Номер 1, страница 86, часть 1 - гдз по математике 5 класс учебник Виленкин, Жохов

Авторы: Виленкин Н. Я., Жохов В. И., Чесноков А. С., Александрова Л. А., Шварцбурд С. И.
Тип: Учебник
Издательство: Просвещение
Год издания: 2023 - 2025
Уровень обучения: базовый
Часть: 1
Цвет обложки: белый, красный, синий с пазлами
Допущено Министерством просвещения Российской Федерации
Популярные ГДЗ в 5 классе
Проверочная работа Nº2. Проверьте себя. § 3. Умножение и деление натуральных чисел. Глава 1. Натуральные числа. ч. 1 - номер 1, страница 86.
№1 (с. 86)
Условие. №1 (с. 86)
скриншот условия

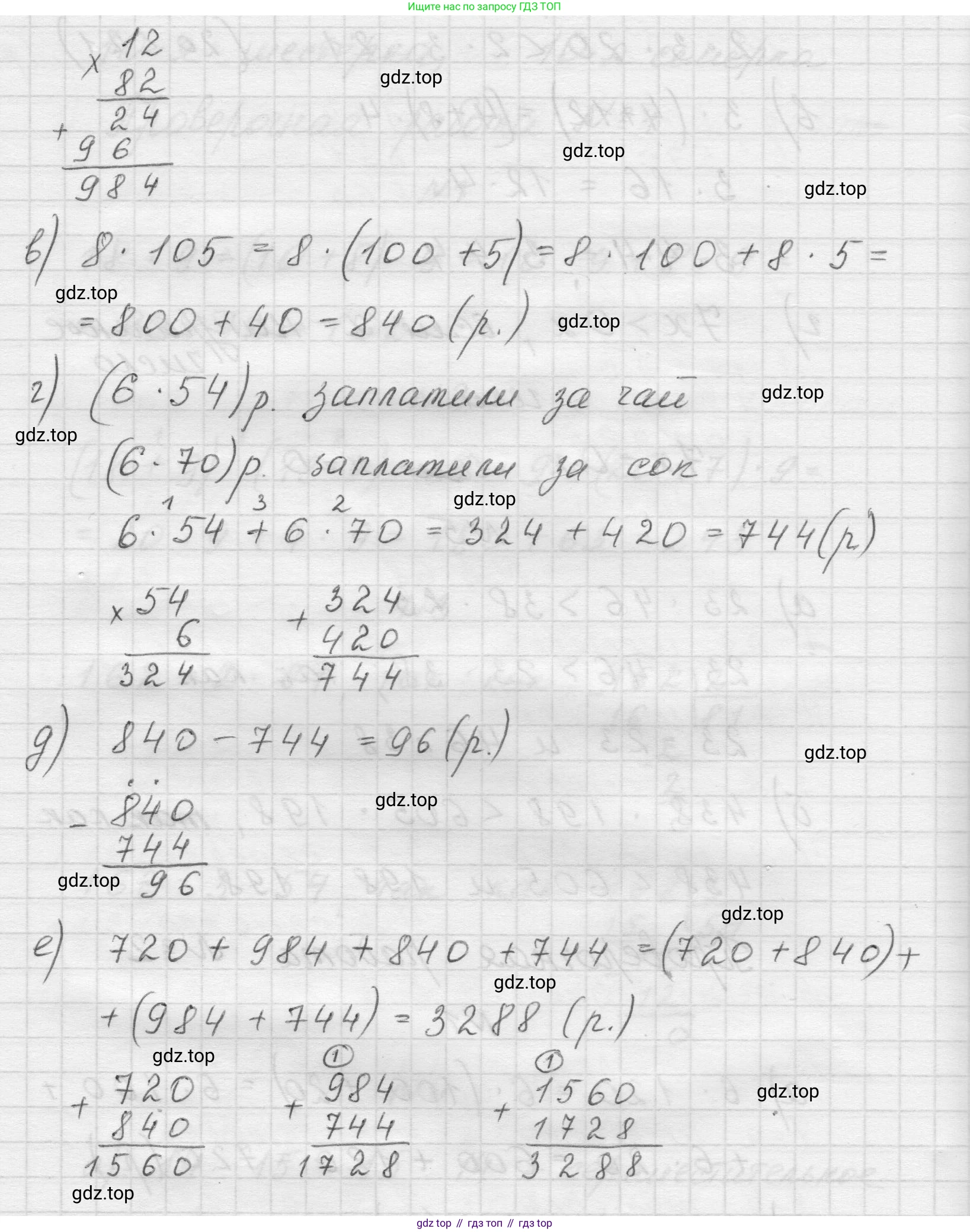
1 На детском дне рождения было заказано 6 корзиночек с клубникой по 120 р., 12 безе по 82 р., 8 шоколадных пирожных по 105 р., 6 чашек чая по 54 р. и 6 стаканов сока по 70 р.
а) Сколько заплатили за корзиночки с клубникой?
б) Сколько заплатили за безе?
в) Сколько заплатили за пирожные?
г) Сколько заплатили за напитки?
д) На сколько больше заплатили за пирожные, чем за напитки?
е) Сколько стоил весь заказ?
Решение 1. №1 (с. 86)

заплатили за чай
заплатили за сок






Решение 3. №1 (с. 86)


Решение 4. №1 (с. 86)

Другие задания:
Помогло решение? Оставьте отзыв в комментариях ниже.
Мы подготовили для вас ответ c подробным объяснением домашего задания по математике за 5 класс, для упражнения номер 1 расположенного на странице 86 для 1-й части к учебнику 2023 года издания для учащихся школ и гимназий.
Теперь на нашем сайте ГДЗ.ТОП вы всегда легко и бесплатно найдёте условие с правильным ответом на вопрос «Как решить ДЗ» и «Как сделать» задание по математике к упражнению №1 (с. 86), авторов: Виленкин (Наум Яковлевич), Жохов (Владимир Иванович), Чесноков (Александр Семёнович), Александрова (Лилия Александровна), Шварцбурд (Семён Исаакович), 1-й части ФГОС (новый, красный) базовый уровень обучения учебного пособия издательства Просвещение.