Номер 2.26, страница 48, часть 1 - гдз по математике 5 класс учебник Виленкин, Жохов

Авторы: Виленкин Н. Я., Жохов В. И., Чесноков А. С., Александрова Л. А., Шварцбурд С. И.
Тип: Учебник
Издательство: Просвещение
Год издания: 2023 - 2025
Уровень обучения: базовый
Часть: 1
Цвет обложки: белый, красный, синий с пазлами
Допущено Министерством просвещения Российской Федерации
Популярные ГДЗ в 5 классе
8. Действие сложения. Свойства сложения. § 2. Сложение и вычитание натуральных чисел. Глава 1. Натуральные числа. ч. 1 - номер 2.26, страница 48.
№2.26 (с. 48)
Условие. №2.26 (с. 48)
скриншот условия

2.26 Вычислите
40 - 7
50 - 27
60 - 15
70 - 13
200 - 4
300 - 10
400 - 19
600 - 38
484 + 6
538 + 4
627 + 19
218 + 32
60 : 3
130 : 1
140 • 1
350 : 5
14 • 3
16 • 4
18 • 5
19 • 6
Решение 1. №2.26 (с. 48)
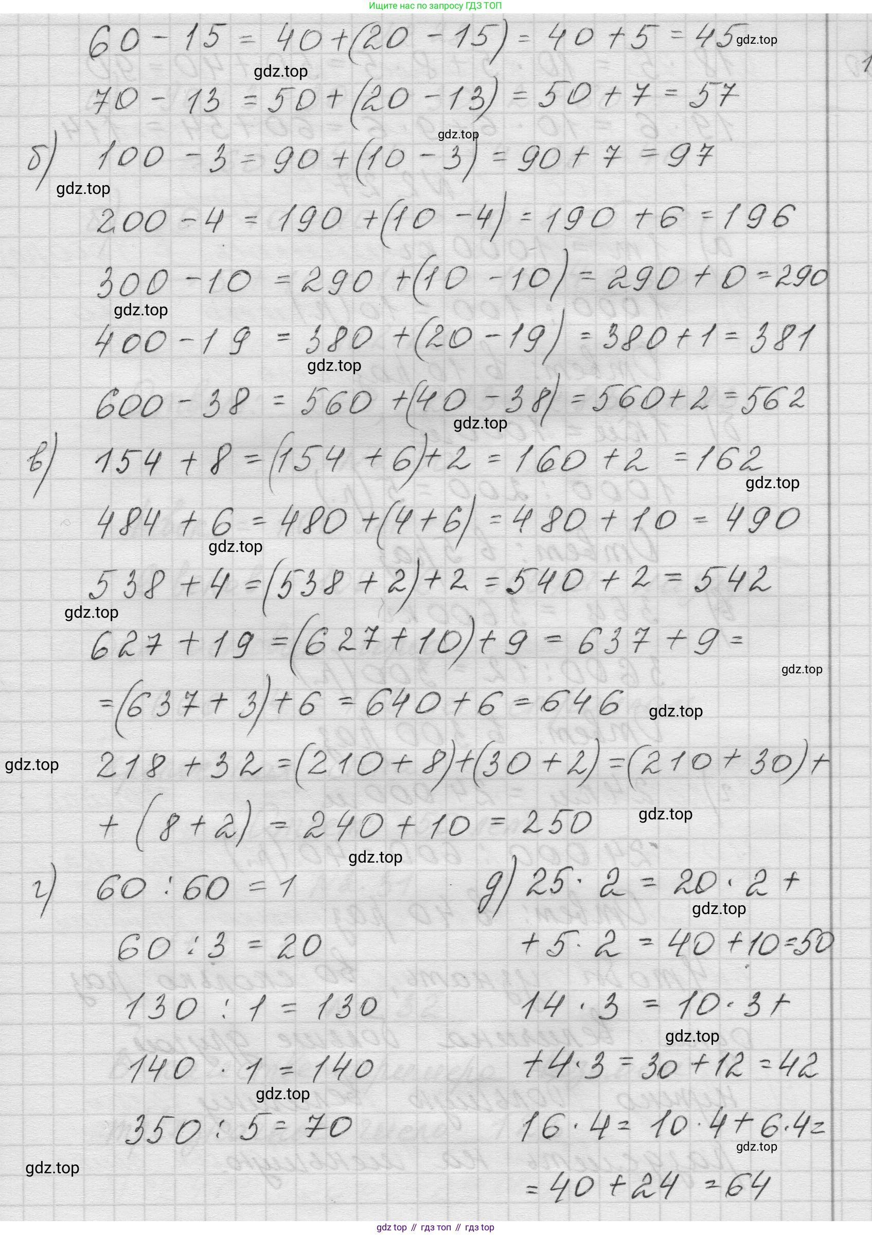
40 - 7 = 30 + (10 - 7) = 30 + 3 = 33;
50 - 27 = 20 + (30 - 27) = 20 + 3 = 23;
60 - 15 = 40 + (20 - 15) = 40 + 5 = 45;
70 - 13 = 50 + (20 - 13) = 50 + 7 = 57.
200 - 4 = 190 + (10 - 4) = 190 + 6 = 196;
300 - 10 = 290 + (10 - 10) = 290 + 0 = 290;
400 - 19 = 380 + (20 - 19) = 380 + 1 = 381;
600 - 38 = 560 + (40 - 38) = 560 + 2 = 562.
484 + 6 = 480 + (4 + 6) = 480 + 10 = 490;
538 + 4 = (538 + 2) + 2 = 540 + 2 = 542;
627 + 19 = (627 + 10) + 9 = 637 + 9 = (637 + 3) + 6 = 640 + 6 = 646;
218 + 32 = (210 + 8) + (30 + 2) = (210 + 30) + (8 + 2) = 240 + 10 = 250.
60 : 3 = 20;
130 : 1 = 130;
140 · 1 = 140;
350 : 5 = 70.
14 · 3 = 10 · 3 + 4 · 3 = 10 · 3 + 4 · 3 = 30 + 12 = 42;
16 · 4 = 10 · 4 + 6 · 4 = 40 + 24 = 64;
18 · 5 = 10 · 5 + 8 · 5 = 50 + 40 = 90;
19 · 6 = 10 · 6 + 9 · 6 = 60 + 54 = 114.
Решение 2. №2.26 (с. 48)
а)
Выполним вычитание для каждого выражения:
$20 - 3 = 17$
$40 - 7 = 33$
$50 - 27 = 23$
$60 - 15 = 45$
$70 - 13 = 57$
Ответ: 17, 33, 23, 45, 57.
б)
Выполним вычитание для каждого выражения:
$100 - 3 = 97$
$200 - 4 = 196$
$300 - 10 = 290$
$400 - 19 = 381$
$600 - 38 = 562$
Ответ: 97, 196, 290, 381, 562.
в)
Выполним сложение для каждого выражения:
$154 + 8 = 162$
$484 + 6 = 490$
$538 + 4 = 542$
$627 + 19 = 646$
$218 + 32 = 250$
Ответ: 162, 490, 542, 646, 250.
г)
Выполним деление для каждого выражения:
$60 : 60 = 1$
$60 : 3 = 20$
$130 : 1 = 130$
$140 : 1 = 140$
$350 : 5 = 70$
Ответ: 1, 20, 130, 140, 70.
д)
Выполним умножение для каждого выражения:
$25 \cdot 2 = 50$
$14 \cdot 3 = 42$
$16 \cdot 4 = 64$
$18 \cdot 5 = 90$
$19 \cdot 6 = 114$
Ответ: 50, 42, 64, 90, 114.
Решение 3. №2.26 (с. 48)

Решение 4. №2.26 (с. 48)

Другие задания:
Помогло решение? Оставьте отзыв в комментариях ниже.
Мы подготовили для вас ответ c подробным объяснением домашего задания по математике за 5 класс, для упражнения номер 2.26 расположенного на странице 48 для 1-й части к учебнику 2023 года издания для учащихся школ и гимназий.
Теперь на нашем сайте ГДЗ.ТОП вы всегда легко и бесплатно найдёте условие с правильным ответом на вопрос «Как решить ДЗ» и «Как сделать» задание по математике к упражнению №2.26 (с. 48), авторов: Виленкин (Наум Яковлевич), Жохов (Владимир Иванович), Чесноков (Александр Семёнович), Александрова (Лилия Александровна), Шварцбурд (Семён Исаакович), 1-й части ФГОС (новый, красный) базовый уровень обучения учебного пособия издательства Просвещение.