Страница 119 - гдз по алгебре 11 класс учебник Мерзляк, Номировский

Авторы: Мерзляк А. Г., Номировский Д. А., Полонский В. Б., Якир М. С.
Тип: Учебник
Издательство: Просвещение
Год издания: 2016 - 2025
Уровень обучения: базовый
Цвет обложки: синий, зелёный
Допущено Министерством просвещения Российской Федерации
Математика. Алгебра и начала математического анализа
Популярные ГДЗ в 11 классе
Cтраница 119

№1 (с. 119)
Учебник. №1 (с. 119)
скриншот условия

1. Какие выводы называют индуктивными?
Решение 2. №1 (с. 119)
1. Индуктивными выводами (или индуктивными умозаключениями) называют такой метод рассуждения, при котором общий вывод формулируется на основе частных посылок, то есть происходит логический переход от частных фактов к общему утверждению. Суть индукции заключается в обобщении данных, полученных из опыта или наблюдений.
Ключевой особенностью индуктивных выводов является их вероятностный характер. В отличие от дедукции, где истинность посылок гарантирует истинность заключения, в индукции посылки лишь подтверждают вывод, делают его более правдоподобным, но не обеспечивают его стопроцентной достоверности. Новые факты могут как укрепить индуктивный вывод, так и полностью его опровергнуть. Индукция позволяет получать новое знание, которое выходит за рамки исходных посылок.
Классический пример индукции:
Посылка 1: Железо, которое мы исследовали, проводит электрический ток.
Посылка 2: Медь, которую мы исследовали, проводит электрический ток.
Посылка 3: Алюминий, который мы исследовали, проводит электрический ток.
Индуктивный вывод: Следовательно, все металлы проводят электрический ток.
Этот вывод является сильным научным обобщением, но с точки зрения строгой логики он остается вероятностным, так как мы не можем проверить абсолютно все существующие металлы.
Различают два основных вида индукции:
Полная индукция — умозаключение, в котором общий вывод делается на основе изучения каждого элемента конечного и обозримого множества. Такой вывод всегда является достоверным. Например, проверив каждого ученика в классе и установив, что все они выполнили домашнее задание, можно сделать достоверный вывод: "Все ученики в этом классе выполнили домашнее задание".
Неполная индукция — умозаключение, в котором вывод обо всем классе объектов делается на основе изучения лишь части этих объектов. Это самый распространенный тип индукции, и именно его выводы носят вероятностный характер. Она играет фундаментальную роль в научном познании, позволяя формулировать гипотезы и эмпирические законы на основе экспериментальных данных.
Ответ: Индуктивными называют выводы, представляющие собой обобщение, сделанное на основе наблюдений за частными случаями (логический переход от частного к общему). Такие выводы, за исключением случаев полной индукции, всегда носят вероятностный, а не достоверный характер.
№2 (с. 119)
Учебник. №2 (с. 119)
скриншот условия

2. Опишите схему доказательства методом математической индукции.
Решение 2. №2 (с. 119)
Метод математической индукции — это способ доказательства утверждений, зависящих от натурального числа $n$. Доказательство по индукции позволяет установить истинность утверждения для бесконечного множества натуральных чисел, выполнив конечное число шагов. Схема доказательства состоит из двух основных этапов.
Пусть требуется доказать, что некоторое утверждение $P(n)$ верно для всех натуральных чисел $n \ge n_0$, где $n_0$ — некоторое начальное натуральное число (часто $n_0 = 1$ или $n_0 = 0$).
1. База (базис) индукции
На этом шаге доказывается, что утверждение $P(n)$ истинно для самого первого (начального) значения $n=n_0$. Для этого нужно подставить $n_0$ в утверждение $P(n)$ и напрямую проверить его истинность. Этот шаг закладывает основу для всего доказательства.
2. Индукционный переход (шаг индукции)
На этом шаге доказывается, что если утверждение верно для некоторого произвольного натурального числа $k$ (где $k \ge n_0$), то оно будет верно и для следующего за ним числа, то есть для $k+1$. Формально, доказывается истинность импликации (логического следования) $P(k) \implies P(k+1)$ для любого $k \ge n_0$.
Этот шаг, в свою очередь, состоит из двух частей:
Индукционное предположение: Мы предполагаем, что утверждение $P(k)$ является истинным для некоторого произвольного числа $k \ge n_0$. Это предположение является гипотезой, на которую мы будем опираться.
Доказательство для $k+1$: Используя индукционное предположение (то есть, считая $P(k)$ истинным), мы должны с помощью строгих логических и математических преобразований доказать, что утверждение $P(k+1)$ также будет истинным.
Если оба шага — база индукции и индукционный переход — успешно выполнены, то по принципу математической индукции делается вывод, что утверждение $P(n)$ истинно для всех натуральных чисел $n \ge n_0$.
Этот метод можно сравнить с принципом домино: база индукции — это толчок первой костяшки. Индукционный переход — это гарантия того, что костяшки расставлены достаточно близко, чтобы падение любой костяшки ($k$) неизбежно вызвало падение следующей ($k+1$). Если мы толкнули первую костяшку и уверены, что каждое падение вызовет следующее, то в итоге упадут все костяшки в ряду.
Ответ: Схема доказательства утверждения $P(n)$ для всех натуральных $n \ge n_0$ методом математической индукции включает два обязательных этапа. Первый этап — база индукции: проверка и доказательство истинности утверждения для начального значения $n=n_0$, то есть доказывается $P(n_0)$. Второй этап — индукционный переход: доказывается, что если предположить истинность утверждения для произвольного $k \ge n_0$ (индукционное предположение $P(k)$), то из этого следует истинность утверждения для $k+1$ (доказывается $P(k+1)$). Выполнение этих двух условий доказывает истинность $P(n)$ для всех $n \ge n_0$.
№3 (с. 119)
Учебник. №3 (с. 119)
скриншот условия

3. Из каких двух теорем состоит доказательство методом математической индукции?
Решение 2. №3 (с. 119)
Доказательство методом математической индукции, по своей сути, является применением аксиомы индукции. Оно состоит не из двух отдельных теорем, а из двух обязательных шагов (частей), которые необходимо доказать, чтобы обосновать истинность некоторого утверждения $P(n)$ для всех натуральных чисел $n$, начиная с некоторого начального значения $n_0$. Эти два шага можно условно назвать "теоремами", которые доказываются в рамках метода.
Первая часть: Базис индукции
На этом этапе доказывается, что утверждение $P(n)$ истинно для самого первого, начального значения $n=n_0$. Чаще всего в задачах $n_0=1$ или $n_0=0$. Этот шаг является фундаментом всего доказательства. Проверив истинность $P(n_0)$, мы устанавливаем отправную точку, с которой начнется "цепная реакция" доказательства.
Ответ: Первая часть — это доказательство истинности утверждения для начального значения $n_0$, то есть доказательство того, что $P(n_0)$ — истина.
Вторая часть: Индукционный переход (или индукционный шаг)
На этом этапе доказывается, что если наше утверждение верно для некоторого произвольного натурального числа $k$ (где $k \ge n_0$), то оно будет верно и для следующего за ним числа, $k+1$. Утверждение "P(k) истинно" называется индукционным предположением. Таким образом, задача этого шага — доказать импликацию (логическое следование): $P(k) \implies P(k+1)$. Этот шаг показывает, что истинность утверждения "передается" от любого числа к следующему. Совместно с базисом индукции это гарантирует, что утверждение будет истинным для всех натуральных чисел $n \ge n_0$.
Ответ: Вторая часть — это доказательство того, что из истинности утверждения для произвольного натурального числа $k \ge n_0$ (индукционное предположение) следует его истинность для следующего числа $k+1$. Формально: доказывается истинность импликации $P(k) \implies P(k+1)$.
№13.1 (с. 119)
Учебник. №13.1 (с. 119)
скриншот условия

13.1. Числа 24, 44, 64, 84 кратны 4. Можно ли из этого сделать вывод, что число, которое оканчивается цифрой 4, кратно 4?
Решение. №13.1 (с. 119)

Решение 2. №13.1 (с. 119)
Нет, на основании приведенных примеров нельзя сделать вывод, что любое число, которое оканчивается на цифру 4, кратно 4.
В математике для опровержения общего утверждения достаточно найти всего один пример, который ему противоречит (такой пример называется контрпримером).
Рассмотрим число 14. Оно оканчивается на цифру 4. Проверим, делится ли оно на 4 нацело: $14 \div 4 = 3.5$
Поскольку в результате деления мы не получили целое число, число 14 не кратно 4. Следовательно, утверждение о том, что любое число, оканчивающееся на 4, кратно 4, является ложным.
Стоит отметить, что признак делимости на 4 связан не с последней цифрой, а с числом, образованным двумя последними цифрами. Число делится на 4, если число, составленное из двух его последних цифр, делится на 4. Например, в числе 84 две последние цифры образуют 84, и $84 \div 4 = 21$. А в числе 14 две последние цифры образуют 14, которое на 4 не делится.
Ответ: нет, нельзя сделать такой вывод.
№13.2 (с. 119)
Учебник. №13.2 (с. 119)
скриншот условия

13.2. Значения многочлена $f(n) = n^2 - n + 17$ при $n = 1, n = 2, ..., n = 16$ являются простыми числами. Можно ли отсюда сделать вывод, что $f(n)$ является простым числом при всех $n \in N$?
Решение. №13.2 (с. 119)

Решение 2. №13.2 (с. 119)
Нет, на основании того, что многочлен $f(n) = n^2 - n + 17$ дает простые числа для $n = 1, 2, ..., 16$, нельзя сделать вывод, что $f(n)$ является простым числом при всех натуральных $n \in \mathbb{N}$.
В математике утверждение, верное для некоторого количества начальных случаев, не обязательно является верным для всех случаев. Чтобы доказать, что утверждение не является верным в общем виде, достаточно найти всего один контрпример.
Давайте проверим значение многочлена для следующего натурального числа, то есть при $n=17$.
Подставим $n=17$ в формулу $f(n) = n^2 - n + 17$:$f(17) = 17^2 - 17 + 17 = 17^2 = 289$.
Число 289 не является простым, так как оно составное. Его можно представить в виде произведения $17 \times 17$. Поскольку у числа 289 есть делитель (17), отличный от 1 и самого себя, оно не является простым.
Таким образом, мы нашли контрпример ($n=17$), который показывает, что исходное предположение неверно.
Ответ: Нет, такой вывод сделать нельзя, так как, например, при $n=17$ значение многочлена $f(17) = 289 = 17^2$ является составным числом.
№13.3 (с. 119)
Учебник. №13.3 (с. 119)
скриншот условия

13.3. Докажите, что при любом натуральном n выполняется равенство:
1) $1 + 2 + 3 + \dots + n = \frac{n(n+1)}{2};$
2) $1^3 + 2^3 + 3^3 + \dots + n^3 = \left(\frac{n(n+1)}{2}\right)^2;$
3) $1^2 + 2^2 + 3^2 + \dots + n^2 = \frac{n(n+1)(2n+1)}{6};$
4) $1^2 + 3^2 + 5^2 + \dots + (2n - 1)^2 = \frac{n(4n^2 - 1)}{3}.$
Решение. №13.3 (с. 119)



Решение 2. №13.3 (с. 119)
1) Докажем равенство $1 + 2 + 3 + ... + n = \frac{n(n+1)}{2}$ методом математической индукции. База индукции: Проверим утверждение для $n=1$. Левая часть: $1$. Правая часть: $\frac{1(1+1)}{2} = \frac{1 \cdot 2}{2} = 1$. Равенство выполняется. Индукционное предположение: Предположим, что равенство верно для некоторого натурального $n=k$, то есть $1 + 2 + ... + k = \frac{k(k+1)}{2}$. Индукционный шаг: Докажем, что равенство верно для $n=k+1$. Нам нужно показать, что $1 + 2 + ... + k + (k+1) = \frac{(k+1)((k+1)+1)}{2} = \frac{(k+1)(k+2)}{2}$. Рассмотрим левую часть равенства для $n=k+1$: $S_{k+1} = (1 + 2 + ... + k) + (k+1)$. Используя индукционное предположение, заменяем сумму в скобках: $S_{k+1} = \frac{k(k+1)}{2} + (k+1)$. Приводя к общему знаменателю и вынося общий множитель $(k+1)$, получаем: $S_{k+1} = \frac{k(k+1) + 2(k+1)}{2} = \frac{(k+1)(k+2)}{2}$. Мы получили правую часть равенства для $n=k+1$. Таким образом, индукционный переход доказан. По принципу математической индукции, равенство верно для любого натурального $n$.
Ответ: Равенство доказано методом математической индукции.
2) Докажем равенство $1^3 + 2^3 + 3^3 + ... + n^3 = \left(\frac{n(n+1)}{2}\right)^2$ методом математической индукции. База индукции: Проверим утверждение для $n=1$. Левая часть: $1^3 = 1$. Правая часть: $\left(\frac{1(1+1)}{2}\right)^2 = \left(\frac{2}{2}\right)^2 = 1^2 = 1$. Равенство выполняется. Индукционное предположение: Предположим, что равенство верно для некоторого натурального $n=k$: $1^3 + 2^3 + ... + k^3 = \left(\frac{k(k+1)}{2}\right)^2$. Индукционный шаг: Докажем, что равенство верно для $n=k+1$. Нам нужно показать, что $1^3 + 2^3 + ... + k^3 + (k+1)^3 = \left(\frac{(k+1)(k+2)}{2}\right)^2$. Рассмотрим левую часть равенства для $n=k+1$: $S_{k+1} = (1^3 + 2^3 + ... + k^3) + (k+1)^3$. Используя индукционное предположение: $S_{k+1} = \left(\frac{k(k+1)}{2}\right)^2 + (k+1)^3 = \frac{k^2(k+1)^2}{4} + (k+1)^3$. Вынесем общий множитель $(k+1)^2$: $S_{k+1} = (k+1)^2 \left(\frac{k^2}{4} + k+1\right) = (k+1)^2 \left(\frac{k^2 + 4k + 4}{4}\right) = (k+1)^2 \frac{(k+2)^2}{4} = \left(\frac{(k+1)(k+2)}{2}\right)^2$. Мы получили правую часть равенства для $n=k+1$. Индукционный переход доказан.
Ответ: Равенство доказано методом математической индукции.
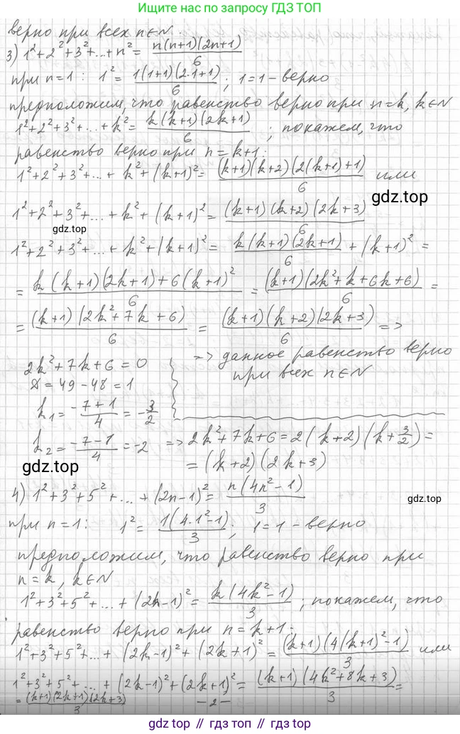
3) Докажем равенство $1^2 + 2^2 + 3^2 + ... + n^2 = \frac{n(n+1)(2n+1)}{6}$ методом математической индукции. База индукции: Проверим для $n=1$. Левая часть: $1^2 = 1$. Правая часть: $\frac{1(1+1)(2 \cdot 1+1)}{6} = \frac{1 \cdot 2 \cdot 3}{6} = 1$. Равенство выполняется. Индукционное предположение: Предположим, что равенство верно для $n=k$: $1^2 + 2^2 + ... + k^2 = \frac{k(k+1)(2k+1)}{6}$. Индукционный шаг: Докажем, что равенство верно для $n=k+1$. Нужно показать, что $1^2 + 2^2 + ... + k^2 + (k+1)^2 = \frac{(k+1)(k+2)(2(k+1)+1)}{6} = \frac{(k+1)(k+2)(2k+3)}{6}$. Рассмотрим левую часть для $n=k+1$: $S_{k+1} = (1^2 + 2^2 + ... + k^2) + (k+1)^2$. По индукционному предположению: $S_{k+1} = \frac{k(k+1)(2k+1)}{6} + (k+1)^2$. Вынесем общий множитель $(k+1)$: $S_{k+1} = (k+1) \left( \frac{k(2k+1)}{6} + k+1 \right) = (k+1) \left( \frac{2k^2+k+6k+6}{6} \right) = (k+1) \left( \frac{2k^2+7k+6}{6} \right)$. Разложим квадратный трехчлен $2k^2+7k+6$ на множители: $2k^2+7k+6=(k+2)(2k+3)$. Тогда: $S_{k+1} = \frac{(k+1)(k+2)(2k+3)}{6}$. Мы получили правую часть равенства для $n=k+1$. Индукционный переход доказан.
Ответ: Равенство доказано методом математической индукции.
4) Докажем равенство $1^2 + 3^2 + 5^2 + ... + (2n-1)^2 = \frac{n(4n^2-1)}{3}$ методом математической индукции. База индукции: Проверим для $n=1$. Левая часть: $(2 \cdot 1-1)^2 = 1^2 = 1$. Правая часть: $\frac{1(4 \cdot 1^2-1)}{3} = \frac{1(4-1)}{3} = 1$. Равенство выполняется. Индукционное предположение: Предположим, что равенство верно для $n=k$: $1^2 + 3^2 + ... + (2k-1)^2 = \frac{k(4k^2-1)}{3}$. Индукционный шаг: Докажем, что равенство верно для $n=k+1$. Следующий член последовательности: $(2(k+1)-1)^2 = (2k+1)^2$. Нужно показать, что $1^2 + 3^2 + ... + (2k-1)^2 + (2k+1)^2 = \frac{(k+1)(4(k+1)^2-1)}{3}$. Рассмотрим левую часть для $n=k+1$: $S_{k+1} = (1^2 + 3^2 + ... + (2k-1)^2) + (2k+1)^2$. По индукционному предположению: $S_{k+1} = \frac{k(4k^2-1)}{3} + (2k+1)^2$. Используем формулу разности квадратов $4k^2-1=(2k-1)(2k+1)$: $S_{k+1} = \frac{k(2k-1)(2k+1)}{3} + (2k+1)^2$. Вынесем общий множитель $(2k+1)$: $S_{k+1} = (2k+1) \left( \frac{k(2k-1)}{3} + 2k+1 \right) = (2k+1) \left( \frac{2k^2-k+6k+3}{3} \right) = (2k+1) \frac{2k^2+5k+3}{3}$. Разложим на множители $2k^2+5k+3=(k+1)(2k+3)$. Получаем: $S_{k+1} = \frac{(2k+1)(k+1)(2k+3)}{3}$. Теперь преобразуем правую часть для $n=k+1$: $\frac{(k+1)(4(k+1)^2-1)}{3} = \frac{(k+1)(4(k^2+2k+1)-1)}{3} = \frac{(k+1)(4k^2+8k+3)}{3}$. Разложим $4k^2+8k+3=(2k+1)(2k+3)$. Получаем $\frac{(k+1)(2k+1)(2k+3)}{3}$. Левая и правая части совпали. Индукционный переход доказан.
Ответ: Равенство доказано методом математической индукции.
Помогло решение? Оставьте отзыв в комментариях ниже.