Страница 102 - гдз по алгебре 11 класс учебник Мерзляк, Номировский

Авторы: Мерзляк А. Г., Номировский Д. А., Полонский В. Б., Якир М. С.
Тип: Учебник
Издательство: Просвещение
Год издания: 2016 - 2025
Уровень обучения: базовый
Цвет обложки: синий, зелёный
Допущено Министерством просвещения Российской Федерации
Математика. Алгебра и начала математического анализа
Популярные ГДЗ в 11 классе
Cтраница 102

№11.10 (с. 102)
Учебник. №11.10 (с. 102)
скриншот условия

11.10. Найдите площадь фигуры, ограниченной линиями:
1) $y = x^2, y = 4$
2) $y = 2x^2, y = 2x$
3) $y = e^x, y = 1, x = 2$
4) $y = \frac{4}{x}, y = 1, x = 1$
5) $y = \frac{4}{x}, y = 4, x = 4$
6) $y = x^2 - 4x + 5, y = 5$
7) $y = 2 + x - x^2, y = 2 - x$
8) $y = x^2 + 2, y = x + 4$
9) $y = x^2 + 2x + 1, y = x + 3$
10) $y = -x^2 + 2x, y = x^2$
11) $y = x^3, y = x^2$
12) $y = e^x, y = e, x = 0$
13) $y = \frac{7}{x}, x + y = 8$
14) $y = \frac{2}{x^2}, y = 2x, x = 2$
15) $y = \sin x, y = \cos x, x = 0, x = \frac{\pi}{4}$.
Решение. №11.10 (с. 102)





Решение 2. №11.10 (с. 102)
1) Фигура ограничена параболой $y = x^2$ и горизонтальной прямой $y = 4$.
Найдем пределы интегрирования, решив уравнение $x^2 = 4$. Корни $x_1 = -2$ и $x_2 = 2$.
На отрезке $[-2, 2]$ прямая $y=4$ находится выше параболы $y=x^2$.
Площадь фигуры вычисляется по формуле: $S = \int_{a}^{b} (f(x) - g(x)) dx$.
$S = \int_{-2}^{2} (4 - x^2) dx = \left[4x - \frac{x^3}{3}\right]_{-2}^{2} = \left(4 \cdot 2 - \frac{2^3}{3}\right) - \left(4 \cdot (-2) - \frac{(-2)^3}{3}\right) = \left(8 - \frac{8}{3}\right) - \left(-8 + \frac{8}{3}\right) = 16 - \frac{16}{3} = \frac{48 - 16}{3} = \frac{32}{3}$.
Ответ: $\frac{32}{3}$
2) Фигура ограничена параболой $y = 2x^2$ и прямой $y = 2x$.
Найдем точки пересечения: $2x^2 = 2x \implies 2x^2 - 2x = 0 \implies 2x(x-1) = 0$. Корни $x_1 = 0$ и $x_2 = 1$.
На отрезке $[0, 1]$ прямая $y=2x$ находится выше параболы $y=2x^2$ (например, при $x=0.5$, $2 \cdot 0.5 = 1$, а $2 \cdot 0.5^2 = 0.5$).
$S = \int_{0}^{1} (2x - 2x^2) dx = \left[x^2 - \frac{2x^3}{3}\right]_{0}^{1} = \left(1^2 - \frac{2 \cdot 1^3}{3}\right) - 0 = 1 - \frac{2}{3} = \frac{1}{3}$.
Ответ: $\frac{1}{3}$
3) Фигура ограничена линиями $y = e^x$, $y = 1$ и $x = 2$.
Найдем точку пересечения кривой $y = e^x$ и прямой $y=1$: $e^x = 1 \implies x=0$.
Таким образом, фигура ограничена слева прямой $x=0$, справа $x=2$, снизу $y=1$ и сверху $y=e^x$.
$S = \int_{0}^{2} (e^x - 1) dx = \left[e^x - x\right]_{0}^{2} = (e^2 - 2) - (e^0 - 0) = e^2 - 2 - 1 = e^2 - 3$.
Ответ: $e^2 - 3$
4) Фигура ограничена линиями $y = \frac{4}{x}$, $y = 1$ и $x = 1$.
Найдем точку пересечения гиперболы $y = \frac{4}{x}$ и прямой $y=1$: $\frac{4}{x} = 1 \implies x=4$.
Фигура ограничена прямыми $x=1$, $x=4$, $y=1$ и кривой $y=\frac{4}{x}$. На отрезке $[1, 4]$ гипербола $y=\frac{4}{x}$ находится выше прямой $y=1$.
$S = \int_{1}^{4} \left(\frac{4}{x} - 1\right) dx = \left[4 \ln|x| - x\right]_{1}^{4} = (4 \ln 4 - 4) - (4 \ln 1 - 1) = 4 \ln 4 - 4 - (0 - 1) = 4 \ln 4 - 3 = 8 \ln 2 - 3$.
Ответ: $4 \ln 4 - 3$
5) Фигура ограничена линиями $y = \frac{4}{x}$, $y = 4$ и $x = 4$.
Найдем точку пересечения $y = \frac{4}{x}$ и $y=4$: $\frac{4}{x} = 4 \implies x=1$.
Фигура ограничена прямыми $x=1$, $x=4$, $y=4$ и кривой $y=\frac{4}{x}$. На отрезке $[1, 4]$ прямая $y=4$ находится выше гиперболы $y=\frac{4}{x}$.
$S = \int_{1}^{4} \left(4 - \frac{4}{x}\right) dx = \left[4x - 4 \ln|x|\right]_{1}^{4} = (4 \cdot 4 - 4 \ln 4) - (4 \cdot 1 - 4 \ln 1) = 16 - 4 \ln 4 - 4 = 12 - 4 \ln 4 = 12 - 8 \ln 2$.
Ответ: $12 - 4 \ln 4$
6) Фигура ограничена параболой $y = x^2 - 4x + 5$ и прямой $y = 5$.
Найдем точки пересечения: $x^2 - 4x + 5 = 5 \implies x^2 - 4x = 0 \implies x(x-4) = 0$. Корни $x_1 = 0$, $x_2 = 4$.
На отрезке $[0, 4]$ прямая $y=5$ находится выше параболы $y = x^2 - 4x + 5$.
$S = \int_{0}^{4} (5 - (x^2 - 4x + 5)) dx = \int_{0}^{4} (-x^2 + 4x) dx = \left[-\frac{x^3}{3} + 2x^2\right]_{0}^{4} = -\frac{4^3}{3} + 2 \cdot 4^2 = -\frac{64}{3} + 32 = \frac{-64 + 96}{3} = \frac{32}{3}$.
Ответ: $\frac{32}{3}$
7) Фигура ограничена параболой $y = 2 + x - x^2$ и прямой $y = 2 - x$.
Найдем точки пересечения: $2 + x - x^2 = 2 - x \implies 2x - x^2 = 0 \implies x(2-x) = 0$. Корни $x_1 = 0$, $x_2 = 2$.
На отрезке $[0, 2]$ парабола $y = 2 + x - x^2$ находится выше прямой $y=2-x$.
$S = \int_{0}^{2} ((2 + x - x^2) - (2-x)) dx = \int_{0}^{2} (2x - x^2) dx = \left[x^2 - \frac{x^3}{3}\right]_{0}^{2} = 2^2 - \frac{2^3}{3} = 4 - \frac{8}{3} = \frac{4}{3}$.
Ответ: $\frac{4}{3}$
8) Фигура ограничена параболой $y = x^2 + 2$ и прямой $y = x + 4$.
Найдем точки пересечения: $x^2 + 2 = x + 4 \implies x^2 - x - 2 = 0$. Корни $x_1 = -1$, $x_2 = 2$.
На отрезке $[-1, 2]$ прямая $y=x+4$ находится выше параболы $y=x^2+2$.
$S = \int_{-1}^{2} ((x+4) - (x^2+2)) dx = \int_{-1}^{2} (-x^2 + x + 2) dx = \left[-\frac{x^3}{3} + \frac{x^2}{2} + 2x\right]_{-1}^{2} = \left(-\frac{8}{3} + 2 + 4\right) - \left(\frac{1}{3} + \frac{1}{2} - 2\right) = \frac{10}{3} - (-\frac{7}{6}) = \frac{20+7}{6} = \frac{27}{6} = \frac{9}{2}$.
Ответ: $\frac{9}{2}$
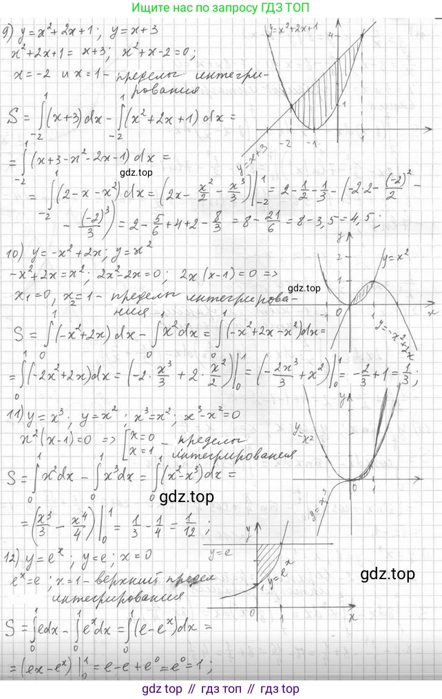
9) Фигура ограничена параболой $y = x^2 + 2x + 1$ и прямой $y = x + 3$.
Найдем точки пересечения: $x^2 + 2x + 1 = x + 3 \implies x^2 + x - 2 = 0$. Корни $x_1 = -2$, $x_2 = 1$.
На отрезке $[-2, 1]$ прямая $y=x+3$ находится выше параболы $y = x^2 + 2x + 1$.
$S = \int_{-2}^{1} ((x+3) - (x^2+2x+1)) dx = \int_{-2}^{1} (-x^2 - x + 2) dx = \left[-\frac{x^3}{3} - \frac{x^2}{2} + 2x\right]_{-2}^{1} = \left(-\frac{1}{3}-\frac{1}{2}+2\right) - \left(\frac{8}{3}-2-4\right) = \frac{7}{6} - (-\frac{10}{3}) = \frac{7+20}{6} = \frac{27}{6} = \frac{9}{2}$.
Ответ: $\frac{9}{2}$
10) Фигура ограничена параболами $y = -x^2 + 2x$ и $y = x^2$.
Найдем точки пересечения: $-x^2 + 2x = x^2 \implies 2x^2 - 2x = 0 \implies 2x(x-1)=0$. Корни $x_1 = 0$, $x_2 = 1$.
На отрезке $[0, 1]$ парабола $y = -x^2 + 2x$ (ветви вниз) находится выше параболы $y=x^2$ (ветви вверх).
$S = \int_{0}^{1} ((-x^2 + 2x) - x^2) dx = \int_{0}^{1} (-2x^2 + 2x) dx = \left[-\frac{2x^3}{3} + x^2\right]_{0}^{1} = -\frac{2}{3} + 1 = \frac{1}{3}$.
Ответ: $\frac{1}{3}$
11) Фигура ограничена кривыми $y = x^3$ и $y = x^2$.
Найдем точки пересечения: $x^3 = x^2 \implies x^3 - x^2 = 0 \implies x^2(x-1)=0$. Корни $x_1=0$, $x_2=1$.
На отрезке $[0, 1]$ график $y=x^2$ находится выше графика $y=x^3$.
$S = \int_{0}^{1} (x^2 - x^3) dx = \left[\frac{x^3}{3} - \frac{x^4}{4}\right]_{0}^{1} = \frac{1}{3} - \frac{1}{4} = \frac{4-3}{12} = \frac{1}{12}$.
Ответ: $\frac{1}{12}$
12) Фигура ограничена линиями $y = e^x$, $y = e$ и $x = 0$.
Найдем точку пересечения $y = e^x$ и $y = e$: $e^x = e \implies x=1$.
Фигура ограничена прямыми $x=0, x=1, y=e$ и кривой $y=e^x$. На отрезке $[0, 1]$ прямая $y=e$ находится выше кривой $y=e^x$.
$S = \int_{0}^{1} (e - e^x) dx = \left[ex - e^x\right]_{0}^{1} = (e \cdot 1 - e^1) - (e \cdot 0 - e^0) = (e-e) - (0-1) = 1$.
Ответ: $1$
13) Фигура ограничена гиперболой $y = \frac{7}{x}$ и прямой $x + y = 8$ (или $y=8-x$).
Найдем точки пересечения: $\frac{7}{x} = 8 - x \implies 7 = 8x - x^2 \implies x^2 - 8x + 7 = 0$. Корни $x_1 = 1$, $x_2 = 7$.
На отрезке $[1, 7]$ прямая $y=8-x$ находится выше гиперболы $y=7/x$.
$S = \int_{1}^{7} \left((8 - x) - \frac{7}{x}\right) dx = \left[8x - \frac{x^2}{2} - 7 \ln|x|\right]_{1}^{7} = \left(8 \cdot 7 - \frac{7^2}{2} - 7 \ln 7\right) - \left(8 \cdot 1 - \frac{1^2}{2} - 7 \ln 1\right) = \left(56 - \frac{49}{2} - 7 \ln 7\right) - \left(8 - \frac{1}{2}\right) = 56 - 24.5 - 7 \ln 7 - 7.5 = 24 - 7 \ln 7$.
Ответ: $24 - 7 \ln 7$
14) Фигура ограничена линиями $y = \frac{2}{x^2}$, $y = 2x$ и $x = 2$.
Найдем точку пересечения $y = \frac{2}{x^2}$ и $y = 2x$: $\frac{2}{x^2} = 2x \implies x^3 = 1 \implies x = 1$.
Фигура ограничена прямыми $x=1$, $x=2$ и кривыми $y=\frac{2}{x^2}$ и $y=2x$. На отрезке $[1, 2]$ прямая $y=2x$ находится выше кривой $y=\frac{2}{x^2}$.
$S = \int_{1}^{2} \left(2x - \frac{2}{x^2}\right) dx = \left[x^2 + \frac{2}{x}\right]_{1}^{2} = \left(2^2 + \frac{2}{2}\right) - \left(1^2 + \frac{2}{1}\right) = (4+1) - (1+2) = 5 - 3 = 2$.
Ответ: $2$
15) Фигура ограничена линиями $y = \sin x$, $y = \cos x$, $x = 0$ и $x = \frac{\pi}{4}$.
Пределы интегрирования заданы: от $0$ до $\frac{\pi}{4}$.
На отрезке $[0, \frac{\pi}{4}]$ график функции $y = \cos x$ находится выше или на том же уровне, что и график $y = \sin x$.
$S = \int_{0}^{\pi/4} (\cos x - \sin x) dx = \left[\sin x - (-\cos x)\right]_{0}^{\pi/4} = \left[\sin x + \cos x\right]_{0}^{\pi/4} = \left(\sin\frac{\pi}{4} + \cos\frac{\pi}{4}\right) - (\sin 0 + \cos 0) = \left(\frac{\sqrt{2}}{2} + \frac{\sqrt{2}}{2}\right) - (0+1) = \sqrt{2} - 1$.
Ответ: $\sqrt{2} - 1$
№11.11 (с. 102)
Учебник. №11.11 (с. 102)
скриншот условия

11.11. Найдите площадь фигуры, ограниченной:
1) графиком функции $y = x^3$ и прямыми $y = 8, x = 1$;
2) параболой $y = 0.5x^2$ и прямой $y = -x$;
3) параболой $y = 4 - x^2$ и прямой $y = 3$;
4) параболой $y = 6 + x - x^2$ и прямой $y = 6 - 2x$;
5) параболами $y = x^2 - 4x + 4$ и $y = 4 - x^2$;
6) гиперболой $y = \frac{3}{x}$ и прямыми $y = 3, x = 3$;
7) графиком функции $y = e^{-x}$ и прямыми $y = e, x = 0$;
8) гиперболой $y = \frac{5}{x}$ и прямой $x + y = 6$.
Решение. №11.11 (с. 102)



Решение 2. №11.11 (с. 102)
1) Найдем площадь фигуры, ограниченной графиком функции $y = x^3$ и прямыми $y = 8$, $x = 1$.
Сначала найдем точки пересечения кривых, чтобы определить пределы интегрирования. Точка пересечения графика функции $y = x^3$ и прямой $y = 8$ находится из уравнения $x^3 = 8$, откуда $x = 2$. Фигура ограничена слева прямой $x=1$ и справа точкой пересечения $x=2$.
На интервале $[1, 2]$ прямая $y=8$ находится выше графика функции $y = x^3$, так как для любого $x$ из этого интервала $x^3 \le 2^3 = 8$. Поэтому площадь фигуры $S$ вычисляется как интеграл от разности верхней и нижней функций.
$$ S = \int_{1}^{2} (8 - x^3) \,dx $$
Вычислим определенный интеграл:
$$ \int_{1}^{2} (8 - x^3) \,dx = \left[ 8x - \frac{x^4}{4} \right]_{1}^{2} = \left(8 \cdot 2 - \frac{2^4}{4}\right) - \left(8 \cdot 1 - \frac{1^4}{4}\right) = \left(16 - \frac{16}{4}\right) - \left(8 - \frac{1}{4}\right) = (16 - 4) - \frac{31}{4} = 12 - \frac{31}{4} = \frac{48 - 31}{4} = \frac{17}{4} $$
Ответ: $\frac{17}{4}$
2) Найдем площадь фигуры, ограниченной параболой $y = 0,5x^2$ и прямой $y = -x$.
Найдем пределы интегрирования, решив уравнение $0,5x^2 = -x$ для нахождения точек пересечения.
$0,5x^2 + x = 0$
$x(0,5x + 1) = 0$
Отсюда $x_1 = 0$ и $x_2 = -2$. Это наши пределы интегрирования.
На интервале $[-2, 0]$ определим, какая функция является верхней. Возьмем пробную точку $x = -1$: $y = 0,5(-1)^2 = 0,5$ и $y = -(-1) = 1$. Так как $1 > 0,5$, то прямая $y=-x$ лежит выше параболы $y = 0,5x^2$.
Площадь фигуры $S$ равна:
$$ S = \int_{-2}^{0} (-x - 0,5x^2) \,dx $$
Вычислим интеграл:
$$ \int_{-2}^{0} (-x - 0,5x^2) \,dx = \left[ -\frac{x^2}{2} - 0,5\frac{x^3}{3} \right]_{-2}^{0} = \left[ -\frac{x^2}{2} - \frac{x^3}{6} \right]_{-2}^{0} = (0 - 0) - \left( -\frac{(-2)^2}{2} - \frac{(-2)^3}{6} \right) = -\left( -\frac{4}{2} - \frac{-8}{6} \right) = - \left( -2 + \frac{4}{3} \right) = - \left( -\frac{6}{3} + \frac{4}{3} \right) = - \left( -\frac{2}{3} \right) = \frac{2}{3} $$
Ответ: $\frac{2}{3}$
3) Найдем площадь фигуры, ограниченной параболой $y = 4 - x^2$ и прямой $y = 3$.
Найдем точки пересечения: $4 - x^2 = 3$, откуда $x^2 = 1$, то есть $x_1 = -1$ и $x_2 = 1$.
На интервале $[-1, 1]$ парабола $y = 4 - x^2$ (ветви вниз, вершина в $(0,4)$) лежит выше прямой $y=3$.
Площадь фигуры $S$ вычисляется как интеграл:
$$ S = \int_{-1}^{1} ((4 - x^2) - 3) \,dx = \int_{-1}^{1} (1 - x^2) \,dx $$
Вычислим интеграл:
$$ \int_{-1}^{1} (1 - x^2) \,dx = \left[ x - \frac{x^3}{3} \right]_{-1}^{1} = \left(1 - \frac{1^3}{3}\right) - \left(-1 - \frac{(-1)^3}{3}\right) = \left(1 - \frac{1}{3}\right) - \left(-1 + \frac{1}{3}\right) = \frac{2}{3} - \left(-\frac{2}{3}\right) = \frac{4}{3} $$
Ответ: $\frac{4}{3}$
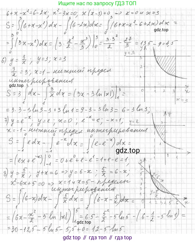
4) Найдем площадь фигуры, ограниченной параболой $y = 6 + x - x^2$ и прямой $y = 6 - 2x$.
Найдем точки пересечения: $6 + x - x^2 = 6 - 2x$, что приводит к уравнению $x^2 - 3x = 0$.
$x(x - 3) = 0$, откуда $x_1 = 0$ и $x_2 = 3$.
На интервале $[0, 3]$ выберем пробную точку $x=1$. Для параболы $y = 6 + 1 - 1^2 = 6$. Для прямой $y = 6 - 2(1) = 4$. Следовательно, парабола находится выше прямой.
Площадь фигуры $S$ равна:
$$ S = \int_{0}^{3} ((6 + x - x^2) - (6 - 2x)) \,dx = \int_{0}^{3} (3x - x^2) \,dx $$
Вычислим интеграл:
$$ \int_{0}^{3} (3x - x^2) \,dx = \left[ \frac{3x^2}{2} - \frac{x^3}{3} \right]_{0}^{3} = \left(\frac{3 \cdot 3^2}{2} - \frac{3^3}{3}\right) - 0 = \frac{27}{2} - 9 = \frac{27 - 18}{2} = \frac{9}{2} $$
Ответ: $\frac{9}{2}$
5) Найдем площадь фигуры, ограниченной параболами $y = x^2 - 4x + 4$ и $y = 4 - x^2$.
Найдем точки пересечения: $x^2 - 4x + 4 = 4 - x^2$.
$2x^2 - 4x = 0$
$2x(x - 2) = 0$, откуда $x_1 = 0$ и $x_2 = 2$.
На интервале $[0, 2]$ выберем пробную точку $x=1$. Для первой параболы $y = 1^2 - 4(1) + 4 = 1$. Для второй параболы $y = 4 - 1^2 = 3$. Следовательно, парабола $y=4-x^2$ лежит выше.
Площадь фигуры $S$ равна:
$$ S = \int_{0}^{2} ((4 - x^2) - (x^2 - 4x + 4)) \,dx = \int_{0}^{2} (-2x^2 + 4x) \,dx $$
Вычислим интеграл:
$$ \int_{0}^{2} (-2x^2 + 4x) \,dx = \left[ -\frac{2x^3}{3} + \frac{4x^2}{2} \right]_{0}^{2} = \left[ -\frac{2x^3}{3} + 2x^2 \right]_{0}^{2} = \left(-\frac{2 \cdot 2^3}{3} + 2 \cdot 2^2\right) - 0 = -\frac{16}{3} + 8 = \frac{-16 + 24}{3} = \frac{8}{3} $$
Ответ: $\frac{8}{3}$
6) Найдем площадь фигуры, ограниченной гиперболой $y = \frac{3}{x}$ и прямыми $y = 3$, $x = 3$.
Найдем точку пересечения гиперболы $y = \frac{3}{x}$ и прямой $y=3$: $\frac{3}{x} = 3$, откуда $x=1$. Фигура ограничена вертикальными прямыми $x=1$ и $x=3$.
На интервале $[1, 3]$ прямая $y=3$ лежит выше гиперболы $y=\frac{3}{x}$ (так как при $x>1$, $\frac{3}{x} < 3$).
Площадь фигуры $S$ равна:
$$ S = \int_{1}^{3} \left(3 - \frac{3}{x}\right) \,dx $$
Вычислим интеграл:
$$ \int_{1}^{3} \left(3 - \frac{3}{x}\right) \,dx = \left[ 3x - 3\ln|x| \right]_{1}^{3} = (3 \cdot 3 - 3\ln(3)) - (3 \cdot 1 - 3\ln(1)) = (9 - 3\ln(3)) - (3 - 0) = 6 - 3\ln(3) $$
Ответ: $6 - 3\ln(3)$
7) Найдем площадь фигуры, ограниченной графиком функции $y = e^{-x}$ и прямыми $y = e$, $x = 0$.
Найдем точку пересечения кривой $y = e^{-x}$ и прямой $y=e$: $e^{-x} = e^1$, откуда $-x=1$, то есть $x=-1$. Фигура ограничена вертикальными прямыми $x=-1$ и $x=0$.
На интервале $[-1, 0]$ прямая $y=e$ лежит выше кривой $y=e^{-x}$ (например, при $x=-0.5$, $y=e \approx 2.718$, а $y=e^{0.5} \approx 1.649$).
Площадь фигуры $S$ равна:
$$ S = \int_{-1}^{0} (e - e^{-x}) \,dx $$
Вычислим интеграл:
$$ \int_{-1}^{0} (e - e^{-x}) \,dx = \left[ ex - (-e^{-x}) \right]_{-1}^{0} = \left[ ex + e^{-x} \right]_{-1}^{0} = (e \cdot 0 + e^0) - (e \cdot (-1) + e^{-(-1)}) = (0 + 1) - (-e + e) = 1 - 0 = 1 $$
Ответ: $1$
8) Найдем площадь фигуры, ограниченной гиперболой $y = \frac{5}{x}$ и прямой $x + y = 6$.
Прямую можно представить как $y = 6 - x$. Найдем точки пересечения: $\frac{5}{x} = 6 - x$.
$5 = 6x - x^2$, что приводит к квадратному уравнению $x^2 - 6x + 5 = 0$.
Корни уравнения $(x-1)(x-5)=0$ равны $x_1 = 1$ и $x_2 = 5$.
На интервале $[1, 5]$ выберем пробную точку $x=2$. Для гиперболы $y = \frac{5}{2} = 2,5$. Для прямой $y = 6 - 2 = 4$. Следовательно, прямая лежит выше гиперболы.
Площадь фигуры $S$ равна:
$$ S = \int_{1}^{5} \left((6 - x) - \frac{5}{x}\right) \,dx $$
Вычислим интеграл:
$$ \int_{1}^{5} \left(6 - x - \frac{5}{x}\right) \,dx = \left[ 6x - \frac{x^2}{2} - 5\ln|x| \right]_{1}^{5} = \left(6 \cdot 5 - \frac{5^2}{2} - 5\ln(5)\right) - \left(6 \cdot 1 - \frac{1^2}{2} - 5\ln(1)\right) = \left(30 - \frac{25}{2} - 5\ln(5)\right) - \left(6 - \frac{1}{2} - 0\right) = \left(\frac{60-25}{2} - 5\ln(5)\right) - \frac{11}{2} = \frac{35}{2} - 5\ln(5) - \frac{11}{2} = \frac{24}{2} - 5\ln(5) = 12 - 5\ln(5) $$
Ответ: $12 - 5\ln(5)$
№11.12 (с. 102)
Учебник. №11.12 (с. 102)
скриншот условия

11.12. При каком положительном значении a определённый интеграл $ \int_0^a (6 - 2x) dx $ принимает наибольшее значение?
Решение. №11.12 (с. 102)


Решение 2. №11.12 (с. 102)
Чтобы найти, при каком положительном значении $a$ данный определённый интеграл принимает наибольшее значение, необходимо сначала вычислить этот интеграл. В результате мы получим функцию от $a$. Затем нужно будет найти, при каком значении $a$ эта функция достигает своего максимума.
1. Вычисление интеграла
Воспользуемся формулой Ньютона-Лейбница для вычисления определённого интеграла $\int_{0}^{a} (6 - 2x) dx$.
Сначала найдём первообразную $F(x)$ для подынтегральной функции $f(x) = 6 - 2x$:
$F(x) = \int (6 - 2x) dx = 6x - 2 \cdot \frac{x^2}{2} + C = 6x - x^2 + C$.
Теперь вычислим значение интеграла:
$\int_{0}^{a} (6 - 2x) dx = [6x - x^2]_{0}^{a} = (6a - a^2) - (6 \cdot 0 - 0^2) = 6a - a^2$.
2. Нахождение наибольшего значения функции
Мы получили функцию, зависящую от $a$: $I(a) = 6a - a^2$. Нам необходимо найти такое положительное значение $a$ ($a > 0$), при котором эта функция принимает наибольшее значение.
Функция $I(a) = -a^2 + 6a$ является квадратичной. Её график — это парабола, ветви которой направлены вниз (поскольку коэффициент при $a^2$ отрицателен). Наибольшее значение такая парабола принимает в своей вершине.
Координата $a$ вершины параболы вида $y = kx^2 + bx + c$ находится по формуле $x_v = -\frac{b}{2k}$. В нашем случае переменная — $a$, коэффициенты $k = -1$ и $b = 6$.
$a_{вершины} = -\frac{6}{2 \cdot (-1)} = -\frac{6}{-2} = 3$.
Значение $a=3$ является положительным, что удовлетворяет условию задачи.
Также можно найти максимум с помощью производной. Найдём производную функции $I(a)$ и приравняем её к нулю:
$I'(a) = (6a - a^2)' = 6 - 2a$.
$6 - 2a = 0 \implies 2a = 6 \implies a = 3$.
Для проверки того, что это точка максимума, найдём вторую производную: $I''(a) = -2$. Так как $I''(a) < 0$, точка $a=3$ действительно является точкой максимума.
Ответ: $3$.
№11.13 (с. 102)
Учебник. №11.13 (с. 102)
скриншот условия

11.13. При каких значениях $a$ площадь фигуры, ограниченной линиями $y = x^2$, $y = 0$, $x = a$, равна 9?
Решение. №11.13 (с. 102)

Решение 2. №11.13 (с. 102)
11.13.
Площадь фигуры, ограниченной линиями $y=x^2$, $y=0$ и $x=a$, вычисляется с помощью определенного интеграла. Фигура ограничена параболой $y=x^2$, осью абсцисс $y=0$ (которую парабола пересекает в точке $x=0$), и вертикальной прямой $x=a$. Таким образом, пределы интегрирования — от 0 до $a$.
Площадь $S$ вычисляется по формуле:
$S = \left| \int_{0}^{a} x^2 \,dx \right|$
Использование модуля необходимо, так как площадь не может быть отрицательной, а параметр $a$ может быть как положительным, так и отрицательным. Если $a<0$, то интеграл от 0 до $a$ будет отрицательным, а площадь, как геометрическая величина, положительна.
Вычислим интеграл по формуле Ньютона-Лейбница. Первообразная для $f(x)=x^2$ есть $F(x) = \frac{x^3}{3}$.
$\int_{0}^{a} x^2 \,dx = \left[ \frac{x^3}{3} \right]_{0}^{a} = \frac{a^3}{3} - \frac{0^3}{3} = \frac{a^3}{3}$
Следовательно, площадь фигуры равна:
$S = \left| \frac{a^3}{3} \right|$
По условию задачи, площадь $S=9$. Составим и решим уравнение:
$\left| \frac{a^3}{3} \right| = 9$
Умножим обе части на 3:
$|a^3| = 27$
Это уравнение с модулем распадается на два случая:
1) $a^3 = 27$
$a = \sqrt[3]{27} = 3$
2) $a^3 = -27$
$a = \sqrt[3]{-27} = -3$
Таким образом, условию задачи удовлетворяют два значения параметра $a$.
Ответ: $a=3, a=-3$.
№11.14 (с. 102)
Учебник. №11.14 (с. 102)
скриншот условия

11.14. При каких значениях $a$ площадь фигуры, ограниченной линиями $y = 2x^3$, $y = 0$, $x = a$, равна 8?
Решение. №11.14 (с. 102)

Решение 2. №11.14 (с. 102)
Площадь фигуры, ограниченной графиком функции $y=f(x)$, осью абсцисс ($y=0$), и вертикальными прямыми $x=x_1$ и $x=x_2$, находится с помощью определенного интеграла. Формула для площади $S$ выглядит так:
$S = \left| \int_{x_1}^{x_2} f(x) \,dx \right|$
В нашем случае фигура ограничена линиями $y=2x^3$, $y=0$, $x=0$ и $x=a$. Следовательно, $f(x)=2x^3$, пределы интегрирования — от $0$ до $a$. По условию, площадь $S$ равна 8. Запишем соответствующее уравнение:
$S = \left| \int_0^a 2x^3 \,dx \right| = 8$
Вычислим определенный интеграл, используя формулу Ньютона-Лейбница. Сначала найдем первообразную для функции $f(x)=2x^3$:
$F(x) = \int 2x^3 \,dx = 2 \cdot \frac{x^{3+1}}{3+1} = 2 \cdot \frac{x^4}{4} = \frac{x^4}{2}$
Теперь вычислим значение определенного интеграла:
$\int_0^a 2x^3 \,dx = F(a) - F(0) = \frac{a^4}{2} - \frac{0^4}{2} = \frac{a^4}{2}$
Подставим результат в уравнение для площади:
$S = \left| \frac{a^4}{2} \right| = 8$
Так как $a^4$ является неотрицательной величиной при любом действительном значении $a$ ($a^4 \ge 0$), то модуль можно опустить:
$\frac{a^4}{2} = 8$
Решим полученное уравнение относительно $a$:
$a^4 = 8 \cdot 2$
$a^4 = 16$
Извлекая корень четвертой степени, находим действительные решения:
$a = \pm\sqrt[4]{16}$
$a = \pm 2$
Таким образом, площадь указанной фигуры равна 8 при $a=2$ и при $a=-2$. Если $a=2$, то площадь — это $\int_0^2 2x^3 \,dx$. Если $a=-2$, то фигура ограничена линиями $x=0$ и $x=-2$, а ее площадь равна $\left| \int_0^{-2} 2x^3 \,dx \right| = \left| \frac{(-2)^4}{2} \right| = 8$.
Ответ: $a=2$ или $a=-2$.
№11.15 (с. 102)
Учебник. №11.15 (с. 102)
скриншот условия

11.15. При каком значении $a$ прямая $x = a$ разбивает фигуру, ограниченную графиком функции $y = \frac{2}{x}$ и прямыми $y = 0, x = 3, x = 12$, на две равновеликие фигуры?
Решение. №11.15 (с. 102)

Решение 2. №11.15 (с. 102)
Для решения задачи необходимо найти такое значение $a$, при котором площади двух фигур, на которые прямая $x=a$ делит исходную фигуру, будут равны. Исходная фигура представляет собой криволинейную трапецию, ограниченную графиком функции $y = \frac{2}{x}$, осью абсцисс $y = 0$ и прямыми $x = 3$ и $x = 12$.
Площадь криволинейной трапеции, ограниченной графиком непрерывной и неотрицательной на отрезке $[b; c]$ функции $y = f(x)$, осью абсцисс и прямыми $x = b$ и $x = c$, вычисляется по формуле определенного интеграла:
$S = \int_{b}^{c} f(x) \,dx$
Сначала найдем общую площадь $S$ всей фигуры, подставив наши данные: $f(x) = \frac{2}{x}$, $b=3$, $c=12$.
$S = \int_{3}^{12} \frac{2}{x} \,dx$
Первообразная для функции $f(x) = \frac{2}{x}$ есть $F(x) = 2 \ln|x|$. Так как на отрезке $[3, 12]$ значение $x$ положительно, то $|x| = x$.
Вычислим интеграл по формуле Ньютона-Лейбница:
$S = [2 \ln x]_{3}^{12} = 2 \ln(12) - 2 \ln(3) = 2(\ln(12) - \ln(3))$
Используя свойство логарифмов $\ln a - \ln b = \ln \frac{a}{b}$, получаем:
$S = 2 \ln\left(\frac{12}{3}\right) = 2 \ln 4$
Прямая $x = a$ делит эту фигуру на две равновеликие части. Это означает, что площадь левой части, ограниченной прямыми $x=3$ и $x=a$, должна быть равна половине общей площади $S$. Очевидно, что $3 < a < 12$.
Площадь левой части $S_1$ равна:
$S_1 = \int_{3}^{a} \frac{2}{x} \,dx = \frac{S}{2} = \frac{2 \ln 4}{2} = \ln 4$
Вычислим интеграл для $S_1$:
$S_1 = [2 \ln x]_{3}^{a} = 2 \ln(a) - 2 \ln(3) = 2 \ln\left(\frac{a}{3}\right)$
Теперь приравняем два выражения для $S_1$:
$2 \ln\left(\frac{a}{3}\right) = \ln 4$
Используя свойство логарифма $n \ln a = \ln a^n$, перепишем левую часть:
$\ln\left(\left(\frac{a}{3}\right)^2\right) = \ln 4$
Так как логарифмическая функция монотонна, то если равны значения логарифмов, равны и их аргументы:
$\left(\frac{a}{3}\right)^2 = 4$
$\frac{a^2}{9} = 4$
$a^2 = 36$
Поскольку $a$ должно лежать в интервале $(3, 12)$, мы выбираем положительный корень:
$a = 6$
Это значение удовлетворяет условию $3 < 6 < 12$.
Ответ: $a = 6$
№11.16 (с. 102)
Учебник. №11.16 (с. 102)
скриншот условия

11.16. При каком значении $a$ прямая $x = a$ разбивает фигуру, ограниченную графиком функции $y = -x^3$ и прямыми $y = 0, x = -2$, на две равновеликие фигуры?
Решение. №11.16 (с. 102)


Решение 2. №11.16 (с. 102)
Сначала найдем площадь фигуры, которую нужно разделить. Эта фигура ограничена графиком функции $y = -x^3$, прямой $y=0$ (ось абсцисс) и прямой $x = -2$. Чтобы определить пределы интегрирования по оси $x$, найдем точку пересечения графика $y = -x^3$ с осью $y = 0$:
$-x^3 = 0 \implies x = 0$.
Таким образом, фигура является криволинейной трапецией, расположенной в пределах от $x=-2$ до $x=0$. На этом интервале, $[-2, 0]$, функция $y = -x^3$ принимает неотрицательные значения (например, при $x=-1$, $y=-(-1)^3=1$), следовательно, ее график лежит выше оси абсцисс.
Площадь $S$ этой фигуры вычисляется как определенный интеграл:
$S = \int_{-2}^{0} (-x^3) \,dx$
Для вычисления интеграла найдем первообразную функции $f(x) = -x^3$. Первообразная равна $F(x) = -\frac{x^4}{4}$.
Теперь вычислим площадь по формуле Ньютона-Лейбница:
$S = F(0) - F(-2) = \left(-\frac{0^4}{4}\right) - \left(-\frac{(-2)^4}{4}\right) = 0 - \left(-\frac{16}{4}\right) = 4$.
Прямая $x=a$ должна разделить эту фигуру на две равновеликие, то есть на две фигуры с равными площадями. Это означает, что площадь каждой из частей должна быть равна $S/2 = 4/2 = 2$.
Прямая $x=a$ находится между границами фигуры, то есть $-2 < a < 0$. Площадь части фигуры, ограниченной линиями от $x=-2$ до $x=a$, должна быть равна 2. Составим уравнение:
$\int_{-2}^{a} (-x^3) \,dx = 2$
Вычисляем левую часть уравнения:
$\left[-\frac{x^4}{4}\right]_{-2}^{a} = \left(-\frac{a^4}{4}\right) - \left(-\frac{(-2)^4}{4}\right) = -\frac{a^4}{4} - \left(-\frac{16}{4}\right) = -\frac{a^4}{4} + 4$.
Теперь решаем уравнение:
$-\frac{a^4}{4} + 4 = 2$
$-\frac{a^4}{4} = -2$
$a^4 = 8$
$a = \pm\sqrt[4]{8}$
Учитывая условие $-2 < a < 0$, выбираем отрицательное значение корня:
$a = -\sqrt[4]{8}$.
Проверим, что найденное значение $a$ удовлетворяет неравенству $-2 < a < 0$. Очевидно, что $-\sqrt[4]{8} < 0$. Сравним $a$ с $-2$. Неравенство $-\sqrt[4]{8} > -2$ эквивалентно $\sqrt[4]{8} < 2$. Возведя обе части в четвертую степень, получим $8 < 16$, что является верным неравенством. Следовательно, найденное значение $a$ подходит.
Ответ: $a = -\sqrt[4]{8}$.
Помогло решение? Оставьте отзыв в комментариях ниже.