Номер 1.177, страница 35, часть 1 - гдз по математике 5 класс учебник Виленкин, Жохов

Авторы: Виленкин Н. Я., Жохов В. И., Чесноков А. С., Александрова Л. А., Шварцбурд С. И.
Тип: Учебник
Издательство: Просвещение
Год издания: 2023 - 2025
Уровень обучения: базовый
Часть: 1
Цвет обложки: белый, красный, синий с пазлами
Допущено Министерством просвещения Российской Федерации
Популярные ГДЗ в 5 классе
6. Сравнение натуральных чисел. § 1. Натуральные числа и нуль. Шкалы. Глава 1. Натуральные числа. ч. 1 - номер 1.177, страница 35.
№1.177 (с. 35)
Условие. №1.177 (с. 35)
скриншот условия

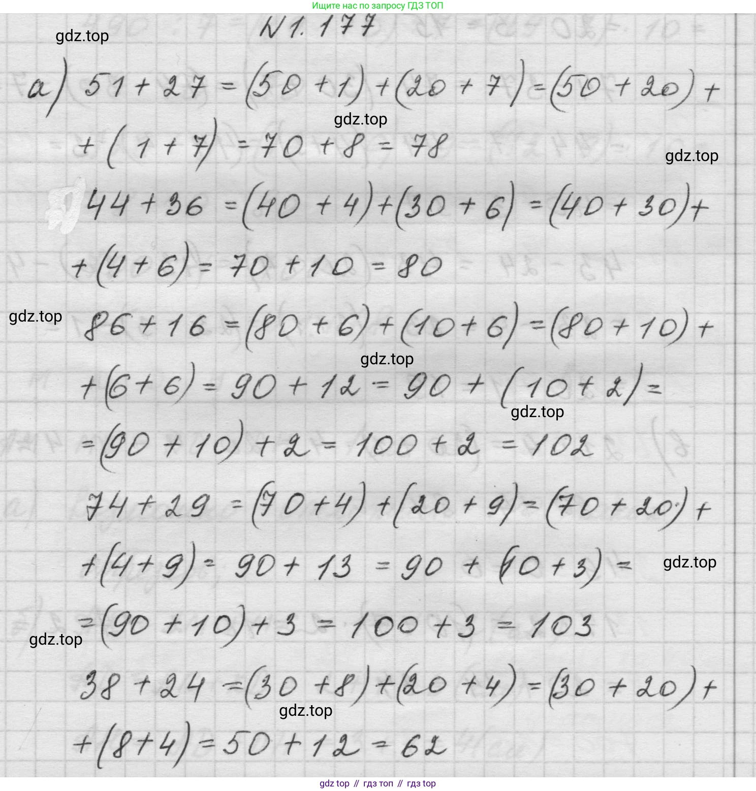
1.177 Вычислите.
44 + 36
86 + 16
74 + 29
38 + 24
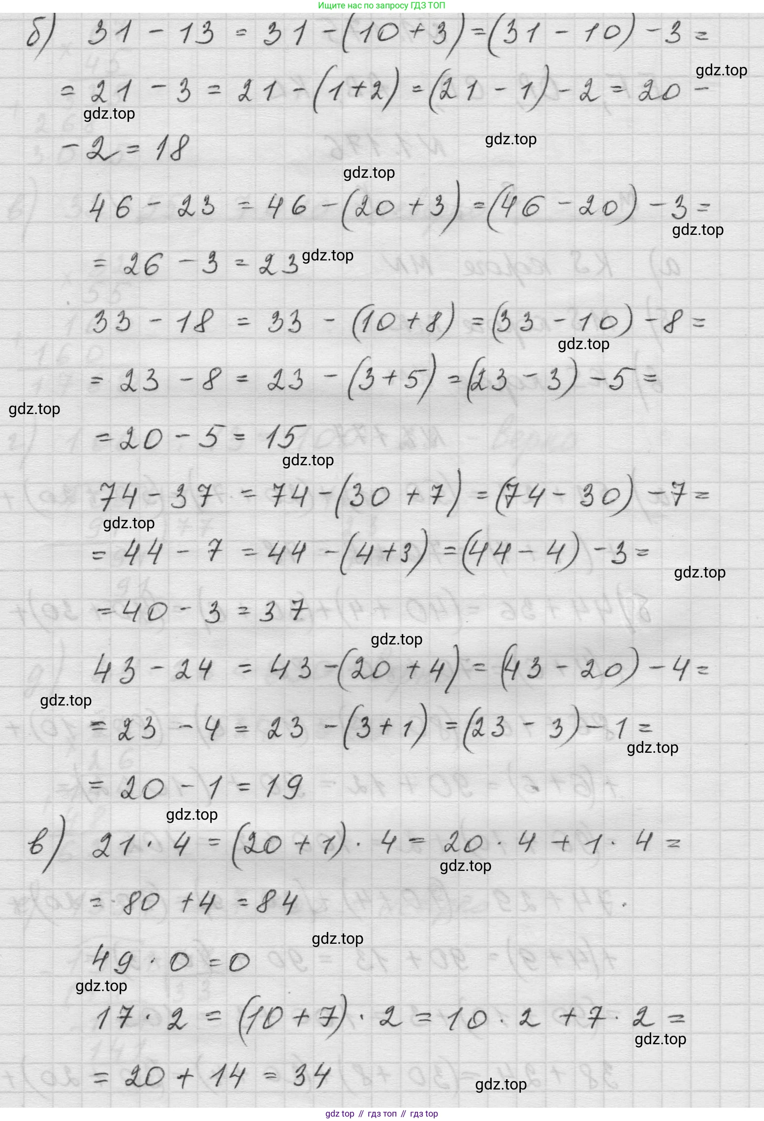
46 - 23
33 - 18
74 - 37
43 - 24
49 • 0
17 • 2
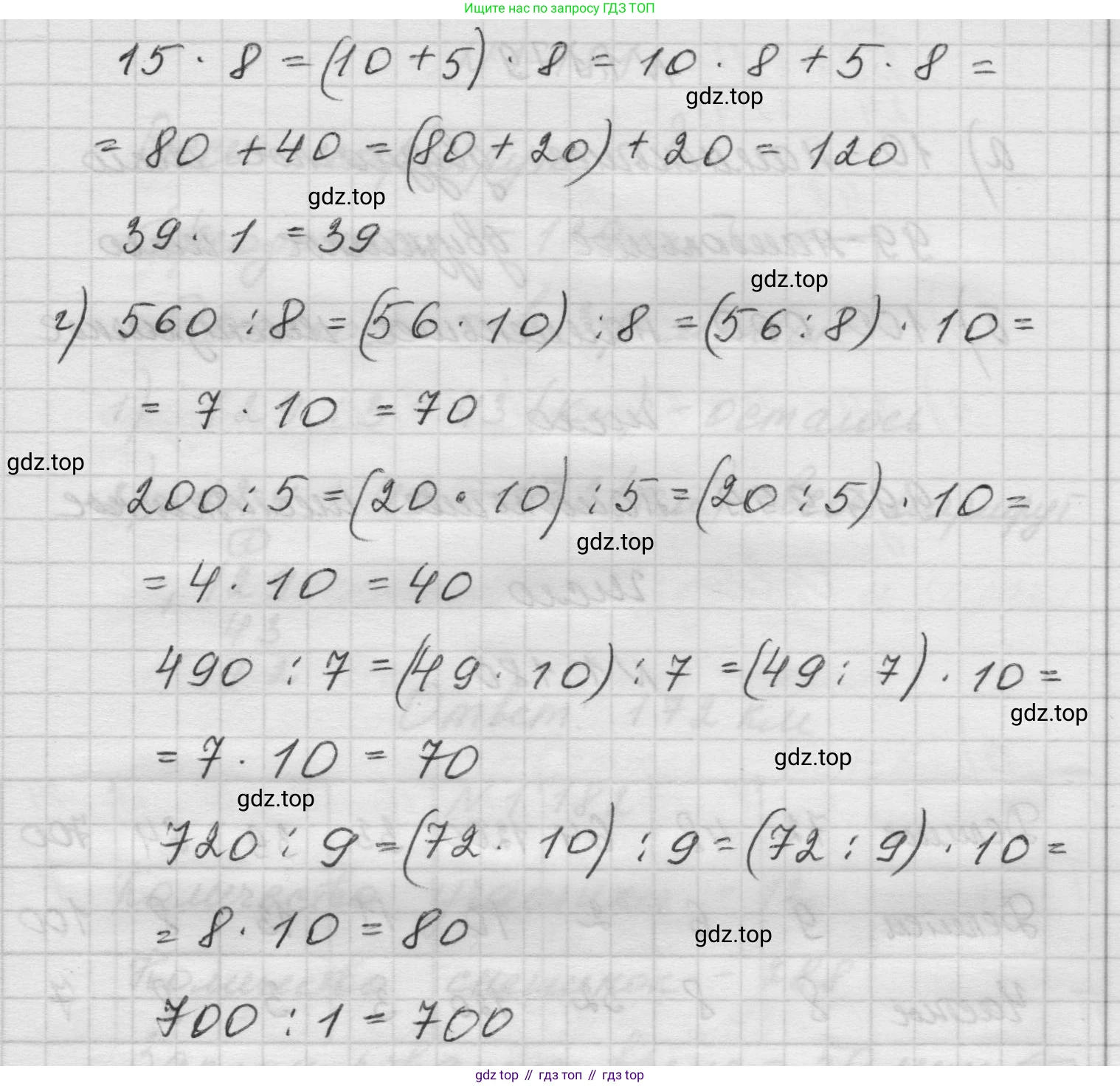
15 • 8
39 • 1
200 : 5
490 : 7
720 : 9
700 : 1
Решение 1. №1.177 (с. 35)
44 + 36 = (40 + 4) + (30 + 6) = (40 + 30) + (4 + 6) = 70 + 10 = 80;
86 + 16 = (80 + 6) + (10 + 6) = (80 + 10) + (6 + 6) = 90 + 12 = 90 + (10 + 2) = (90 + 10) + 2 = 100 + 2 = 102;
74 + 29 = (70 + 4) + (20 + 9)= (70 + 20) + (4 + 9)= 90 + 13 = 90 + (10 + 3) = (90 + 10) + 3 = 100 + 3 = 103;
38 + 24 = (30 + 8) + ( 20 + 4)= (30 + 20) + (8 + 4) = 50 + 12 = 62.
46 - 23 = 46 - (20 + 3) = (46 - 20) - 3 = 26 - 3 = 23;
33 - 18 = 33 - (10 + 8) = (33 - 10) - 8 = 23 - 8 = 23 - (3 + 5) = (23 - 3) - 5 = 20 - 5 = 15;
74 - 37 = 74 - (30 + 7) = (74 - 30 ) - 7 = 44 - 7 = 44 - (4 + 3) = (44 - 4) - 3 = 40 - 3 = 37;
43 - 23 = 43 - (20 + 4) = (43 - 20) - 4 = 23 - 4 = 23 - (3 + 1) = (23 - 3) - 1 = 20 - 1 = 19.
49 · 0 = 0;
17 · 2 = (10 + 7) · 2 = 10 · 2 + 7 · 2 = 20 + 14 = 34;
15 · 8 = (10 + 5) · 8 = 10 · 8 + 5 · 8 = 80 + 40 = (80 + 20) + 20 = 120;
39 · 1 = 39.
200 : 5 = (20 · 10) : 5 = (20 : 5) · 10 = 4 · 10 = 40;
490: 7 = (49 · 10) : 7 = (49 : 7) · 10 = 7 · 10 = 70;
720 : 9 = (72 · 10) : 9 = (72 : 9) · 10 = 8 · 10 = 80;
700 : 1 = 700.
Решение 2. №1.177 (с. 35)
а)
$51 + 27 = 78$
$44 + 36 = 80$
$86 + 16 = 102$
$74 + 29 = 103$
$38 + 24 = 62$
Ответ: 78; 80; 102; 103; 62.
б)
$31 - 13 = 18$
$46 - 23 = 23$
$33 - 18 = 15$
$74 - 37 = 37$
$43 - 24 = 19$
Ответ: 18; 23; 15; 37; 19.
в)
$21 \cdot 4 = 84$
$49 \cdot 0 = 0$
$17 \cdot 2 = 34$
$15 \cdot 8 = 120$
$39 \cdot 1 = 39$
Ответ: 84; 0; 34; 120; 39.
г)
$560 : 8 = 70$
$200 : 5 = 40$
$490 : 7 = 70$
$720 : 9 = 80$
$700 : 1 = 700$
Ответ: 70; 40; 70; 80; 700.
Решение 3. №1.177 (с. 35)

Решение 4. №1.177 (с. 35)

Другие задания:
Помогло решение? Оставьте отзыв в комментариях ниже.
Мы подготовили для вас ответ c подробным объяснением домашего задания по математике за 5 класс, для упражнения номер 1.177 расположенного на странице 35 для 1-й части к учебнику 2023 года издания для учащихся школ и гимназий.
Теперь на нашем сайте ГДЗ.ТОП вы всегда легко и бесплатно найдёте условие с правильным ответом на вопрос «Как решить ДЗ» и «Как сделать» задание по математике к упражнению №1.177 (с. 35), авторов: Виленкин (Наум Яковлевич), Жохов (Владимир Иванович), Чесноков (Александр Семёнович), Александрова (Лилия Александровна), Шварцбурд (Семён Исаакович), 1-й части ФГОС (новый, красный) базовый уровень обучения учебного пособия издательства Просвещение.