Номер 3.31, страница 83, часть 1 - гдз по математике 5 класс учебник Виленкин, Жохов

Авторы: Виленкин Н. Я., Жохов В. И., Чесноков А. С., Александрова Л. А., Шварцбурд С. И.
Тип: Учебник
Издательство: Просвещение
Год издания: 2023 - 2025
Уровень обучения: базовый
Часть: 1
Цвет обложки: белый, красный, синий с пазлами
Допущено Министерством просвещения Российской Федерации
Популярные ГДЗ в 5 классе
12. Действие умножения. Свойства умножения. § 3. Умножение и деление натуральных чисел. Глава 1. Натуральные числа. ч. 1 - номер 3.31, страница 83.
№3.31 (с. 83)
Условие. №3.31 (с. 83)
скриншот условия

3.31 Составьте выражение по условию задачи:
а) Для отправки детей в лагерь заказали 7 автобусов. В каждом автобусе было x детей. Сколько детей отправилось в лагерь, если x = 25; x = 42?
б) Сколько овощей перевезёт грузовик за 15 рейсов, если за один рейс он перевозит k т овощей? Найдите значение выражения при k = 4; k = 25.
Решение 1. №3.31 (с. 83)
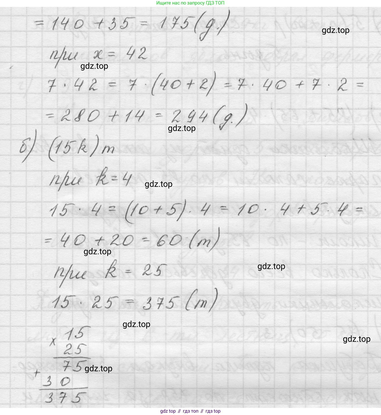
а) 7х (детей)
при х = 25
7 · 25 = 7 · (20 + 5) = 7 · 20 + 7 · 5 = 140 + 35 = 175 (д.);
при х = 42
7 · 42 = 7 · ( 40 + 2) = 7 · 40 + 7 · 2 = 280 + 14 = 294 (д.).
б) (15k)т
при k = 4
15 · 4 = (10 + 5) · 4 = 10 · 4 + 5 · 4 = 40 + 20 = 60 (т);
при k = 25
15 · 25 = 375 (т).

Решение 2. №3.31 (с. 83)
а) Чтобы найти общее количество детей, необходимо умножить количество автобусов на количество детей в каждом автобусе. По условию, автобусов 7, а детей в каждом автобусе $x$. Таким образом, выражение для общего числа детей будет $7 \times x$ или просто $7x$.
Теперь найдем значение этого выражения для заданных значений $x$:
При $x = 25$: $7 \times 25 = 175$ (детей).
При $x = 42$: $7 \times 42 = 294$ (ребенка).
Ответ: выражение $7x$; 175 детей при $x=25$; 294 ребенка при $x=42$.
б) Чтобы найти общее количество овощей, которое перевезет грузовик, нужно умножить количество рейсов на массу овощей, перевозимую за один рейс. По условию, грузовик совершит 15 рейсов, перевозя за каждый рейс $k$ тонн овощей. Следовательно, искомое выражение: $15 \times k$ или $15k$.
Теперь найдем значения этого выражения для заданных значений $k$:
При $k = 4$: $15 \times 4 = 60$ (тонн овощей).
При $k = 25$: $15 \times 25 = 375$ (тонн овощей).
Ответ: выражение $15k$; 60 т при $k=4$; 375 т при $k=25$.
Решение 3. №3.31 (с. 83)

Решение 4. №3.31 (с. 83)


Другие задания:
Помогло решение? Оставьте отзыв в комментариях ниже.
Мы подготовили для вас ответ c подробным объяснением домашего задания по математике за 5 класс, для упражнения номер 3.31 расположенного на странице 83 для 1-й части к учебнику 2023 года издания для учащихся школ и гимназий.
Теперь на нашем сайте ГДЗ.ТОП вы всегда легко и бесплатно найдёте условие с правильным ответом на вопрос «Как решить ДЗ» и «Как сделать» задание по математике к упражнению №3.31 (с. 83), авторов: Виленкин (Наум Яковлевич), Жохов (Владимир Иванович), Чесноков (Александр Семёнович), Александрова (Лилия Александровна), Шварцбурд (Семён Исаакович), 1-й части ФГОС (новый, красный) базовый уровень обучения учебного пособия издательства Просвещение.