Номер 1.102, страница 24, часть 1 - гдз по математике 5 класс учебник Виленкин, Жохов

Авторы: Виленкин Н. Я., Жохов В. И., Чесноков А. С., Александрова Л. А., Шварцбурд С. И.
Тип: Учебник
Издательство: Просвещение
Год издания: 2023 - 2025
Уровень обучения: базовый
Часть: 1
Цвет обложки: белый, красный, синий с пазлами
Допущено Министерством просвещения Российской Федерации
Популярные ГДЗ в 5 классе
4. Плоскость, прямая, луч, угол. § 1. Натуральные числа и нуль. Шкалы. Глава 1. Натуральные числа. ч. 1 - номер 1.102, страница 24.
№1.102 (с. 24)
Условие. №1.102 (с. 24)
скриншот условия

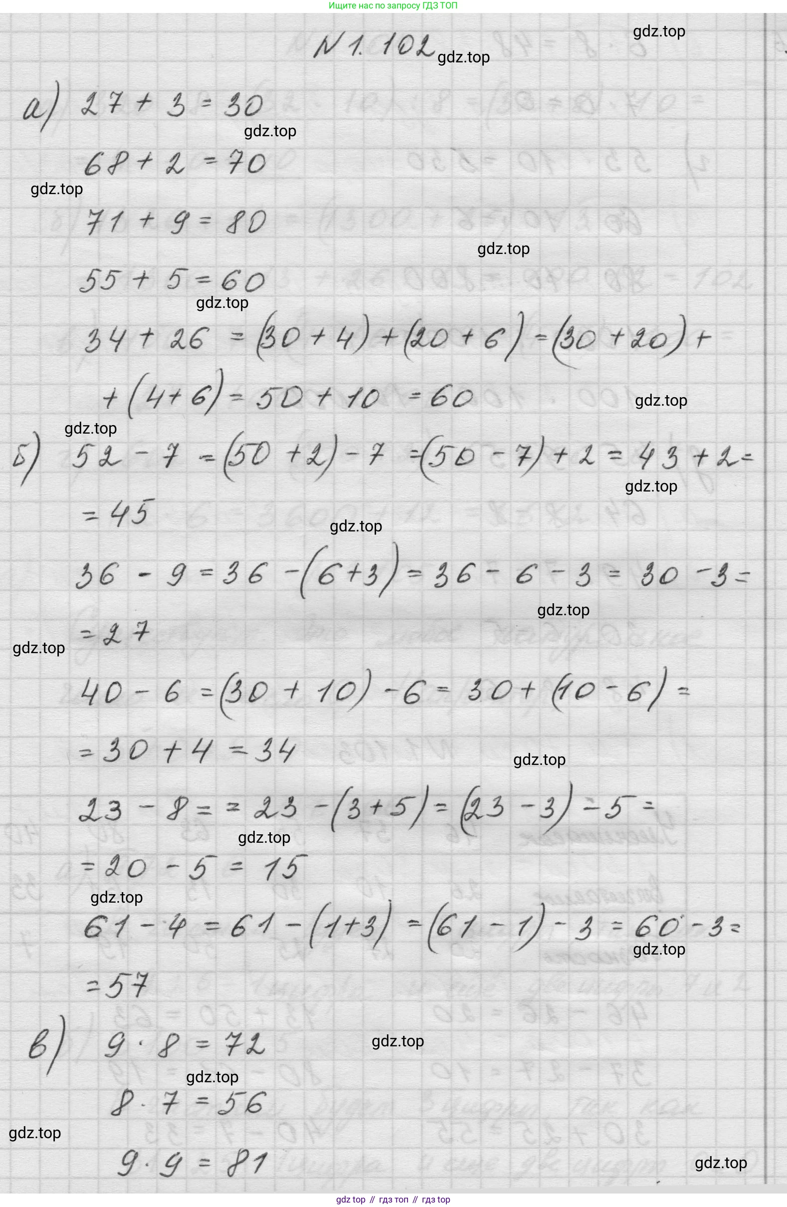
1.102 Вычислите.
68 + 2
71 + 9
55 + 5
34 + 26
36 - 9
40 - 6
23 - 8
61 - 4
8 • 7
9 • 9
6 • 8
7 • 0
60 : 10
80 • 10
1000 : 1000
100 • 100
64 : 8
49 : 7
30 : 6
48 : 8
Решение 1. №1.102 (с. 24)
68 + 2 = 70;
71 + 9 = 80;
55 + 5 = 60;
34 + 29 = (30 + 4) + (20 + 6) = (30 + 20) + (4 + 6) = 50 + 10 = 60.
36 - 9 = 36 - (6 + 3) = 36 - 6 - 3 = 30 - 3 = 27;
40 - 6 = (30 + 10) - 6 = 30 + (10 - 6) = 30 + 4 = 34;
23 - 8 = 23 - (3 + 5) = (23 - 3) - 5 = 20 - 5 = 15;
61 - 4 = 61 - (1 + 3) = (61 - 1) - 3 = 60 - 3 = 57.
8 · 9 = 56;
9 · 9 = 81;
6 · 8 = 48;
7 · 0 = 0.
60: 10 = 6;
80 · 10 = 800;
1000 : 1000 = 1;
100 · 100 = 10000.
64 : 8 = 8;
49 : 7 = 7;
30 : 6 = 5;
48 : 8 = 6.
Решение 3. №1.102 (с. 24)


Решение 4. №1.102 (с. 24)

Другие задания:
Помогло решение? Оставьте отзыв в комментариях ниже.
Мы подготовили для вас ответ c подробным объяснением домашего задания по математике за 5 класс, для упражнения номер 1.102 расположенного на странице 24 для 1-й части к учебнику 2023 года издания для учащихся школ и гимназий.
Теперь на нашем сайте ГДЗ.ТОП вы всегда легко и бесплатно найдёте условие с правильным ответом на вопрос «Как решить ДЗ» и «Как сделать» задание по математике к упражнению №1.102 (с. 24), авторов: Виленкин (Наум Яковлевич), Жохов (Владимир Иванович), Чесноков (Александр Семёнович), Александрова (Лилия Александровна), Шварцбурд (Семён Исаакович), 1-й части ФГОС (новый, красный) базовый уровень обучения учебного пособия издательства Просвещение.