\frac{2}{3} - 3)$
$S = (\frac{-16+36}{3}) - (\frac{2-9}{3}) = \frac{20}{3} - (-\frac{7}{3}) = \frac{20+7}{3} = \frac{27}{3} = 9$
Ответ: $9$
Помогло решение? Оставьте отзыв в комментариях ниже.