Номер 5.248, страница 44, часть 2 - гдз по математике 5 класс учебник Виленкин, Жохов


Авторы: Виленкин Н. Я., Жохов В. И., Чесноков А. С., Александрова Л. А., Шварцбурд С. И.
Тип: Учебник
Издательство: Просвещение
Год издания: 2023 - 2025
Уровень обучения: базовый
Часть: 2
Цвет обложки: белый, красный, синий с пазлами
Допущено Министерством просвещения Российской Федерации
Популярные ГДЗ в 5 классе
31. Смешанные числа. § 5. Обыкновенные дроби. Глава 2. Дробные числа. ч. 2 - номер 5.248, страница 44.
№5.248 (с. 44)
Условие. №5.248 (с. 44)
скриншот условия

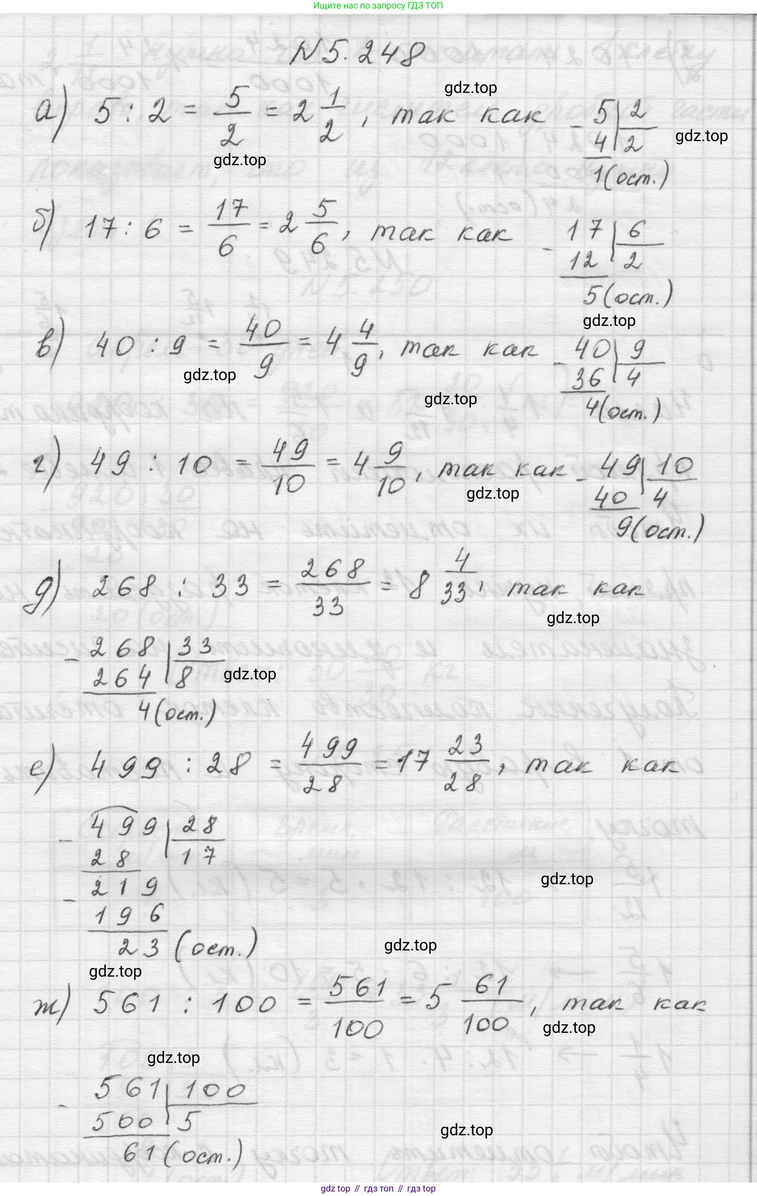
5.248 Запишите частное в виде неправильной дроби и выделите из неё целую часть:
а) 5 : 2;
б) 17 : 6;
в) 40 : 9;
г) 49 : 10;
д) 268 : 33;
е) 499 : 28;
ж) 561 : 100;
з) 1024 : 1000.
Решение 1. №5.248 (с. 44)
Решение 2. №5.248 (с. 44)
Для каждого частного вида $a:b$ сначала запишем его в виде неправильной дроби $\frac{a}{b}$. Затем, чтобы выделить целую часть, мы разделим числитель $a$ на знаменатель $b$ с остатком. Результат деления без остатка (неполное частное) станет целой частью, остаток от деления станет новым числителем, а знаменатель останется прежним.
а) 5 : 2
Запишем частное 5 : 2 в виде неправильной дроби: $ \frac{5}{2} $.
Чтобы выделить целую часть, разделим числитель 5 на знаменатель 2 с остатком: $ 5 \div 2 = 2 $ (остаток 1).
Целая часть равна 2, остаток 1 является числителем дробной части, а знаменатель 2 остается без изменений.
Таким образом, $ \frac{5}{2} = 2\frac{1}{2} $.
Ответ: $ \frac{5}{2} = 2\frac{1}{2} $.
б) 17 : 6
Запишем частное 17 : 6 в виде неправильной дроби: $ \frac{17}{6} $.
Выделим целую часть, разделив 17 на 6 с остатком: $ 17 \div 6 = 2 $ (остаток 5).
Получаем целую часть 2 и дробную часть $ \frac{5}{6} $.
Таким образом, $ \frac{17}{6} = 2\frac{5}{6} $.
Ответ: $ \frac{17}{6} = 2\frac{5}{6} $.
в) 40 : 9
Запишем частное 40 : 9 в виде неправильной дроби: $ \frac{40}{9} $.
Выделим целую часть, разделив 40 на 9 с остатком: $ 40 \div 9 = 4 $ (остаток 4).
Получаем целую часть 4 и дробную часть $ \frac{4}{9} $.
Таким образом, $ \frac{40}{9} = 4\frac{4}{9} $.
Ответ: $ \frac{40}{9} = 4\frac{4}{9} $.
г) 49 : 10
Запишем частное 49 : 10 в виде неправильной дроби: $ \frac{49}{10} $.
Выделим целую часть, разделив 49 на 10 с остатком: $ 49 \div 10 = 4 $ (остаток 9).
Получаем целую часть 4 и дробную часть $ \frac{9}{10} $.
Таким образом, $ \frac{49}{10} = 4\frac{9}{10} $.
Ответ: $ \frac{49}{10} = 4\frac{9}{10} $.
д) 268 : 33
Запишем частное 268 : 33 в виде неправильной дроби: $ \frac{268}{33} $.
Выделим целую часть, разделив 268 на 33 с остатком. $ 33 \times 8 = 264 $. Остаток: $ 268 - 264 = 4 $.
Неполное частное (целая часть) равно 8, а остаток равен 4.
Таким образом, $ \frac{268}{33} = 8\frac{4}{33} $.
Ответ: $ \frac{268}{33} = 8\frac{4}{33} $.
е) 499 : 28
Запишем частное 499 : 28 в виде неправильной дроби: $ \frac{499}{28} $.
Выделим целую часть, выполнив деление с остатком 499 на 28. $ 499 \div 28 = 17 $ (остаток 23). (Проверка: $ 17 \times 28 + 23 = 476 + 23 = 499 $).
Целая часть равна 17, остаток 23 становится числителем, а знаменатель 28 остается прежним.
Таким образом, $ \frac{499}{28} = 17\frac{23}{28} $.
Ответ: $ \frac{499}{28} = 17\frac{23}{28} $.
ж) 561 : 100
Запишем частное 561 : 100 в виде неправильной дроби: $ \frac{561}{100} $.
Выделим целую часть, разделив 561 на 100 с остатком: $ 561 \div 100 = 5 $ (остаток 61).
Получаем целую часть 5 и дробную часть $ \frac{61}{100} $.
Таким образом, $ \frac{561}{100} = 5\frac{61}{100} $.
Ответ: $ \frac{561}{100} = 5\frac{61}{100} $.
з) 1024 : 1000
Запишем частное 1024 : 1000 в виде неправильной дроби: $ \frac{1024}{1000} $.
Выделим целую часть, разделив 1024 на 1000 с остатком: $ 1024 \div 1000 = 1 $ (остаток 24).
Получаем целую часть 1 и дробную часть $ \frac{24}{1000} $.
Таким образом, $ \frac{1024}{1000} = 1\frac{24}{1000} $.
Ответ: $ \frac{1024}{1000} = 1\frac{24}{1000} $.
Решение 3. №5.248 (с. 44)

Решение 4. №5.248 (с. 44)

Другие задания:
Помогло решение? Оставьте отзыв в комментариях ниже.
Мы подготовили для вас ответ c подробным объяснением домашего задания по математике за 5 класс, для упражнения номер 5.248 расположенного на странице 44 для 2-й части к учебнику 2023 года издания для учащихся школ и гимназий.
Теперь на нашем сайте ГДЗ.ТОП вы всегда легко и бесплатно найдёте условие с правильным ответом на вопрос «Как решить ДЗ» и «Как сделать» задание по математике к упражнению №5.248 (с. 44), авторов: Виленкин (Наум Яковлевич), Жохов (Владимир Иванович), Чесноков (Александр Семёнович), Александрова (Лилия Александровна), Шварцбурд (Семён Исаакович), 2-й части ФГОС (новый, красный) базовый уровень обучения учебного пособия издательства Просвещение.