Номер 3.24, страница 82, часть 1 - гдз по математике 5 класс учебник Виленкин, Жохов

Авторы: Виленкин Н. Я., Жохов В. И., Чесноков А. С., Александрова Л. А., Шварцбурд С. И.
Тип: Учебник
Издательство: Просвещение
Год издания: 2023 - 2025
Уровень обучения: базовый
Часть: 1
Цвет обложки: белый, красный, синий с пазлами
Допущено Министерством просвещения Российской Федерации
Популярные ГДЗ в 5 классе
12. Действие умножения. Свойства умножения. § 3. Умножение и деление натуральных чисел. Глава 1. Натуральные числа. ч. 1 - номер 3.24, страница 82.
№3.24 (с. 82)
Условие. №3.24 (с. 82)
скриншот условия

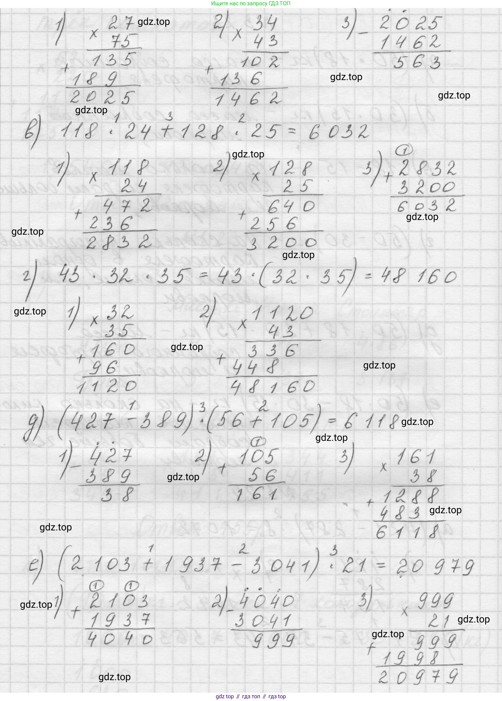
3.24 Вычислите:
а) (421 - 287) • 8;
б) 27 • 75 - 34 • 43;
в) 118 • 24 + 128 • 25;
г) 43 • 32 • 35;
д) (427 - 389) • (56 + 105);
е) (2103 + 1937 - 3041) • 21.
Решение 1. №3.24 (с. 82)








г) 43 · 32 · 35 = 43 · (32 · 35) = 48160








Решение 2. №3.24 (с. 82)
а) Для вычисления значения выражения $(421 - 287) \cdot 8$ сначала выполним действие в скобках, а затем умножение.
1. Вычитание: $421 - 287 = 134$.
2. Умножение: $134 \cdot 8 = 1072$.
Ответ: 1072
б) В выражении $27 \cdot 75 - 34 \cdot 43$ сначала выполняются умножения, а затем вычитание.
1. Первое умножение: $27 \cdot 75 = 2025$.
2. Второе умножение: $34 \cdot 43 = 1462$.
3. Вычитание: $2025 - 1462 = 563$.
Ответ: 563
в) В выражении $118 \cdot 24 + 128 \cdot 25$ сначала выполняются умножения, а затем сложение.
1. Первое умножение: $118 \cdot 24 = 2832$.
2. Второе умножение: $128 \cdot 25 = 3200$.
3. Сложение: $2832 + 3200 = 6032$.
Ответ: 6032
г) В выражении $43 \cdot 32 \cdot 35$ умножения выполняются последовательно.
1. Первое умножение: $43 \cdot 32 = 1376$.
2. Второе умножение: $1376 \cdot 35 = 48160$.
Ответ: 48160
д) Для вычисления значения выражения $(427 - 389) \cdot (56 + 105)$ сначала выполним действия в каждой из скобок, а затем перемножим результаты.
1. Действие в первой скобке: $427 - 389 = 38$.
2. Действие во второй скобке: $56 + 105 = 161$.
3. Умножение результатов: $38 \cdot 161 = 6118$.
Ответ: 6118
е) Для вычисления значения выражения $(2103 + 1937 - 3041) \cdot 21$ сначала выполним действия в скобках, а затем умножение.
1. Сложение в скобках: $2103 + 1937 = 4040$.
2. Вычитание в скобках: $4040 - 3041 = 999$.
3. Умножение: $999 \cdot 21 = 20979$.
Ответ: 20979
Решение 3. №3.24 (с. 82)


Решение 4. №3.24 (с. 82)



Другие задания:
Помогло решение? Оставьте отзыв в комментариях ниже.
Мы подготовили для вас ответ c подробным объяснением домашего задания по математике за 5 класс, для упражнения номер 3.24 расположенного на странице 82 для 1-й части к учебнику 2023 года издания для учащихся школ и гимназий.
Теперь на нашем сайте ГДЗ.ТОП вы всегда легко и бесплатно найдёте условие с правильным ответом на вопрос «Как решить ДЗ» и «Как сделать» задание по математике к упражнению №3.24 (с. 82), авторов: Виленкин (Наум Яковлевич), Жохов (Владимир Иванович), Чесноков (Александр Семёнович), Александрова (Лилия Александровна), Шварцбурд (Семён Исаакович), 1-й части ФГОС (новый, красный) базовый уровень обучения учебного пособия издательства Просвещение.