Страница 120 - гдз по алгебре 11 класс учебник Мерзляк, Номировский

Авторы: Мерзляк А. Г., Номировский Д. А., Полонский В. Б., Якир М. С.
Тип: Учебник
Издательство: Просвещение
Год издания: 2016 - 2025
Уровень обучения: базовый
Цвет обложки: синий, зелёный
Допущено Министерством просвещения Российской Федерации
Математика. Алгебра и начала математического анализа
Популярные ГДЗ в 11 классе
Cтраница 120

№13.4 (с. 120)
Учебник. №13.4 (с. 120)
скриншот условия

13.4. Докажите, что при любом натуральном n выполняется равенство:
1) $1 \cdot 2 + 2 \cdot 3 + 3 \cdot 4 + \dots + n(n + 1) = \frac{n(n + 1)(n + 2)}{3}$;
2) $1 \cdot 4 + 2 \cdot 7 + 3 \cdot 10 + \dots + n(3n + 1) = n(n + 1)^2$;
3) $1^3 + 3^3 + 5^3 + \dots + (2n - 1)^3 = n^2(2n^2 - 1).$
Решение. №13.4 (с. 120)


Решение 2. №13.4 (с. 120)
1) Докажем данное равенство $1 \cdot 2 + 2 \cdot 3 + 3 \cdot 4 + \dots + n(n + 1) = \frac{n(n + 1)(n + 2)}{3}$ методом математической индукции.
База индукции: Проверим утверждение для $n=1$.
Левая часть: $1 \cdot (1 + 1) = 1 \cdot 2 = 2$.
Правая часть: $\frac{1(1 + 1)(1 + 2)}{3} = \frac{1 \cdot 2 \cdot 3}{3} = 2$.
Левая часть равна правой, следовательно, утверждение верно для $n=1$.
Индукционный переход: Предположим, что равенство верно для некоторого натурального числа $k \ge 1$, то есть:
$1 \cdot 2 + 2 \cdot 3 + \dots + k(k + 1) = \frac{k(k + 1)(k + 2)}{3}$.
Докажем, что равенство верно и для $n = k+1$. Нам нужно доказать:
$1 \cdot 2 + 2 \cdot 3 + \dots + k(k + 1) + (k+1)(k+2) = \frac{(k+1)(k+2)(k+3)}{3}$.
Рассмотрим левую часть равенства для $n=k+1$. Используя предположение индукции, заменим сумму первых $k$ слагаемых:
$\underbrace{1 \cdot 2 + 2 \cdot 3 + \dots + k(k + 1)}_{(k(k+1)(k+2))/3} + (k+1)(k+2) = \frac{k(k + 1)(k + 2)}{3} + (k+1)(k+2)$.
Приведем выражение к общему знаменателю и вынесем общий множитель $(k+1)(k+2)$ за скобки:
$\frac{k(k+1)(k+2)}{3} + \frac{3(k+1)(k+2)}{3} = \frac{(k+1)(k+2)(k+3)}{3}$.
Полученное выражение совпадает с правой частью доказываемого равенства для $n=k+1$.
Таким образом, по принципу математической индукции, равенство верно для любого натурального $n$.
Ответ: Равенство доказано.
2) Докажем данное равенство $1 \cdot 4 + 2 \cdot 7 + 3 \cdot 10 + \dots + n(3n + 1) = n(n + 1)^2$ методом математической индукции.
База индукции: Проверим утверждение для $n=1$.
Левая часть: $1 \cdot (3 \cdot 1 + 1) = 1 \cdot 4 = 4$.
Правая часть: $1 \cdot (1 + 1)^2 = 1 \cdot 2^2 = 4$.
Левая часть равна правой, следовательно, утверждение верно для $n=1$.
Индукционный переход: Предположим, что равенство верно для некоторого натурального числа $k \ge 1$, то есть:
$1 \cdot 4 + 2 \cdot 7 + \dots + k(3k + 1) = k(k + 1)^2$.
Докажем, что равенство верно и для $n = k+1$. Нам нужно доказать:
$1 \cdot 4 + 2 \cdot 7 + \dots + (k+1)(3(k+1) + 1) = (k+1)((k+1) + 1)^2 = (k+1)(k+2)^2$.
Рассмотрим левую часть равенства для $n=k+1$. Следующий член суммы равен $(k+1)(3k+3+1) = (k+1)(3k+4)$. Используя предположение индукции, заменяем сумму первых $k$ слагаемых:
$\underbrace{1 \cdot 4 + 2 \cdot 7 + \dots + k(3k + 1)}_{k(k+1)^2} + (k+1)(3k+4) = k(k+1)^2 + (k+1)(3k+4)$.
Вынесем общий множитель $(k+1)$ за скобки:
$(k+1)[k(k+1) + (3k+4)] = (k+1)[k^2 + k + 3k + 4] = (k+1)(k^2 + 4k + 4)$.
Выражение в скобках является полным квадратом: $k^2+4k+4 = (k+2)^2$.
Таким образом, левая часть равна $(k+1)(k+2)^2$, что совпадает с правой частью доказываемого равенства для $n=k+1$.
Следовательно, по принципу математической индукции, равенство верно для любого натурального $n$.
Ответ: Равенство доказано.
3) Докажем данное равенство $1^3 + 3^3 + 5^3 + \dots + (2n - 1)^3 = n^2(2n^2 - 1)$ методом математической индукции.
База индукции: Проверим утверждение для $n=1$.
Левая часть: $(2 \cdot 1 - 1)^3 = 1^3 = 1$.
Правая часть: $1^2(2 \cdot 1^2 - 1) = 1 \cdot (2 - 1) = 1$.
Левая часть равна правой, следовательно, утверждение верно для $n=1$.
Индукционный переход: Предположим, что равенство верно для некоторого натурального числа $k \ge 1$, то есть:
$1^3 + 3^3 + 5^3 + \dots + (2k - 1)^3 = k^2(2k^2 - 1)$.
Докажем, что равенство верно и для $n = k+1$. Следующий член суммы - это куб $(k+1)$-го нечетного числа, то есть $(2(k+1)-1)^3 = (2k+1)^3$. Нам нужно доказать:
$1^3 + \dots + (2k - 1)^3 + (2k+1)^3 = (k+1)^2(2(k+1)^2 - 1)$.
Рассмотрим левую часть равенства для $n=k+1$. Используя предположение индукции, заменяем сумму первых $k$ слагаемых:
$\underbrace{1^3 + 3^3 + \dots + (2k - 1)^3}_{k^2(2k^2-1)} + (2k+1)^3 = k^2(2k^2 - 1) + (2k+1)^3$.
Раскроем скобки и упростим выражение:
$k^2(2k^2 - 1) + (2k+1)^3 = 2k^4 - k^2 + (8k^3 + 12k^2 + 6k + 1) = 2k^4 + 8k^3 + 11k^2 + 6k + 1$.
Теперь преобразуем правую часть доказываемого равенства для $n=k+1$:
$(k+1)^2(2(k+1)^2 - 1) = (k^2+2k+1)(2(k^2+2k+1) - 1) = (k^2+2k+1)(2k^2+4k+2 - 1) = (k^2+2k+1)(2k^2+4k+1)$.
Раскроем скобки в полученном выражении:
$k^2(2k^2+4k+1) + 2k(2k^2+4k+1) + 1(2k^2+4k+1) = (2k^4+4k^3+k^2) + (4k^3+8k^2+2k) + (2k^2+4k+1) = 2k^4 + 8k^3 + 11k^2 + 6k + 1$.
Так как левая и правая части равенства для $n=k+1$ оказались равны, индукционный переход доказан.
Следовательно, по принципу математической индукции, равенство верно для любого натурального $n$.
Ответ: Равенство доказано.
№13.5 (с. 120)
Учебник. №13.5 (с. 120)
скриншот условия

13.5. Выведите формулу для вычисления суммы
$\frac{1}{1 \cdot 3} + \frac{1}{3 \cdot 5} + \frac{1}{5 \cdot 7} + \dots + \frac{1}{(2n - 1)(2n + 1)}$, где $n \in N$.
Решение. №13.5 (с. 120)


Решение 2. №13.5 (с. 120)
Обозначим искомую сумму через $S_n$.
$S_n = \frac{1}{1 \cdot 3} + \frac{1}{3 \cdot 5} + \frac{1}{5 \cdot 7} + \dots + \frac{1}{(2n-1)(2n+1)}$
Общий член этой суммы имеет вид $a_k = \frac{1}{(2k-1)(2k+1)}$ для $k=1, 2, \dots, n$.
Для нахождения суммы представим каждый член в виде разности двух дробей (метод разложения на простейшие дроби). Ищем коэффициенты $A$ и $B$ такие, что:
$\frac{1}{(2k-1)(2k+1)} = \frac{A}{2k-1} + \frac{B}{2k+1}$
Приводя правую часть к общему знаменателю, получаем:
$1 = A(2k+1) + B(2k-1)$
Это тождество верно для любого значения $k$. Для нахождения коэффициентов подставим удобные значения $k$.
Пусть $k = \frac{1}{2}$. Тогда $2k-1=0$, и мы получаем:
$1 = A(2 \cdot \frac{1}{2} + 1) + B \cdot 0 \implies 1 = A(1+1) \implies 1 = 2A \implies A = \frac{1}{2}$
Пусть $k = -\frac{1}{2}$. Тогда $2k+1=0$, и мы получаем:
$1 = A \cdot 0 + B(2 \cdot (-\frac{1}{2}) - 1) \implies 1 = B(-1-1) \implies 1 = -2B \implies B = -\frac{1}{2}$
Таким образом, мы разложили общий член суммы:
$\frac{1}{(2k-1)(2k+1)} = \frac{1/2}{2k-1} - \frac{1/2}{2k+1} = \frac{1}{2}\left(\frac{1}{2k-1} - \frac{1}{2k+1}\right)$
Теперь подставим это выражение обратно в сумму:
$S_n = \sum_{k=1}^{n} \frac{1}{2}\left(\frac{1}{2k-1} - \frac{1}{2k+1}\right) = \frac{1}{2} \sum_{k=1}^{n} \left(\frac{1}{2k-1} - \frac{1}{2k+1}\right)$
Распишем слагаемые этой суммы:
$S_n = \frac{1}{2} \left[ \left(\frac{1}{1} - \frac{1}{3}\right) + \left(\frac{1}{3} - \frac{1}{5}\right) + \left(\frac{1}{5} - \frac{1}{7}\right) + \dots + \left(\frac{1}{2n-1} - \frac{1}{2n+1}\right) \right]$
Видно, что все промежуточные слагаемые взаимно уничтожаются (такая сумма называется телескопической). Остаются только первое и последнее слагаемые в скобках:
$S_n = \frac{1}{2} \left( 1 - \frac{1}{2n+1} \right)$
Упростим полученное выражение:
$S_n = \frac{1}{2} \left( \frac{2n+1-1}{2n+1} \right) = \frac{1}{2} \cdot \frac{2n}{2n+1} = \frac{n}{2n+1}$
Таким образом, мы вывели формулу для вычисления данной суммы.
Ответ: $\frac{n}{2n+1}$
№13.6 (с. 120)
Учебник. №13.6 (с. 120)
скриншот условия

13.6. Выведите формулу для вычисления суммы
$ \frac{1}{1 \cdot 2} + \frac{1}{2 \cdot 3} + \frac{1}{3 \cdot 4} + \ldots + \frac{1}{n(n+1)} $, где $ n \in \mathbf{N} $.
Решение. №13.6 (с. 120)


Решение 2. №13.6 (с. 120)
Для того чтобы вывести формулу для данной суммы, мы воспользуемся методом, известным как телескопическое суммирование. Сначала представим общий член суммы $a_k = \frac{1}{k(k+1)}$ в виде разности двух дробей. Для этого разложим его на простейшие дроби.
Пусть $ \frac{1}{k(k+1)} = \frac{A}{k} + \frac{B}{k+1} $.
Приведем правую часть к общему знаменателю:
$ \frac{1}{k(k+1)} = \frac{A(k+1) + B(k)}{k(k+1)} $.
Поскольку знаменатели равны, мы можем приравнять числители:
$ 1 = A(k+1) + B(k) $.
Это равенство должно выполняться для любого значения $k$. Найдем коэффициенты $A$ и $B$, подставив удобные значения $k$.
При $k=0$: $1 = A(0+1) + B \cdot 0 \implies A=1$.
При $k=-1$: $1 = A(-1+1) + B(-1) \implies 1 = -B \implies B=-1$.
Таким образом, мы получили, что каждый член суммы можно представить в виде:
$ \frac{1}{k(k+1)} = \frac{1}{k} - \frac{1}{k+1} $.
Теперь перепишем исходную сумму, используя это разложение для каждого слагаемого. Обозначим сумму через $S_n$:
$ S_n = \frac{1}{1 \cdot 2} + \frac{1}{2 \cdot 3} + \frac{1}{3 \cdot 4} + \dots + \frac{1}{n(n+1)} $
$ S_n = \left(\frac{1}{1} - \frac{1}{2}\right) + \left(\frac{1}{2} - \frac{1}{3}\right) + \left(\frac{1}{3} - \frac{1}{4}\right) + \dots + \left(\frac{1}{n-1} - \frac{1}{n}\right) + \left(\frac{1}{n} - \frac{1}{n+1}\right) $.
В полученной сумме все промежуточные члены взаимно уничтожаются. Член $-\frac{1}{2}$ из первой скобки сокращается с членом $+\frac{1}{2}$ из второй, член $-\frac{1}{3}$ из второй скобки сокращается с членом $+\frac{1}{3}$ из третьей, и так далее.
$ S_n = \frac{1}{1} \underbrace{- \frac{1}{2} + \frac{1}{2}}_{0} \underbrace{- \frac{1}{3} + \frac{1}{3}}_{0} - \dots \underbrace{- \frac{1}{n} + \frac{1}{n}}_{0} - \frac{1}{n+1} $
В результате остаются только первый член из первой скобки и последний член из последней скобки:
$ S_n = \frac{1}{1} - \frac{1}{n+1} $.
Упростим это выражение, приведя его к общему знаменателю:
$ S_n = 1 - \frac{1}{n+1} = \frac{n+1}{n+1} - \frac{1}{n+1} = \frac{n+1-1}{n+1} = \frac{n}{n+1} $.
Таким образом, мы вывели искомую формулу.
Ответ: $ \frac{n}{n+1} $
№13.7 (с. 120)
Учебник. №13.7 (с. 120)
скриншот условия

13.7. Докажите неравенство $2^n > 2n+1$, где $n \in \mathbf{N}$, $n \ge 3$.
Решение. №13.7 (с. 120)

Решение 2. №13.7 (с. 120)
Для доказательства данного неравенства воспользуемся методом математической индукции.
Шаг 1: База индукции
Проверим справедливость неравенства для наименьшего значения $n$ из заданного диапазона, то есть для $n=3$.
Подставим $n=3$ в неравенство $2^n > 2n + 1$:
$2^3 > 2 \cdot 3 + 1$
$8 > 6 + 1$
$8 > 7$
Неравенство верно. Таким образом, база индукции выполняется.
Шаг 2: Индукционный переход
Предположим, что неравенство верно для некоторого произвольного натурального числа $k$, где $k \ge 3$. Это наше индукционное предположение:
$2^k > 2k + 1$
Теперь докажем, что из этого предположения следует справедливость неравенства для $n = k+1$. То есть, нам нужно доказать, что:
$2^{k+1} > 2(k+1) + 1$
Начнем с преобразования левой части этого неравенства, используя свойства степеней:
$2^{k+1} = 2 \cdot 2^k$
Теперь воспользуемся индукционным предположением $2^k > 2k + 1$. Так как мы умножаем на положительное число 2, знак неравенства сохраняется:
$2 \cdot 2^k > 2 \cdot (2k + 1)$
Отсюда получаем:
$2^{k+1} > 4k + 2$
Мы хотим доказать, что $2^{k+1} > 2(k+1) + 1$, что эквивалентно $2^{k+1} > 2k + 3$.
У нас есть $2^{k+1} > 4k + 2$. Если мы докажем, что $4k + 2 > 2k + 3$, то по свойству транзитивности неравенств будет следовать и требуемое нам неравенство.
Проверим неравенство $4k + 2 > 2k + 3$:
$4k - 2k > 3 - 2$
$2k > 1$
$k > \frac{1}{2}$
Так как по условию $k \ge 3$, то неравенство $k > \frac{1}{2}$ является истинным.
Таким образом, мы установили следующую цепочку верных неравенств для $k \ge 3$:
$2^{k+1} > 4k + 2 > 2k + 3$
Следовательно, $2^{k+1} > 2k + 3$, что и требовалось доказать.
Поскольку база индукции верна и индукционный переход доказан, утверждение $2^n > 2n + 1$ справедливо для всех натуральных чисел $n \ge 3$.
Ответ: Неравенство $2^n > 2n + 1$ для всех $n \in \mathbb{N}, n \ge 3$ доказано методом математической индукции.
№13.8 (с. 120)
Учебник. №13.8 (с. 120)
скриншот условия

13.8. Докажите неравенство $3^n > 4n + 1$, где $n \in \mathbf{N}$, $n \ge 3$.
Решение. №13.8 (с. 120)


Решение 2. №13.8 (с. 120)
Доказательство проведем с помощью метода математической индукции.
Пусть $P(n)$ — это утверждение, что $3^n > 4n + 1$. Нам нужно доказать, что $P(n)$ истинно для всех натуральных чисел $n \ge 3$.
База индукции
Проверим истинность утверждения для наименьшего значения $n$ из заданного диапазона, то есть для $n=3$.
Подставим $n=3$ в неравенство:
$3^3 > 4 \cdot 3 + 1$
$27 > 12 + 1$
$27 > 13$
Неравенство верно. Таким образом, база индукции установлена.
Шаг индукции
Предположим, что утверждение $P(k)$ истинно для некоторого натурального числа $k \ge 3$. Это наше индукционное предположение:
$3^k > 4k + 1$
Теперь докажем, что из этого предположения следует истинность утверждения $P(k+1)$, то есть:
$3^{k+1} > 4(k+1) + 1$
Рассмотрим левую часть неравенства для $n=k+1$ и воспользуемся индукционным предположением:
$3^{k+1} = 3 \cdot 3^k$
Поскольку $3^k > 4k + 1$, мы можем умножить обе части этого неравенства на 3 (знак неравенства не изменится):
$3 \cdot 3^k > 3 \cdot (4k + 1)$
$3^{k+1} > 12k + 3$
Наша цель — доказать, что $3^{k+1} > 4(k+1) + 1$, что эквивалентно $3^{k+1} > 4k + 5$.
Мы уже показали, что $3^{k+1} > 12k + 3$. Теперь сравним $12k+3$ с $4k+5$. Если мы докажем, что $12k+3 > 4k+5$ для $k \ge 3$, то по свойству транзитивности неравенств мы докажем и шаг индукции.
Рассмотрим неравенство:
$12k + 3 > 4k + 5$
$12k - 4k > 5 - 3$
$8k > 2$
$k > \frac{2}{8}$
$k > \frac{1}{4}$
Поскольку мы рассматриваем случай, когда $k \ge 3$, условие $k > \frac{1}{4}$ выполняется.
Таким образом, мы имеем следующую цепочку неравенств для $k \ge 3$:
$3^{k+1} > 12k + 3 > 4k + 5 = 4(k+1) + 1$
Отсюда следует, что $3^{k+1} > 4(k+1) + 1$.
Шаг индукции доказан. Поскольку база индукции и шаг индукции верны, по принципу математической индукции неравенство $3^n > 4n + 1$ справедливо для всех натуральных чисел $n \ge 3$.
Ответ: Неравенство $3^n > 4n + 1$ доказано для всех $n \in \mathbb{N}, n \ge 3$.
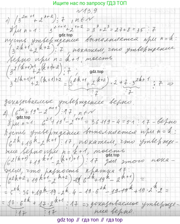
№13.9 (с. 120)
Учебник. №13.9 (с. 120)
скриншот условия

13.9. Докажите, что для любого натурального $n$:
1) $(3^{2n+1} + 2^{2n+2}) : 7$;
2) $(6^{2n} + 19^n - 2^{n+1}) : 17$.
Решение. №13.9 (с. 120)

Решение 2. №13.9 (с. 120)
1) Докажем, что выражение $(3^{2n+1} + 2^{n+2})$ делится на 7 для любого натурального $n$.
Мы докажем это утверждение, используя свойства сравнений по модулю. Нам необходимо показать, что $3^{2n+1} + 2^{n+2} \equiv 0 \pmod{7}$.
Сначала преобразуем данное выражение:
$3^{2n+1} + 2^{n+2} = 3^{2n} \cdot 3^1 + 2^n \cdot 2^2 = (3^2)^n \cdot 3 + 2^n \cdot 4 = 9^n \cdot 3 + 4 \cdot 2^n$.
Теперь рассмотрим это выражение по модулю 7. Найдем остаток от деления 9 на 7:
$9 = 1 \cdot 7 + 2$, следовательно, $9 \equiv 2 \pmod{7}$.
Используя свойство сравнений, согласно которому если $a \equiv b \pmod{m}$, то $a^n \equiv b^n \pmod{m}$, получаем:
$9^n \equiv 2^n \pmod{7}$.
Подставим это сравнение в наше преобразованное выражение:
$9^n \cdot 3 + 4 \cdot 2^n \equiv 2^n \cdot 3 + 4 \cdot 2^n \pmod{7}$.
Вынесем $2^n$ за скобки:
$(3+4) \cdot 2^n \pmod{7}$
$\equiv 7 \cdot 2^n \pmod{7}$.
Поскольку $7 \equiv 0 \pmod{7}$, то и все произведение делится на 7:
$7 \cdot 2^n \equiv 0 \cdot 2^n \equiv 0 \pmod{7}$.
Таким образом, мы доказали, что $3^{2n+1} + 2^{n+2}$ делится на 7 без остатка для любого натурального числа $n$.
Ответ: Доказано.
2) Докажем, что выражение $(6^{2n} + 19^n - 2^{n+1})$ делится на 17 для любого натурального $n$.
Воспользуемся методом сравнения по модулю. Нам нужно доказать, что $6^{2n} + 19^n - 2^{n+1} \equiv 0 \pmod{17}$.
Преобразуем исходное выражение, приведя степени к общему показателю $n$ там, где это возможно:
$6^{2n} + 19^n - 2^{n+1} = (6^2)^n + 19^n - 2 \cdot 2^n = 36^n + 19^n - 2 \cdot 2^n$.
Теперь рассмотрим это выражение по модулю 17. Найдем остатки от деления оснований степеней на 17:
$36 = 2 \cdot 17 + 2 \implies 36 \equiv 2 \pmod{17}$.
$19 = 1 \cdot 17 + 2 \implies 19 \equiv 2 \pmod{17}$.
Подставим полученные сравнения в наше выражение:
$36^n + 19^n - 2 \cdot 2^n \equiv 2^n + 2^n - 2 \cdot 2^n \pmod{17}$.
Сгруппируем слагаемые с $2^n$:
$(1+1-2) \cdot 2^n \pmod{17}$
$\equiv 0 \cdot 2^n \pmod{17}$
$\equiv 0 \pmod{17}$.
Следовательно, выражение $6^{2n} + 19^n - 2^{n+1}$ делится на 17 без остатка для любого натурального числа $n$.
Ответ: Доказано.
№13.10 (с. 120)
Учебник. №13.10 (с. 120)
скриншот условия

13.10. Докажите, что для любого натурального $n$:
1) $(7^{n+1} + 8^{2n-1}) : 19$;
2) $(7 \cdot 24^n - 5 \cdot 13^n - 2^{n+1}) : 11$.
Решение. №13.10 (с. 120)

Решение 2. №13.10 (с. 120)
1) Докажите, что для любого натурального n: $(7^{n+1} + 8^{2n-1}) \vdots 19$
Докажем данное утверждение методом математической индукции.
Пусть $A(n) = 7^{n+1} + 8^{2n-1}$.
База индукции: Проверим утверждение для $n=1$.
$A(1) = 7^{1+1} + 8^{2 \cdot 1 - 1} = 7^2 + 8^1 = 49 + 8 = 57$.
Число 57 делится на 19, так как $57 = 3 \cdot 19$. Следовательно, база индукции верна.
Шаг индукции: Предположим, что утверждение верно для некоторого натурального числа $k \ge 1$, то есть $A(k) = 7^{k+1} + 8^{2k-1}$ делится на 19.
Теперь докажем, что утверждение верно и для $n=k+1$, то есть $A(k+1) = 7^{(k+1)+1} + 8^{2(k+1)-1}$ также делится на 19.
Рассмотрим выражение для $A(k+1)$:
$A(k+1) = 7^{k+2} + 8^{2k+1}$.
Преобразуем его, чтобы использовать индукционное предположение:
$A(k+1) = 7 \cdot 7^{k+1} + 8^2 \cdot 8^{2k-1} = 7 \cdot 7^{k+1} + 64 \cdot 8^{2k-1}$.
Сгруппируем слагаемые так, чтобы выделить выражение $A(k)$:
$A(k+1) = 7 \cdot 7^{k+1} + (7 + 57) \cdot 8^{2k-1} = 7 \cdot 7^{k+1} + 7 \cdot 8^{2k-1} + 57 \cdot 8^{2k-1}$
$= 7 \cdot (7^{k+1} + 8^{2k-1}) + 57 \cdot 8^{2k-1}$
$= 7 \cdot A(k) + 57 \cdot 8^{2k-1}$.
Первое слагаемое, $7 \cdot A(k)$, делится на 19, так как по нашему предположению $A(k)$ делится на 19.
Второе слагаемое, $57 \cdot 8^{2k-1}$, также делится на 19, поскольку $57 = 3 \cdot 19$.
Сумма двух чисел, каждое из которых делится на 19, также делится на 19. Следовательно, $A(k+1)$ делится на 19. Шаг индукции доказан.
Таким образом, по принципу математической индукции, выражение $(7^{n+1} + 8^{2n-1})$ делится на 19 для любого натурального $n$.
Ответ: Доказано.
2) Докажите, что для любого натурального n: $(7 \cdot 24^n - 5 \cdot 13^n - 2^{n+1}) \vdots 11$
Для доказательства этого утверждения воспользуемся сравнениями по модулю 11. Нам необходимо показать, что $7 \cdot 24^n - 5 \cdot 13^n - 2^{n+1} \equiv 0 \pmod{11}$.
Найдем остатки от деления оснований степеней на 11:
$24 = 2 \cdot 11 + 2 \implies 24 \equiv 2 \pmod{11}$.
$13 = 1 \cdot 11 + 2 \implies 13 \equiv 2 \pmod{11}$.
Теперь подставим эти сравнения в исходное выражение:
$7 \cdot 24^n - 5 \cdot 13^n - 2^{n+1} \equiv 7 \cdot 2^n - 5 \cdot 2^n - 2^{n+1} \pmod{11}$.
Преобразуем последнее слагаемое: $2^{n+1} = 2 \cdot 2^n$.
Тогда выражение по модулю 11 примет вид:
$7 \cdot 2^n - 5 \cdot 2^n - 2 \cdot 2^n \pmod{11}$.
Вынесем общий множитель $2^n$ за скобки:
$(7 - 5 - 2) \cdot 2^n \pmod{11}$.
Вычислим значение в скобках:
$0 \cdot 2^n \pmod{11}$.
В итоге получаем:
$0 \pmod{11}$.
Это означает, что исходное выражение при делении на 11 дает остаток 0, то есть делится на 11 нацело для любого натурального $n$.
Ответ: Доказано.
№13.11 (с. 120)
Учебник. №13.11 (с. 120)
скриншот условия

13.11. Сколько пятизначных чисел, все цифры которых различны, можно составить из цифр 1, 2, 3, 4, 5, если эти числа должны начинаться:
1) с цифры 5; 2) с записи «23»?Решение. №13.11 (с. 120)

Решение 2. №13.11 (с. 120)
Задача состоит в нахождении числа перестановок из заданного набора цифр при определенных условиях. Мы имеем набор из пяти различных цифр {1, 2, 3, 4, 5} и составляем из них пятизначные числа, в которых все цифры различны.
1) с цифры 5;
Если пятизначное число должно начинаться с цифры 5, то первая цифра в числе зафиксирована. Нам остается расставить оставшиеся 4 цифры {1, 2, 3, 4} на оставшиеся 4 места.
Число способов, которыми можно расположить $n$ различных элементов на $n$ местах, называется числом перестановок и вычисляется по формуле $P_n = n!$.
В нашем случае нужно найти число перестановок из 4 элементов:
$P_4 = 4! = 4 \times 3 \times 2 \times 1 = 24$.
Следовательно, можно составить 24 таких числа.
Ответ: 24
2) с записи «23»?
Если пятизначное число должно начинаться с записи «23», то первые две цифры в числе зафиксированы. Нам остается расставить оставшиеся 3 цифры {1, 4, 5} на оставшиеся 3 места.
Аналогично первому пункту, мы ищем число перестановок, но уже из 3 элементов:
$P_3 = 3! = 3 \times 2 \times 1 = 6$.
Следовательно, можно составить 6 таких чисел.
Ответ: 6
№13.12 (с. 120)
Учебник. №13.12 (с. 120)
скриншот условия

13.12. Сколько существует четырёхзначных чисел, все цифры которых нечётные?
Решение. №13.12 (с. 120)

Решение 2. №13.12 (с. 120)
Для решения этой задачи необходимо определить количество возможных вариантов для каждой из четырёх цифр четырёхзначного числа, учитывая, что все они должны быть нечётными.
1. Определим набор нечётных цифр.
Нечётными цифрами являются: 1, 3, 5, 7, 9. Всего 5 нечётных цифр.
2. Рассмотрим каждую позицию в четырёхзначном числе.
Четырёхзначное число состоит из четырёх разрядов: тысяч, сотен, десятков и единиц.
- Первая цифра (разряд тысяч): На этой позиции может стоять любая из нечётных цифр. Поскольку ни одна из них не равна нулю, все 5 цифр (1, 3, 5, 7, 9) могут быть первой цифрой числа. Таким образом, у нас есть 5 вариантов.
- Вторая цифра (разряд сотен): На этой позиции также может стоять любая из 5 нечётных цифр.
- Третья цифра (разряд десятков): Аналогично, на этой позиции может стоять любая из 5 нечётных цифр.
- Четвёртая цифра (разряд единиц): И на последней позиции может стоять любая из 5 нечётных цифр.
3. Рассчитаем общее количество комбинаций.
Поскольку выбор цифры для каждой позиции является независимым событием, общее количество возможных чисел находится путём перемножения количества вариантов для каждой позиции (по правилу произведения в комбинаторике).
Количество чисел = (варианты для 1-й цифры) × (варианты для 2-й цифры) × (варианты для 3-й цифры) × (варианты для 4-й цифры).
$5 \times 5 \times 5 \times 5 = 5^4 = 625$
Следовательно, существует 625 четырёхзначных чисел, все цифры которых нечётные.
Ответ: 625
№13.13 (с. 120)
Учебник. №13.13 (с. 120)
скриншот условия

13.13. Сколько трёхзначных чётных чисел, все цифры которых должны быть различными, можно записать с помощью цифр 0, 1, 2, 3, 4, 5, 6?
Решение. №13.13 (с. 120)

Решение 2. №13.13 (с. 120)
Для решения этой задачи необходимо найти количество трёхзначных чётных чисел, которые можно составить из набора цифр {0, 1, 2, 3, 4, 5, 6} при условии, что все цифры в числе должны быть различными.
Трёхзначное число состоит из цифры сотен, цифры десятков и цифры единиц.
Основные условия задачи:
- Трёхзначное число: первая цифра (сотен) не может быть 0.
- Чётное число: последняя цифра (единиц) должна быть чётной. Из доступного набора это могут быть цифры {0, 2, 4, 6}.
- Различные цифры: все три цифры в числе должны быть уникальными.
Поскольку цифра 0 является чётной (может быть последней), но не может быть первой, удобно разделить решение на два случая в зависимости от последней цифры.
Случай 1: Число оканчивается на 0
В этом случае последняя цифра (цифра единиц) определена.
- Цифра единиц: Это 0. Есть только 1 вариант.
- Цифра сотен: На эту позицию можно поставить любую цифру из исходного набора, кроме 0 (который уже использован). Доступные цифры: {1, 2, 3, 4, 5, 6}. Всего 6 вариантов.
- Цифра десятков: На эту позицию можно поставить любую из оставшихся цифр. Две цифры (0 и цифра сотен) уже использованы. Из 7 исходных цифр осталось 5. Всего 5 вариантов.
По комбинаторному правилу произведения, количество таких чисел в первом случае равно: $6 \times 5 \times 1 = 30$.
Случай 2: Число оканчивается на 2, 4 или 6
В этом случае последняя цифра может быть одной из трёх.
- Цифра единиц: Это может быть одна из цифр {2, 4, 6}. Таким образом, есть 3 варианта.
- Цифра сотен: На эту позицию нельзя ставить 0 и нельзя ставить уже выбранную последнюю цифру. Из 7 доступных цифр мы исключаем две. Например, если последняя цифра 2, то для первой цифры остаются {1, 3, 4, 5, 6}. Всего 5 вариантов.
- Цифра десятков: На эту позицию можно поставить любую из оставшихся цифр. Две цифры (сотен и единиц) уже использованы. Из 7 исходных цифр осталось 5 (здесь 0 уже можно использовать). Всего 5 вариантов.
Количество чисел для этого случая равно произведению вариантов: $5 \times 5 \times 3 = 75$.
Общее количество чисел
Чтобы найти общее количество возможных трёхзначных чётных чисел с различными цифрами, необходимо сложить результаты, полученные в обоих случаях.
$30 + 75 = 105$.
Ответ: 105.
№13.14 (с. 120)
Учебник. №13.14 (с. 120)
скриншот условия

13.14. В селе 3000 жителей. Докажите, что по крайней мере у трёх из них одинаковые инициалы.
Решение 2. №13.14 (с. 120)
13.14. Для решения этой задачи воспользуемся обобщенным принципом Дирихле. В этой задаче жителями села являются «голуби», а все возможные уникальные инициалы — «клетки».
1. Определим количество «клеток» (возможных инициалов). Инициалы обычно состоят из первых букв имени и фамилии (или имени, отчества и фамилии). Будем исходить из наиболее консервативной оценки, предполагая, что инициалы состоят из двух букв (например, первая буква имени и первая буква фамилии), чтобы максимизировать вероятность совпадения. В русском алфавите 33 буквы. Однако имена, фамилии и отчества не начинаются с букв «ь» (мягкий знак) и «ъ» (твёрдый знак). Таким образом, для каждой буквы в паре инициалов есть $33 - 2 = 31$ возможный вариант. Общее количество возможных уникальных пар инициалов равно: $M = 31 \times 31 = 961$ Итак, у нас есть 961 «клетка».
2. Применим принцип Дирихле. В селе $N = 3000$ жителей («голубей»), которых нужно «рассадить» по $M = 961$ «клетке». Мы хотим доказать, что хотя бы в одной «клетке» окажется не менее трёх «голубей».
Воспользуемся методом доказательства от противного. Предположим, что утверждение неверно, то есть у любых трёх жителей села инициалы различны. Это означает, что каждую возможную комбинацию инициалов имеют не более двух человек.
При таком предположении максимальное количество жителей в селе можно рассчитать, умножив количество всех возможных инициалов на 2: Максимальное число жителей = $M \times 2 = 961 \times 2 = 1922$ человека.
Однако по условию в селе проживает 3000 человек. Получаем противоречие, так как фактическое число жителей больше максимально возможного при нашем предположении: $3000 > 1922$
Это противоречие доказывает, что наше исходное предположение было неверным. Следовательно, по крайней мере одна комбинация инициалов должна принадлежать как минимум трём жителям.
Ответ: Утверждение доказано. Так как максимальное число людей при условии, что инициалы совпадают не более чем у двоих, составляет $1922$, а в селе живёт $3000$ человек ($3000 > 1922$), то по принципу Дирихле обязательно найдутся по крайней мере трое жителей с одинаковыми инициалами.
Помогло решение? Оставьте отзыв в комментариях ниже.