Номер 3.161, страница 96, часть 1 - гдз по математике 5 класс учебник Виленкин, Жохов

Авторы: Виленкин Н. Я., Жохов В. И., Чесноков А. С., Александрова Л. А., Шварцбурд С. И.
Тип: Учебник
Издательство: Просвещение
Год издания: 2023 - 2025
Уровень обучения: базовый
Часть: 1
Цвет обложки: белый, красный, синий с пазлами
Допущено Министерством просвещения Российской Федерации
Популярные ГДЗ в 5 классе
14. Деление с остатком. § 3. Умножение и деление натуральных чисел. Глава 1. Натуральные числа. ч. 1 - номер 3.161, страница 96.
№3.161 (с. 96)
Условие. №3.161 (с. 96)
скриншот условия

3.161 Вычислите.

Решение 1. №3.161 (с. 96)
a)
б)
в)
г)
д)
Решение 2. №3.161 (с. 96)
а)
Для решения этого примера необходимо выполнить действия последовательно, сверху вниз:
1. Первое действие – вычитание: $100 - 4 = 96$.
2. Второе действие – деление результата первого действия на 16: $96 : 16 = 6$.
3. Третье действие – умножение результата второго действия на 12: $6 \cdot 12 = 72$.
4. Четвертое действие – сложение результата третьего действия с 28: $72 + 28 = 100$.
Ответ: 100
б)
Выполним вычисления по порядку:
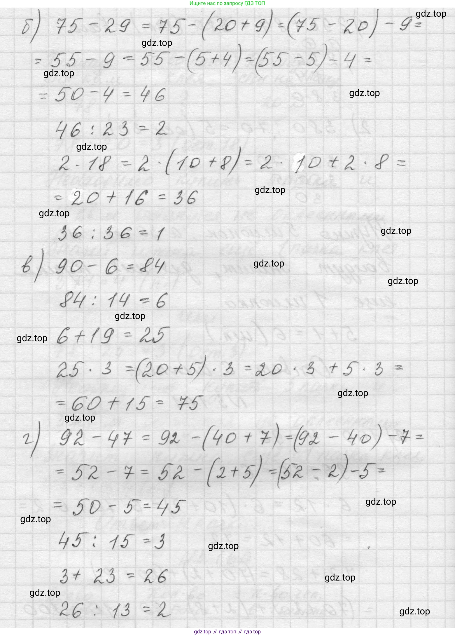
1. Вычитаем из 75 число 29: $75 - 29 = 46$.
2. Делим полученный результат на 23: $46 : 23 = 2$.
3. Умножаем результат на 18: $2 \cdot 18 = 36$.
4. Делим результат на 36: $36 : 36 = 1$.
Ответ: 1
в)
Решаем пример по шагам:
1. Находим разность чисел 90 и 6: $90 - 6 = 84$.
2. Полученное число делим на 14: $84 : 14 = 6$.
3. К результату прибавляем 19: $6 + 19 = 25$.
4. Полученную сумму умножаем на 3: $25 \cdot 3 = 75$.
Ответ: 75
г)
Выполняем действия в указанном порядке:
1. Вычисляем разность: $92 - 47 = 45$.
2. Результат делим на 15: $45 : 15 = 3$.
3. К полученному числу прибавляем 23: $3 + 23 = 26$.
4. Результат делим на 13: $26 : 13 = 2$.
Ответ: 2
д)
Проведем вычисления последовательно:
1. Вычитаем 16 из 100: $100 - 16 = 84$.
2. Делим результат на 12: $84 : 12 = 7$.
3. К полученному числу прибавляем 9: $7 + 9 = 16$.
4. Умножаем результат на 3: $16 \cdot 3 = 48$.
Ответ: 48
Решение 3. №3.161 (с. 96)

Решение 4. №3.161 (с. 96)


Другие задания:
Помогло решение? Оставьте отзыв в комментариях ниже.
Мы подготовили для вас ответ c подробным объяснением домашего задания по математике за 5 класс, для упражнения номер 3.161 расположенного на странице 96 для 1-й части к учебнику 2023 года издания для учащихся школ и гимназий.
Теперь на нашем сайте ГДЗ.ТОП вы всегда легко и бесплатно найдёте условие с правильным ответом на вопрос «Как решить ДЗ» и «Как сделать» задание по математике к упражнению №3.161 (с. 96), авторов: Виленкин (Наум Яковлевич), Жохов (Владимир Иванович), Чесноков (Александр Семёнович), Александрова (Лилия Александровна), Шварцбурд (Семён Исаакович), 1-й части ФГОС (новый, красный) базовый уровень обучения учебного пособия издательства Просвещение.