Номер 3.4, страница 81, часть 1 - гдз по математике 5 класс учебник Виленкин, Жохов

Авторы: Виленкин Н. Я., Жохов В. И., Чесноков А. С., Александрова Л. А., Шварцбурд С. И.
Тип: Учебник
Издательство: Просвещение
Год издания: 2023 - 2025
Уровень обучения: базовый
Часть: 1
Цвет обложки: белый, красный, синий с пазлами
Допущено Министерством просвещения Российской Федерации
Популярные ГДЗ в 5 классе
12. Действие умножения. Свойства умножения. § 3. Умножение и деление натуральных чисел. Глава 1. Натуральные числа. ч. 1 - номер 3.4, страница 81.
№3.4 (с. 81)
Условие. №3.4 (с. 81)
скриншот условия

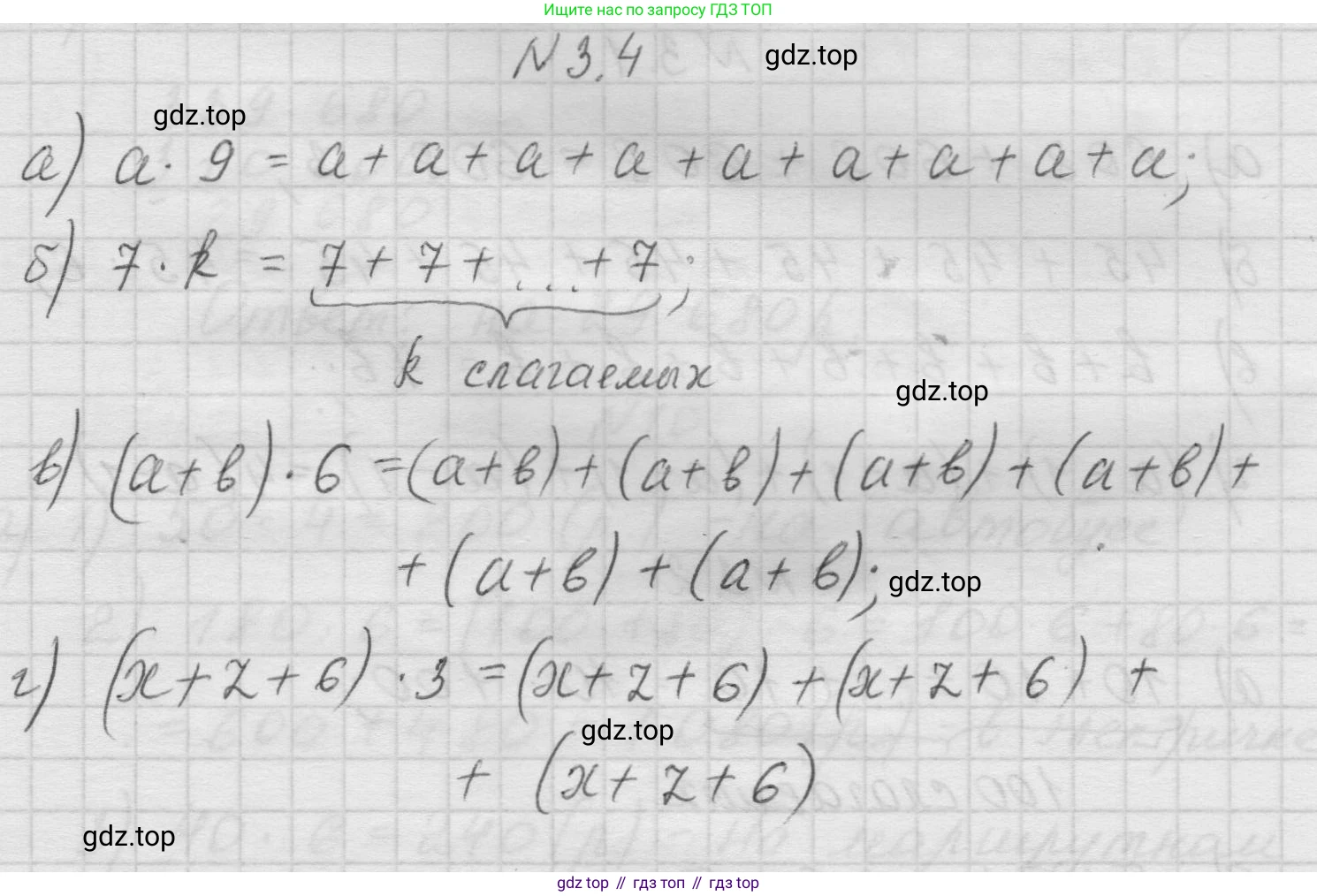
3.4 Замените произведение суммой:
а) a • 9;
б) 7 • k
в) (a + b) • 6;
г) (x + z + 6) • 3.
Решение 1. №3.4 (с. 81)
а) а · 9 = а + а + а + а + а + а + а + а + а;
в) (а + в) · 6 = (а + в) + (а + в) + (а + в) + (а + в) + (а + в) + (а + в);
г) (х + z + 6) · 3 = (х + z + 6) + (х + z + 6) + (х + z + 6).
Решение 2. №3.4 (с. 81)
а) По определению умножения, произведение $a \cdot 9$ представляет собой сумму, где слагаемое $a$ повторяется 9 раз.
Ответ: $a + a + a + a + a + a + a + a + a$
б) Произведение $7 \cdot k$ представляет собой сумму, где слагаемое 7 повторяется $k$ раз. Поскольку $k$ является переменной, точное количество слагаемых неизвестно, и для записи такой суммы используется многоточие, чтобы показать, что сложение продолжается $k$ раз.
Ответ: $\underbrace{7 + 7 + \dots + 7}_{k \text{ слагаемых}}$
в) Произведение $(a + b) \cdot 6$ представляет собой сумму, где слагаемое, равное выражению $(a + b)$, повторяется 6 раз.
Ответ: $(a + b) + (a + b) + (a + b) + (a + b) + (a + b) + (a + b)$
г) Произведение $(x + z + 6) \cdot 3$ представляет собой сумму, где слагаемое, равное выражению $(x + z + 6)$, повторяется 3 раза.
Ответ: $(x + z + 6) + (x + z + 6) + (x + z + 6)$
Решение 3. №3.4 (с. 81)

Решение 4. №3.4 (с. 81)

Другие задания:
Помогло решение? Оставьте отзыв в комментариях ниже.
Мы подготовили для вас ответ c подробным объяснением домашего задания по математике за 5 класс, для упражнения номер 3.4 расположенного на странице 81 для 1-й части к учебнику 2023 года издания для учащихся школ и гимназий.
Теперь на нашем сайте ГДЗ.ТОП вы всегда легко и бесплатно найдёте условие с правильным ответом на вопрос «Как решить ДЗ» и «Как сделать» задание по математике к упражнению №3.4 (с. 81), авторов: Виленкин (Наум Яковлевич), Жохов (Владимир Иванович), Чесноков (Александр Семёнович), Александрова (Лилия Александровна), Шварцбурд (Семён Исаакович), 1-й части ФГОС (новый, красный) базовый уровень обучения учебного пособия издательства Просвещение.