Номер 2, страница 112, часть 1 - гдз по математике 5 класс учебник Виленкин, Жохов

Авторы: Виленкин Н. Я., Жохов В. И., Чесноков А. С., Александрова Л. А., Шварцбурд С. И.
Тип: Учебник
Издательство: Просвещение
Год издания: 2023 - 2025
Уровень обучения: базовый
Часть: 1
Цвет обложки: белый, красный, синий с пазлами
Допущено Министерством просвещения Российской Федерации
Популярные ГДЗ в 5 классе
Проверьте себя. Проверочная работа. § 3. Умножение и деление натуральных чисел. Глава 1. Натуральные числа. ч. 1 - номер 2, страница 112.
№2 (с. 112)
Условие. №2 (с. 112)
скриншот условия

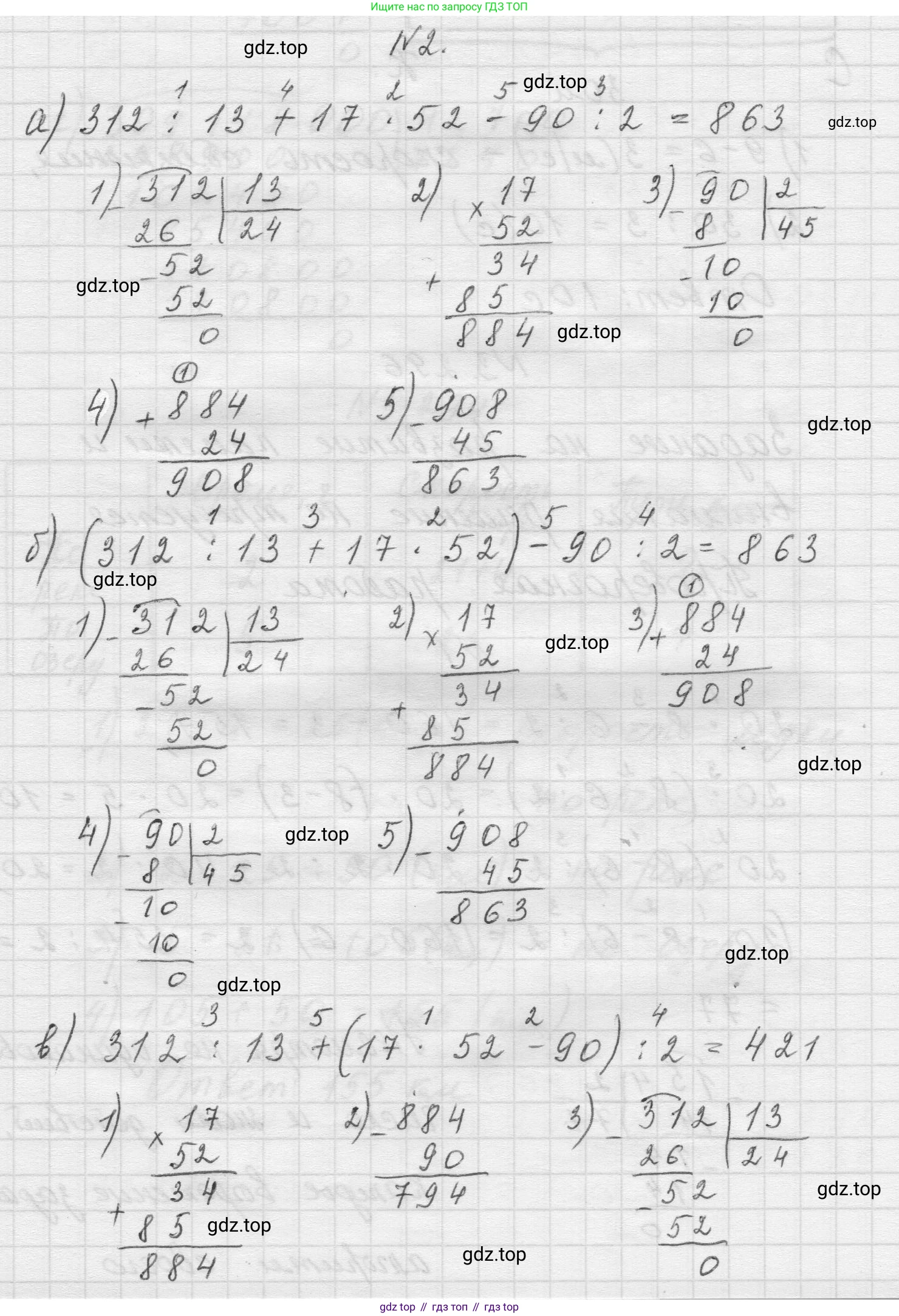
2 Найдите значение выражения:
а) 312 : 13 + 17 • 52 - 90 : 2;
б) (312 : 13 + 17 • 52) - 90 : 2;
в) 312 : 13 + (17 • 52 - 90) : 2;
г) 312 : 13 + 17 • (52 - 90 : 2).
Решение 1. №2 (с. 112)
a)
1) ![]()
| 2) ![]() |
3) ![]() | 4) ![]() |
5) ![]() |
б)
1) ![]() | 2) ![]() |
3) ![]() | 4) ![]() |
5) ![]() |
в)
1) ![]() | 2) ![]() |
3) ![]() | 4) ![]() |
5) ![]() |
г)
1) ![]() | 2) ![]() |
3) ![]() | 4) ![]() |
5) ![]() |
Решение 3. №2 (с. 112)


Решение 4. №2 (с. 112)

Другие задания:
Помогло решение? Оставьте отзыв в комментариях ниже.
Мы подготовили для вас ответ c подробным объяснением домашего задания по математике за 5 класс, для упражнения номер 2 расположенного на странице 112 для 1-й части к учебнику 2023 года издания для учащихся школ и гимназий.
Теперь на нашем сайте ГДЗ.ТОП вы всегда легко и бесплатно найдёте условие с правильным ответом на вопрос «Как решить ДЗ» и «Как сделать» задание по математике к упражнению №2 (с. 112), авторов: Виленкин (Наум Яковлевич), Жохов (Владимир Иванович), Чесноков (Александр Семёнович), Александрова (Лилия Александровна), Шварцбурд (Семён Исаакович), 1-й части ФГОС (новый, красный) базовый уровень обучения учебного пособия издательства Просвещение.