Номер 1.104, страница 24, часть 1 - гдз по математике 5 класс учебник Виленкин, Жохов

Авторы: Виленкин Н. Я., Жохов В. И., Чесноков А. С., Александрова Л. А., Шварцбурд С. И.
Тип: Учебник
Издательство: Просвещение
Год издания: 2023 - 2025
Уровень обучения: базовый
Часть: 1
Цвет обложки: белый, красный, синий с пазлами
Допущено Министерством просвещения Российской Федерации
Популярные ГДЗ в 5 классе
4. Плоскость, прямая, луч, угол. § 1. Натуральные числа и нуль. Шкалы. Глава 1. Натуральные числа. ч. 1 - номер 1.104, страница 24.
№1.104 (с. 24)
Условие. №1.104 (с. 24)
скриншот условия

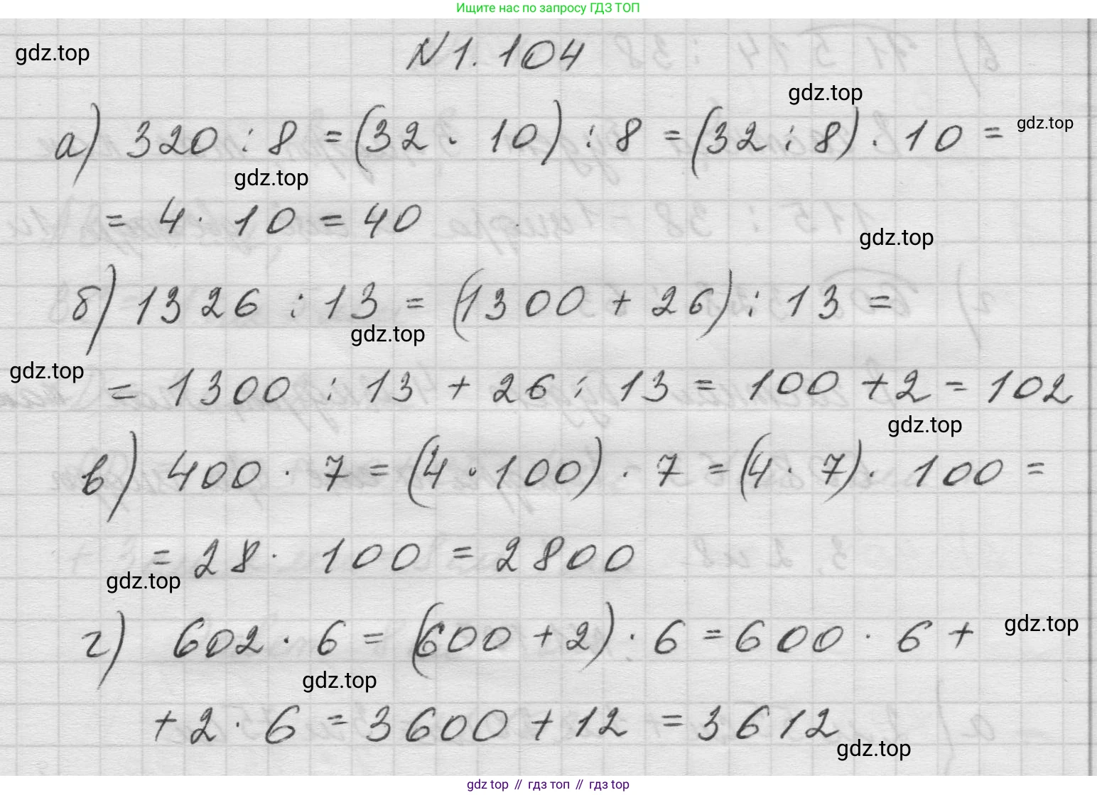
1.104 Вычислите и объясните приём вычислений:
а) 320 : 8;
б) 1326 : 13;
в) 400 • 7;
г) 602 • 6.
Решение 1. №1.104 (с. 24)
а) 320 : 8 = (32 · 10) : 8 = (32 : 8) · 10 = 4 · 10 = 40;
б) 1326 : 13 = (1300 + 26) : 13 = 1300 : 13 + 26 : 13 = 100 + 2 = 102;
в) 400 · 7 = (4 · 100) · 7 = (4 · 7) · 100 = 28 · 100 = 2800;
г) 602 · 6 = (600 + 2) : 6 = 600 · 6 + 2 · 6 = 3600 + 12 = 3612.
Решение 2. №1.104 (с. 24)
а) $320 : 8$
Приём вычислений: Для деления круглого числа (числа, оканчивающегося на нули) на однозначное число, можно представить делимое в виде произведения числа без нулей и разрядной единицы (10, 100 и т.д.). Затем, используя свойство деления произведения на число, разделить число без нулей на делитель и умножить результат на разрядную единицу.
Представим 320 как 32 десятка. Делим 32 на 8, получаем 4. Так как мы делили десятки, то и в результате получаем 4 десятка, то есть 40.
Математически это можно записать так: $320 : 8 = (32 \cdot 10) : 8 = (32 : 8) \cdot 10 = 4 \cdot 10 = 40$.
Ответ: 40
б) $1326 : 13$
Приём вычислений: Используем приём разложения делимого на удобные слагаемые, каждое из которых легко делится на делитель. Этот приём основан на распределительном свойстве деления относительно сложения: $(a + b) : c = a : c + b : c$.
Представим число 1326 в виде суммы слагаемых, которые делятся на 13. Удобно разложить 1326 на 1300 и 26, так как оба числа делятся на 13 без остатка.
Выполним деление каждого слагаемого на 13 и сложим результаты: $1326 : 13 = (1300 + 26) : 13 = 1300 : 13 + 26 : 13 = 100 + 2 = 102$.
Ответ: 102
в) $400 \cdot 7$
Приём вычислений: Для умножения круглого числа на однозначное, можно выполнить умножение без учёта нулей, а затем приписать отброшенные нули к полученному произведению.
Умножаем 4 на 7, получаем 28. У числа 400 было два нуля, поэтому к результату 28 приписываем справа два нуля, получая 2800.
Математически это можно записать, используя сочетательное свойство умножения: $400 \cdot 7 = (4 \cdot 100) \cdot 7 = (4 \cdot 7) \cdot 100 = 28 \cdot 100 = 2800$.
Ответ: 2800
г) $602 \cdot 6$
Приём вычислений: Используем приём разложения одного из множителей на сумму разрядных слагаемых. Этот приём основан на распределительном свойстве умножения относительно сложения: $(a + b) \cdot c = a \cdot c + b \cdot c$.
Представим число 602 в виде суммы разрядных слагаемых: $602 = 600 + 2$.
Теперь умножим каждое слагаемое на 6 и сложим полученные произведения: $(600 + 2) \cdot 6 = 600 \cdot 6 + 2 \cdot 6 = 3600 + 12 = 3612$.
Ответ: 3612
Решение 3. №1.104 (с. 24)

Решение 4. №1.104 (с. 24)

Другие задания:
Помогло решение? Оставьте отзыв в комментариях ниже.
Мы подготовили для вас ответ c подробным объяснением домашего задания по математике за 5 класс, для упражнения номер 1.104 расположенного на странице 24 для 1-й части к учебнику 2023 года издания для учащихся школ и гимназий.
Теперь на нашем сайте ГДЗ.ТОП вы всегда легко и бесплатно найдёте условие с правильным ответом на вопрос «Как решить ДЗ» и «Как сделать» задание по математике к упражнению №1.104 (с. 24), авторов: Виленкин (Наум Яковлевич), Жохов (Владимир Иванович), Чесноков (Александр Семёнович), Александрова (Лилия Александровна), Шварцбурд (Семён Исаакович), 1-й части ФГОС (новый, красный) базовый уровень обучения учебного пособия издательства Просвещение.